相关产品推荐更多 >

GNYTCEVTELTREGETIIELK-PEG-DSPE SP-PEG-DSPE DSPE-PEG-SP 免疫逃避肽-聚乙二醇-磷脂
¥99
RB-GE11 Rhodamine B-GE11(YHWYGYTPQNVI) 罗丹明标记肿瘤细胞表皮生长因子肽
¥99
Dop/DA/Dopamine-PEG-DMG PEG-Dopamine 多巴胺-聚乙二醇-1,2-二肉豆蔻酰-rac-甘油-3-聚乙二醇-多巴胺
¥99
mUNO多肽(CSPGAK) 2283322-63-2 Cys-Ser-Pro-Gly-Ala-Lys 肿瘤归巢肽
¥99
DSPE-PEG-A8(SPWPRPTY) A8-PEG-DSPE 磷脂-聚乙二醇-靶向肽
¥99
万千商家帮你免费找货
0 人在求购买到急需产品
- 详细信息
- 技术资料
- 库存:
1000
- 英文名:
TPP-PEG-MAL/Maleimide
- CAS号:
N/A
- 保质期:
一年
- 供应商:
深圳市魅罗科技有限公司
- 保存条件:
-20°干燥避光
- 规格:
50mg
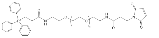
TPP-PEG-MAL/Maleimide 磷酸三苯酯-聚乙二醇-马来酰亚胺 Maleimide/MAL-PEG-TPP
关键产品信息
中文名称:磷酸三苯酯-聚乙二醇-马来酰亚胺
简称 : TPP-PEG-MAL/Maleimide
品牌: 魅罗科技(MeloPEG)
结构:
纯度:95%以上
注意事项
保持干燥
存储条件
-20℃以下冰冻、干燥
应用
TPP-PEG-MAL(磷酸三苯酯-聚乙二醇-马来酰亚胺)在药物递送中具有独特的优势,结合了TPP的线粒体靶向性和MAL的化学反应性,为药物传递提供了更高的特异性和效率。
以下是TPP-PEG-MAL在药物递送中的作用:
1. 线粒体靶向
TPP的靶向性:TPP部分具有优异的线粒体穿透能力,能够将载药系统直接引导至细胞的线粒体。这对于治疗与线粒体功能失调相关的疾病(如某些类型的癌症和神经退行性疾病)至关重要,能够提高药物的有效性和特异性。
增强疗效:通过将药物直接递送到线粒体,TPP-PEG-MAL能够有效提高药物的局部浓度,增强对靶细胞的治疗效果,减少对非靶细胞的影响。
2. 反应性与功能化
MAL的化学反应性:马来酰亚胺(MAL)具有与巯基(-SH)反应的特性,可以形成稳定的硫醚键。这一反应性使得TPP-PEG-MAL能够与含有巯基的生物分子(如蛋白质、肽或小分子药物)进行有效偶联。
构建靶向药物载体:通过与巯基化合物的反应,TPP-PEG-MAL可以将药物或其他生物活性分子结合到载体上,构建功能化的药物递送系统,从而提高药物的靶向性和释放效率。
3. 应用潜力
癌症治疗:在癌症治疗中,TPP-PEG-MAL能够将抗癌药物靶向递送到肿瘤细胞的线粒体,增强药物的杀伤效果,并减少对正常细胞的毒性。
基因递送:可以用于递送siRNA或其他核酸药物,通过与巯基修饰的载体结合,实现高效的基因干预和治疗。
相关目录:
TPP-PEG-DSPE 磷酸三苯酯-聚乙二醇-磷脂
TPP-PEG-DMG 磷酸三苯酯-聚乙二醇-1,2-二肉豆蔻酰-rac-甘油-3
TPP-PEG-PLA 磷酸三苯酯-聚乙二醇-聚乳酸
MAL-PEG-Alkyne 马来酰亚胺-聚乙二醇-炔基
MAL-PEG-NH2 马来酰亚胺-聚乙二醇-氨基
MAL-PEG-Silane 马来酰亚胺-聚乙二醇-硅烷
MAL-PEG-DBCO 马来酰亚胺-聚乙二醇-二苯辛环炔
风险提示:丁香通仅作为第三方平台,为商家信息发布提供平台空间。用户咨询产品时请注意保护个人信息及财产安全,合理判断,谨慎选购商品,商家和用户对交易行为负责。对于医疗器械类产品,请先查证核实企业经营资质和医疗器械产品注册证情况。
技术资料暂无技术资料 索取技术资料




