相关产品推荐更多 >

TPP-PEG-MAL/Maleimide 磷酸三苯酯-聚乙二醇-马来酰亚胺 Maleimide/MAL-PEG-TPP
¥99
DSPE-PEG-CNEWQKLSC NEW-PEG-DSPE 磷脂-聚乙二醇-肿瘤靶向肽 DSPE-PEG-NEW
¥99
细胞穿透肽 PepH3 序列号AGILKRW 增强脑靶向递送效率和细胞摄取率
¥99
CD14 Monoclonal Antibody, FITC/PE/PE-Cy5/APC Conjugated 荧光染料标记流式抗体
¥99
PCL-Se-Se-PEG-NH2 Amine-PEG-Se-Se-PCL 聚己内酯-二硒键-聚乙二醇-氨基 ROS活性氧响应
¥99
万千商家帮你免费找货
0 人在求购买到急需产品
- 详细信息
- 技术资料
- 英文名:
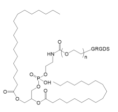
DSPE-PEG-GRGDS
- CAS号:
N/A
- 保质期:
一年
- 供应商:
深圳市魅罗科技有限公司
- 保存条件:
-20°干燥避光
- 规格:
50mg
DSPE-PEG-Gly-Arg-Gly-Asp-Ser DSPE-PEG-GRGDS GRGDS-PEG-DSPE 磷脂-聚乙二醇-抗黏附多肽
关键产品信息
中文名称:磷脂-聚乙二醇-抗黏附多肽
简称 : DSPE-PEG-GRGDS
品牌: 魅罗科技(MeloPEG)
结构:

纯度:95%以上
注意事项
保持干燥
存储条件
-20℃以下冰冻、干燥
应用
DSPE-PEG-GRGDS是一种以磷脂(DSPE)为基础,通过聚乙二醇(PEG)连接抗黏附多肽(GRGDS),能靶向整合素αvβ3/αvβ5并抑制细胞黏附及肿瘤细胞迁移的药物递送功能材料。
DSPE-PEG-GRGDS在药物递送中的关键作用
一、抑制细胞黏附,减少肿瘤细胞迁移与侵袭
GRGDS多肽是一种来源于纤维蛋白原的抗黏附多肽序列,具有竞争性地与整合素受体(特别是αvβ3或αvβ5)结合的作用。
它可阻碍肿瘤细胞与基底膜、细胞外基质(如纤维蛋白原)的黏附作用,从而有效降低肿瘤细胞的迁移、侵袭及转移能力。
二、主动靶向递送功能
DSPE-PEG-GRGDS中的GRGDS多肽通过PEG链连接在磷脂(DSPE)上,这种结构设计使GRGDS多肽保持良好的生物活性,暴露于纳米载体的外部,可主动识别和结合整合素αvβ3或αvβ5。
整合素αvβ3或αvβ5在肿瘤、炎症及新生血管中显著高表达,这使得DSPE-PEG-GRGDS修饰的载药纳米颗粒实现精准的药物靶向递送,减少非靶组织的药物暴露和毒性。
三、延长药物载体循环时间
PEG链段在纳米药物递送系统中起到隐身作用,显著降低药物载体在血液中与蛋白的非特异性结合,减少被单核-巨噬细胞系统(RES)的识别与清除。
延长药物载体在体内的循环半衰期,提高药物在靶向组织中的累积效率,增强药物治疗效果。
四、改善药物递送效率,减少毒副作用
DSPE-PEG-GRGDS的主动靶向功能可增加载药纳米颗粒在病变组织或肿瘤组织中的特异性积累,减少对正常组织细胞的损害。
实现药物精准释放,降低药物剂量,进一步减少药物全身毒副作用,提升治疗安全性和有效性。
五、诊疗一体化应用潜力(Theranostics)
DSPE-PEG-GRGDS结构易于与不同功能组分(如成像探针、光热治疗剂、化疗药物)结合,可构建多功能诊疗一体化载体,实现精准的影像诊断及靶向治疗协同作用。
相关目录:
DSPE-PEG-cRGD(c[RGDfK]) 磷脂-聚乙二醇-整合素靶向肽
DSPE-PEG-cRGD(c[RGDyK]) 磷脂-聚乙二醇-整合素靶向环肽
DSPE-PEG-iRGD 磷脂-聚乙二醇-整合素靶向环肽
DSPE-PEG-R6H4 磷脂-聚乙二醇-PH响应性穿膜肽R6H4
DSPE-PEG-MPG 磷脂-聚乙二醇-PH响应性细胞穿膜肽MPG(细胞穿膜肽)
DSPE-PEG-GE11 磷脂-聚乙二醇-肿瘤细胞表皮生长因子肽GE11/EGFR靶向肽
风险提示:丁香通仅作为第三方平台,为商家信息发布提供平台空间。用户咨询产品时请注意保护个人信息及财产安全,合理判断,谨慎选购商品,商家和用户对交易行为负责。对于医疗器械类产品,请先查证核实企业经营资质和医疗器械产品注册证情况。
技术资料暂无技术资料 索取技术资料




