相关产品推荐更多 >
万千商家帮你免费找货
0 人在求购买到急需产品
- 详细信息
- 文献和实验
- 技术资料
- 保存条件:
Powder:2-8℃,2 years;Insolvent(母液):-20℃,6 months;-80℃,1 year
- 保质期:
Powder:2-8℃,2 years;Insolvent(母液):-20℃,6 months;-80℃,1 year
- 英文名:
Chikusetsusaponin Iva
- 库存:
现询
- 供应商:
北京索莱宝科技有限公司
- CAS号:
51415-02-2
- 规格:
5mg/10mg
| 规格: | 5mg | 产品价格: | ¥1200.0 |
|---|---|---|---|
| 规格: | 10mg | 产品价格: | ¥1800.0 |
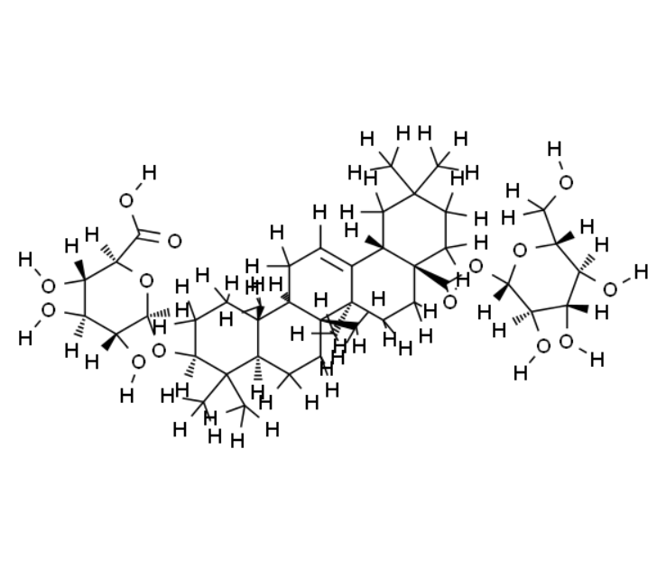
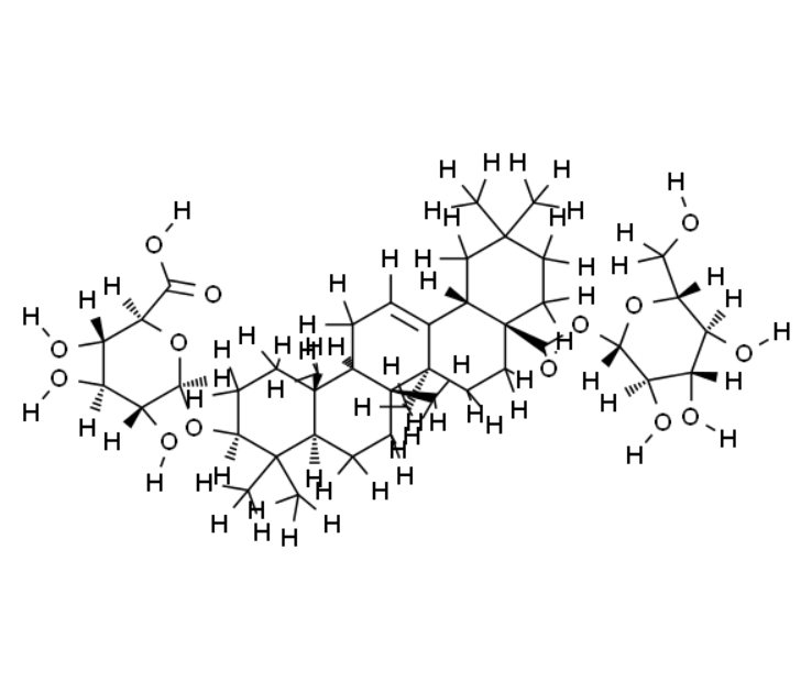
产品介绍
是蛋白激酶的激活剂。
CAS:51415-02-2
分子式:C42H66O14
分子量:794.97
纯度:HPLC≥98%







风险提示:丁香通仅作为第三方平台,为商家信息发布提供平台空间。用户咨询产品时请注意保护个人信息及财产安全,合理判断,谨慎选购商品,商家和用户对交易行为负责。对于医疗器械类产品,请先查证核实企业经营资质和医疗器械产品注册证情况。
文献和实验CDllb 常用单克隆抗体或代号:Mol,OKM1;(Macl,CR3,整合素αM) 主要表达细胞:G,M,T, B, DC, NK,Mac[AS] 分子质量(kDa)和结构:gp170(整合素α) 功 能:iC3b和Fs受体,与ICAM-l和X因子结合,黏附,调理吞噬;结合JAM-3 CDllc 常用单克隆抗体或代号:LeuM乳(CR4.整合素αX) 主要表达细胞:M,G,B
2F+DwTquooTcizAj6Sh40arj1e+iWJ2ispgsbT801bWi9OaaVDQ0u7N9Rf22Q7je3ypEkT/aXtAx/4gHh20RbetchuWXizve3YY/3L0LGHHqt8Cva+97zf/vEfvyYb4imWXpTxLz8m4rvgjodswc3X26Xnn2o3LbjZPv/Fv5GGuGa33/ZzO2n2HD17NAEWeUXwmQh44uy32U+uutL+69e+6jjedfsddvSxx3m8xNNFQ67wipqQKHyESZ35
5+YiLLj4HREBXstjztk7uH3PDncf2sPhxRlMq6wGF+vZ2OlE8VGoBH85gWn/XYBn2ck48eAqDu+xwjbrU7h2Zz2aZ3fD6YWWeBFuzJv2yfAMMyYBFj4y5r7yqpgAE0jPBFRyolzbpihAeo1X9z5K2o2YlqOUxRTN25rQLQ+8+x4oVfFzvgFHklZM2raEadaIsxjVfI0wedUizB5fB7r8yR8TTr6mQAL8FlQgbB6KCTABJiAfgWD8ev0cIrh












