相关产品推荐更多 >
万千商家帮你免费找货
0 人在求购买到急需产品
- 详细信息
- 文献和实验
- 技术资料
- 库存:
1000
- 英文名:
DSPE-PEG-N-acetyl-L-cysteine
- CAS号:
N/A
- 保质期:
一年
- 供应商:
深圳市魅罗科技有限公司
- 保存条件:
-20°干燥避光
- 规格:
50mg
N-acetyl-L-cysteine-PEG-DSPE DSPE-PEG-N-acetyl-L-cysteine NAC-PEG-DSPE N-乙酰-L-半胱氨酸-聚乙二醇-磷脂
关键产品信息
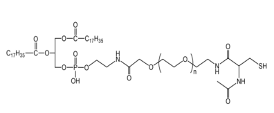
中文名称:磷脂-聚乙二醇-N-乙酰-L-半胱氨酸
简称 : DSPE-PEG-N-acetyl-L-cysteine
品牌: 魅罗科技(MeloPEG)
结构:
纯度:95%以上
注意事项
保持干燥
存储条件
-20℃以下冰冻、干燥
应用
DSPE-PEG-N-acetyl-L-cysteine是一种功能化脂质聚合物复合物,由DSPE-PEG(磷脂-聚乙二醇)和N-acetyl-L-cysteine(NAC,N-乙酰-半胱氨酸)两个主要部分组成,广泛用于药物递送、抗氧化治疗和抗肿瘤纳米载体。
N-acetyl-L-cysteine(NAC,N-乙酰-半胱氨酸)的生物学特性
1. 抗氧化特性:
NAC具有强抗氧化作用,主要来源于其巯基(-SH),能够直接与活性氧(ROS)反应,清除自由基,减少氧化应激。此外,NAC是谷胱甘肽(GSH)的前体,通过提供半胱氨酸促进GSH合成,进一步增强细胞的抗氧化能力。这种特性在氧化应激相关疾病(如帕金森病、阿尔茨海默病)中尤为重要,能够保护神经元和心肌细胞,减少化疗药物(如阿霉素)引起的心脏毒性。
2. 抗炎特性:
NAC能够抑制肿瘤坏死因子(TNF)和多种促炎因子(如IL-1、IL-6)的生成,具有显著的抗炎作用。其机制主要通过下调NF-κB信号通路,减少ROS介导的炎性因子表达。这种特性在慢性炎症性疾病(如慢性支气管炎、COPD)中具有重要意义,能够减轻炎症症状,同时保护正常组织,防止化疗引起的心肌炎和化疗后肝损伤。
3. 去聚合和还原特性:
NAC能够裂解二硫键(-S-S-),特别是蛋白质和角蛋白中的二硫键,发挥去聚合作用。这种特性来源于其巯基,能够通过还原反应使聚集的蛋白质解聚。在蛋白质聚集病变(如阿尔茨海默病和帕金森病)中,NAC通过还原作用减少蛋白质团块,降低细胞毒性,在角蛋白降解和祛痰中也表现出较好的效果。
相关目录:
DSPE-PEG-carnosine(βAla-His) 磷脂-聚乙二醇-肌肽
DSPE-PEG-VHPKQHRC 磷脂-聚乙二醇-细胞黏附蛋白
DSPE-PEG-Tet-213(KRWWKWWRR) 磷脂-聚乙二醇-抗菌肽
DSPE-PEG-N-acetyl-L-cysteine 磷脂-聚乙二醇-N-乙酰-L-半胱氨酸
DSPE-PEG-Gln 磷脂-聚乙二醇-谷氨酰胺
DSPE-PEG-L-Ser 磷脂-聚乙二醇-L-丝氨酸
风险提示:丁香通仅作为第三方平台,为商家信息发布提供平台空间。用户咨询产品时请注意保护个人信息及财产安全,合理判断,谨慎选购商品,商家和用户对交易行为负责。对于医疗器械类产品,请先查证核实企业经营资质和医疗器械产品注册证情况。
文献和实验Angiogenic Vessel-Targeting DDS by Liposomalized Oligopeptides
of PEGylated liposomes, we synthesized a novel lipid derivative of the peptide, distearoylphosphatidylethanolamine–polyethyleneglycol–APRPG (DSPE–PEG–APRPG). The lipid derivative of APRPG peptide is expected to be readily incorporated into liposomal membrane
技术资料暂无技术资料 索取技术资料










