相关产品推荐更多 >
万千商家帮你免费找货
0 人在求购买到急需产品
- 详细信息
- 文献和实验
- 技术资料
- 保存条件:
Powder:-20℃,1 year;Insolvent(母液):-20℃,6 months;-80℃,1 year
- 保质期:
Powder:-20℃,1 year;Insolvent(母液):-20℃,6 months;-80℃,1 year
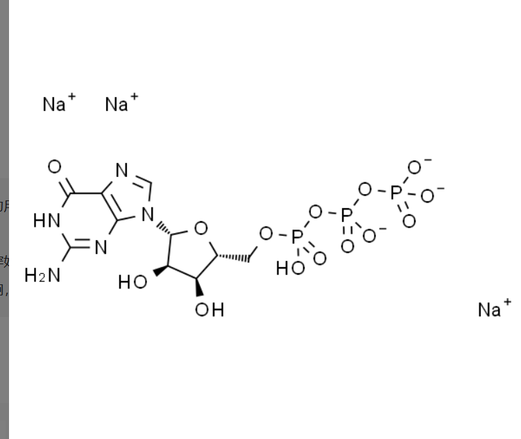
- 英文名:
5'-GTP (trisodium salt)
- 库存:
现询
- 供应商:
北京索莱宝科技有限公司
- CAS号:
36051-31-7
- 规格:
5mg/10mM*1mL in Water/10mg/50mg/100mg
| 规格: | 5mg | 产品价格: | ¥273.0 |
|---|---|---|---|
| 规格: | 10mM*1mL in Water | 产品价格: | ¥360.0 |
| 规格: | 10mg | 产品价格: | ¥420.0 |
| 规格: | 50mg | 产品价格: | ¥510.0 |
| 规格: | 100mg | 产品价格: | ¥750.0 |
CAS:36051-31-7
分子式:C10H13N5O14P3Na3
分子量:589.13
纯度:HPLC≥95%



风险提示:丁香通仅作为第三方平台,为商家信息发布提供平台空间。用户咨询产品时请注意保护个人信息及财产安全,合理判断,谨慎选购商品,商家和用户对交易行为负责。对于医疗器械类产品,请先查证核实企业经营资质和医疗器械产品注册证情况。
文献和实验Artificially designed routes for the conversion of starch to value-added mannosyl compounds through coupling in vitro and in vivo metabolic engineering strategies
|
AuthorTian C; Yang J; Li Y; Zhang T; Li J; Ren C; Men Y;
|
Publish_toMetab Eng
|
|
IF8.4000
|
PMID32623008
|
含量成反比。 本试剂盒用于检测在GPCR激动剂刺激下活细胞或者细胞膜制备品产生的cAMP。对于偶联Gαs的受体,激动剂刺激导致665nm的荧光强度降低,而拮抗剂则可以逆转这一效应;对于偶联Gαi的受体,在激动剂刺激的同时用forskolin刺激cAMP产生,那么激动剂则抑制forskolin诱导的cAMP的生成,因此对照只给forskolin的细胞组可以通过665nm荧光强度的增加反应激动剂的效应。 该试剂盒的灵敏度很高,室温下反应在20h内是稳定的。本试剂
|998894|gb|S78179.1|S78179 Oryctolagus cuniculus type XII... 32 0.037 gi|31072033|gb|AC122153.4| Oryctolagus cuniculus clone LB1-... 28 0.58 gi|1496|emb|X52496.1|OCCAATP Rabbit mRNA for calcium ATPase 28 0.58 gi|1468|emb|X02814.1|OCATPDR Rabbit mRNA
%和53%。 1.2 迭氮法 在多肽合成中迭氮法是另一种比较经典的方法,这种方法的优点在于很少引起消旋反应,最早用于直链肽的合成,现在常常被用于环肽的合成。具体方法是,把直链肽的甲酯、乙酯、苄酯,取代苄酯或其它更活泼的酯通过肼解的方式生成酰肼,溶于醋酸或盐酸-醋酸混合溶液,在-5℃左右的温度下加入1M的亚硝酸钠溶液,产生的亚硝酸则与酰肼反应生成迭氮物。N端游离的直链肽迭氮物于4℃ 搅拌一天再升温至室温,可得环肽。通式如Scheme 4。 Scheme 4. Peptide












