相关产品推荐更多 >

CD14 Monoclonal Antibody/FITC Conjugated 荧光素偶联 CD14鼠单克隆抗体 荧光素标记抗体
¥99
FITC-HA-SH 绿色荧光素-透明质酸-巯基 FITC-HA-Thiol/HS
¥99
KPRRPYTDNYTRLRKQMAVKKYLNSILN CAS号:125093-93-8 血管活性肠多肽 (VIP) 受体拮抗剂 VIP Antagonist
¥99
RP527肽 VPLPAGGTVLTKMYPRGNHWAVGHLM 具有较高的 靶向 GRP 受体(GRPR) 的能力
¥99
DSPE-PEG-Angiopep-2-FITC/Fluorescein 磷脂-聚乙二醇-胶质瘤靶向肽-荧光素 FITC/Fluorescein-Angiopep-2-PEG-DSPE
¥99
万千商家帮你免费找货
0 人在求购买到急需产品
- 详细信息
- 文献和实验
- 技术资料
- 库存:
1000
- 英文名:
iRGD-PEG-N3
- 保质期:
一年
- 供应商:
深圳市魅罗科技有限公司
- 保存条件:
-20°冷冻保存
- 规格:
50mg
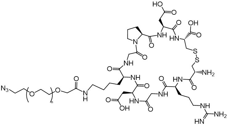
iRGD-PEG-N3 N3-PEG-iRGD 整合素靶向肽-聚乙二醇-叠氮
关键产品信息
中文名称:整合素靶向肽-聚乙二醇-叠氮
简称 : iRGD-PEG-N3
品牌: 魅罗科技(MeloPEG)
结构:

纯度:95%以上
注意事项
保持干燥
存储条件
-20℃以下冰冻、干燥
应用
iRGD-PEG-N₃ 是由肿瘤靶向与穿透肽(iRGD)、亲水柔性聚乙二醇(PEG)和可用于点击化学修饰的叠氮基团(N₃)组成的多功能生物材料。
iRGD-PEG-N₃(整合素靶向肽-聚乙二醇-叠氮)的组成结构
1. iRGD(整合素靶向肽)
整合素靶向:识别肿瘤新生血管或肿瘤细胞上高表达的 αvβ3 / αvβ5 整合素,提供精准靶向性。
穿透增强:被蛋白酶剪切后暴露 CendR 基序,可与 NRP-1(神经纤毛蛋白受体)结合,促进药物或纳米材料渗透入肿瘤组织深层。
2. PEG(聚乙二醇)链段
柔性亲水连接臂:连接 iRGD 与 N₃,提升整体分子柔性。
改善药代特性:提高水溶性、生物相容性,延长血液循环时间,减少免疫清除。
降低毒性与非特异性吸附:减少与血浆蛋白和健康组织的非特异性结合。
3. N₃(叠氮基团)
化学功能基团:叠氮(–N₃)是一种典型的生物正交反应基团,常用于“点击化学”反应(如CuAAC或SPAAC)。
可用于偶联修饰:可与炔基化药物、探针、纳米粒等反应,实现定向功能化修饰,便于构建多功能药物递送或成像系统。
相关目录:
N3-PEG-CRGD 叠氮-聚乙二醇-cRGD肽
N3-PEG-iRGD 叠氮-聚乙二醇-iRGD肽
N3-PEG-RGD 叠氮-聚乙二醇-RGD肽
N3-PEG-Angiopep-2 叠氮-聚乙二醇-肿瘤微环境穿模肽
N3-PEG-PTP 叠氮-聚乙二醇-胰腺癌靶向肽
N3-PEG-Silane 叠氮-聚乙二醇-硅烷
N3-PEG-Dopamine 叠氮-聚乙二醇-多巴胺

风险提示:丁香通仅作为第三方平台,为商家信息发布提供平台空间。用户咨询产品时请注意保护个人信息及财产安全,合理判断,谨慎选购商品,商家和用户对交易行为负责。对于医疗器械类产品,请先查证核实企业经营资质和医疗器械产品注册证情况。
文献和实验)-烯丙基胺(MSC-烯丙胺)、N-丙烯酰基-1,6-二氨基己烷HCl,或N-甲基丙烯酰基-1,3-二氨丙烷HCl 。树脂载荷0.15~1.4mmol/g。该树脂很适用于Fmoc化学合成。纯品肽可占粗品的80~95%,包括那些用传统PS树脂合成失败的氨基酸顺序。HaynieSL等准备了乙烯二氨修饰的聚酰胺树脂(Pepsn K),在上面合成出两亲性的多肽,并报道了这种多肽具有灭菌活性。 3.聚乙烯-乙二醇类树脂 3.1 聚乙烯-乙二醇-接技聚苯乙烯(PEG-PS) 它由不溶的PS母体构成,聚
Crystallization of Kinesin Family Motor Proteins
4, pH 6.8, 6.8% PEG 8000, 1 M NaCl, 2 mM ATP, 3.5 mM DTT, 10 mM MgCl2Reservoir: 25 mM Na2PO4 pH 6.8, 13.5% PEG 8000, 2 M NaCl, 7 mM DTTKozielski et al., 1999Eg5 1-368HsKSPSitting Drop 4°C5 mg/ml protein in 9% PEG-3350, 50 mM PIPES pH 6.8, 100 mM NaNO
Purification of DNA from lambda phage
ml μltracentrifuged media. Alternative protocol for lambda DNA preparation: After step II A (RNase and DNase digestion)add 2.9 g NaCl and 5 g PEG-8000 to each 50 ml tube (be careful to exclude clumps of PEG-8000,which are hard to dissolve.)Shake
技术资料暂无技术资料 索取技术资料





