相关产品推荐更多 >
万千商家帮你免费找货
0 人在求购买到急需产品
- 详细信息
- 技术资料
- 保存条件:
-20°C
- 英文名:
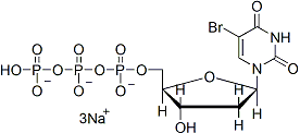
5-BROMO-2#-DEOXYURIDINE-5#-TRIPHOSPHATE, 40025
- 库存:
99
- 供应商:
Biotium
- CAS号:
102212-99-7
5-Bromo-dUTP广泛用于TUNEL分析检测凋亡细胞,是反转录酶的底物。
5-Bromo-dUTP (5-Bromo-2′-deoxyuridine-5′-triphosphate) is widely used in TUNEL assay to detect apoptotic cells (1,2), and it is also a good substrate for reverse transcriptase (3,4).
- 10 mM solution in TE buffer
- Store at -20°C
- C9H11BrN2Na3O14P3
- MW: 612.99
- [102212-99-7]
风险提示:丁香通仅作为第三方平台,为商家信息发布提供平台空间。用户咨询产品时请注意保护个人信息及财产安全,合理判断,谨慎选购商品,商家和用户对交易行为负责。对于医疗器械类产品,请先查证核实企业经营资质和医疗器械产品注册证情况。
5-BROMO-2#-DEOXYURIDINE-5#-TRIPHOSPHATE, 40025
询价











