万千商家帮你免费找货
0 人在求购买到急需产品
- 详细信息
- 技术资料
- 提供商:
北京百泰派克生物科技有限公司
- 服务名称:
超速离心法测定蛋白质分子量:方法、策略和现状
- 规格:
询价
蛋白质分子量测定是研究其结构、功能和生物学特性的重要手段。超速离心法(Ultracentrifugation)是基于离心力和溶液动力学特性的测定方法,在研究蛋白质的分子量、聚集状态和相互作用方面发挥关键作用。与SDS-PAGE、质谱和凝胶过滤等方法相比,超速离心法可以直接在溶液中测量蛋白质的真实分子量,且不依赖于外部标准。本文将深入探讨超速离心法的原理、实验策略、数据分析方法及其在蛋白质研究中的zuìxīn应用。
一、超速离心法的基本原理
超速离心利用高速旋转产生的离心力,使蛋白质在溶液中发生沉降,进而根据沉降速率或沉降平衡来计算其分子量。常见的测定方式包括:沉降速率分析(Sedimentation Velocity, SV)和沉降平衡分析(Sedimentation Equilibrium, SE)。沉降速率分析研究蛋白质在离心过程中随时间变化的沉降行为。适用于分子量测定、均一性评估及蛋白质聚集状态分析。沉降平衡分析则研究蛋白质在达到沉降平衡时的浓度分布。适用于高精度蛋白质分子量测定、检测蛋白质-配体结合及寡聚体分析。
1、沉降速率分析(SV)
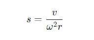
沉降速率实验通过测量蛋白质在高速离心下的沉降系数(sedimentation coefficient, s),从而计算其分子量。沉降系数的计算公式为:

其中:
- s:沉降系数(Svedberg,S)
- v:沉降速度
- ω:角速度(rad/s)
- r:颗粒到旋转轴的半径
* 通过Lamm方程(描述沉降和扩散的数学模型)对沉降曲线进行拟合,从而计算分子量。
- 结合密度梯度离心,可以区分不同分子量的蛋白质。
(2)应用
* 检测蛋白质聚集状态:可以区分单体、二聚体或更高聚体的蛋白。
- 测定蛋白复合物的组成:可用于研究蛋白-蛋白或蛋白-核酸相互作用。
2、 沉降平衡分析(SE)
沉降平衡实验是一种无破坏性、热力学原理驱动的方法,可用于测定蛋白质的真实分子量,无需外部校准标准。其核心在于达到平衡状态时,沉降力与扩散力相互抵消,蛋白质在溶液中的浓度分布符合以下公式:

其中:
- M:蛋白分子量
- vˉ:蛋白质的比偏摩尔体积
- ρ:溶液密度
- ω:角速度
- r:离心半径
- T:温度
- R:气体常数
* 通过测定平衡时的浓度梯度,利用非线性拟合方法测定蛋白质分子量。
- SE 能够区分不同寡聚体状态(如单体、二聚体、三聚体等),但不适用于高度聚集的样品。
(2)应用
* 高精度测定分子量:比SV方法更准确,适用于研究蛋白质的真实大小。
- 蛋白质复合物分析:可用于研究弱相互作用的蛋白质复合体,如DNA结合蛋白、抗体-抗原复合体等。
三、超速离心法实验策略及关键技术参数
1、样品制备
(1)缓冲液选择:避免高盐浓度,以防影响沉降行为。
(2)样品纯度:蛋白质应高度纯化,否则杂质会干扰分析。
(3)浓度范围:通常为 0.1-1 mg/mL,浓度过高会影响测量精度。
2、运行参数
(1)离心速度:SV 一般 40,000-60,000 rpm,SE 通常 10,000-20,000 rpm。
(2)温度控制:通常在 4°C 或 20°C 运行,以保持蛋白稳定性。
(3)检测方法:主要使用 紫外吸收(UV 280 nm) 或 干涉光学检测 记录数据。
四、超速离心法在蛋白质分子量测定中的应用
1、研究蛋白质的天然构象
SE可用于确定蛋白是否在溶液中保持天然单体状态,还是形成了二聚体、四聚体或更高聚体。例如,某些蛋白(如P53)在不同条件下会发生寡聚化,超速离心可检测这一现象。
2、解析蛋白质复合物
用于研究蛋白质-蛋白质或蛋白质-小分子相互作用,例如抗原-抗体复合物、蛋白酶-抑制剂相互作用等。
3、测定糖蛋白的真实分子量
由于糖蛋白的糖基化修饰会影响SDS-PAGE测定的分子量,SE可以提供其真实的无糖基化蛋白部分的分子量。
4、研究蛋白质稳定性
通过监测沉降系数的变化,可评估蛋白质是否发生变性、解离或聚集。
五、超速离心法的优势与局限性
1、优势
(1)无标记、非变性:不需要染料或变性试剂,可直接测量蛋白质的天然状态。
(2)高精度:SE法可提供接近真实值的分子量测定。
(3)可研究蛋白质相互作用:能分析蛋白质-蛋白质、蛋白质-核酸复合体的稳定性。
2、局限性
(1)仪器昂贵:超速离心机价格较高,且操作需要专业培训。
(2)实验耗时较长:SE 实验通常需要 12-48 小时。
(3)数据分析复杂:需要专业的软件(如 SEDFIT、SEDFIT-MSTAR)进行拟合计算。
超速离心法是一种高精度、非破坏性的蛋白质分子量测定方法,广泛用于蛋白质结构研究、蛋白质-配体相互作用分析及药物开发。随着计算机拟合技术和新型超速离心仪器的发展,该技术将在蛋白质研究领域发挥更重要的作用。此外,与光散射(MALS)、等温滴定量热法(ITC) 等方法的结合,将进一步提高蛋白分子量测定的准确性和广泛适用性。百泰派克生物科技公司以其前沿的技术平台,为客户提供高效的超速离心法测定蛋白质分子量服务。我们致力于通过精准的数据分析,帮助客户揭示蛋白质的生物学功能,欢迎有相关需求的科研人员与我们联系,共同探讨与创新。
百泰派克生物科技特色项目
一、蛋白测序
百泰派克生物科技使用Thermo公司新推出的Obitrap Fusion Lumos质谱仪及岛津公司埃德曼降解测序系统对蛋白质序列进行分析,提供基于质谱的蛋白测序分析服务,包括对蛋白质的氨基酸组成分析,N端测序,C端测序和全序列分析,以及基于埃德曼降解的蛋白质N端序列分析服务。对于未知理论序列的蛋白质,提供基于从头测序法的蛋白质从头测序服务,对蛋白序列进行分析。
※服务优势:
1.采用目前世界上先进的质谱仪器 Obitrap Fusion Lumos;
2.可实现对所测定靶蛋白序列 100% 的覆盖;
3.可测定蛋白N端多达 70个氨基酸序列;
4.可测定多种形式的样品: 蛋白溶液、PVDF 蛋白条带;
5.样品用量低: 蛋白样品仅需 5-10ug,即可完成检测;
6.测序不受N端封闭,PEC和和糖基化等N端修饰的影响。
二、蛋白质组学
百泰派克生物科技采用Thermo Fisher的Orbitrap Fusion Lumos质谱平台结合Nano-LC,提供定量蛋白质组学、靶向蛋白质组学、多肽组学、翻译后修饰蛋白组学等多种蛋白质组学分析服务。此外,百泰派克生物科技新推出基于timsTOF Pro的4D蛋白质组学服务,助力微量样本蛋白组学、大样本群医学及高通量修饰组学等研究工作。
※服务优势:
1 .高通量定量蛋白分析:多对照组大规模实验分析,发现新的生物标记物;
2.体内体外多种蛋白质标记方法,适用于分析组织、细胞、血液等多种样品;
3.质谱分析灵敏度高,实验结果重复度高;
4.可检测较低丰度蛋白,线性范围广;
5.专业生物信息学分析,分析更系统准确。
三、单细胞质谱流式技术分析
百泰派克生物科技采用Fluidigm质谱流式系统进行单细胞质谱流式技术分析,采用金属元素标记物(通常是金属元素标记的特异抗体)标记细胞表面和内部的分子,然后用流式细胞原理分离单个细胞,再用电感耦合等离子体质谱(ICP-MS)分析单个细胞的原子质量谱,最后将原子质量谱数据转换为细胞表面和内部的信号分子表达量。
※服务优势:
1.技术先进,填补技术空白
采用金属标记抗体技术,避免了传统流式荧光通道少且易相互影响的问题。可在单细胞层面上对多种指标同时进行表征,百泰派克生物科技可做到同时检测51个目标蛋白。
2.分析数量大,成本较低
单细胞RNAseq受成本等因素限制,所有样本细胞汇总的分析数目一般在2x10^4个左右,而流式质谱技术一次(单样本)就可分析至少10^5的细胞,实现了数量级的提高,且成本不高于单细胞RNAseq。
3.应用前景大
①流式质谱结果可以给出细胞亚群的变化,在临床诊断、疾病机制研究等方面具有极大的研究前景;
②将金属标签技术与其他技术结合会有新应用方向。除常规蛋白外,质谱流式细胞技术还可用于蛋白翻译后修饰;
③可检测细胞存活率、细胞大小、mRNA转录子表达量、DNA合成速率以及蛋白酶活性等。
四、基于高精度质谱的免疫多肽组学分析及新抗原发现
百泰派克生物科技的基于高精度质谱的免疫多肽组学分析及新抗原发现一站式解决方案包括我们专有的、高度敏感的免疫肽富集和鉴定方案。我们能够帮助您实现10,000个以上I型多肽和10,000个以上II型多肽的鉴定和识别。通过我们优化的高通量免疫多肽组学分析平台进行免疫肽组学分析,可从最小的样品材料中进行可重复的识别和定量。该服务可以应用于大规模的研究,旨在助力科研工作者寻找癌症、免疫疾病及传染病的解决方案,深入挖掘未知的靶标。
五、生物药物表征
百泰派克基于高分辨率质谱技术,MALDI TOF,高效色谱分离技术,提供一系列完善的生物药物分析方案,从蛋白质、多肽、抗体、疫苗等生物制品的氨基酸组成和一级结构分析,到产品变异性和纯度分析。旨在提供优质生物药物分析服务,帮助生物医药生产商提高生物药物品质。
百泰派克生物科技七大检测平台

百泰派克生物科技-生物制品表征,生物质谱多组学优质服务商
北京百泰派克生物科技有限公司致力于为生物/制药和医疗器械行业提供质量控制检测和项目验证等专业服务。公司实验室遵循NMPA、ICH、FDA和EMA等的法规和指导原则,通过CNAS/ISO9001双重质量体系认证,建立了完备的质量体系,数据冷热/异地备份,设备定期计量/期间核查,软件审计追踪,为客户提供一体化解决方案和技术服务,支持新药研发、药物申报注册和生产放行。
1.公司采用ISO9001质量控制体系,专业提供以质谱为基础的CRO检测分析服务;
2.获国家CNAS实验室认可,为客户提供符合全球药政法规的药物质量研究服务;
3.业务范围覆盖蛋白质组学、多肽组学、代谢组学、生物药物表征、单细胞分析、单细胞质谱流式、生信云分析以及多组学生物质谱整合分析等;
4.七大质量控制检测平台,满足您一站式服务需求;
5.服务3000+企业,10000+客户的选择;
6.致力于为您提供优质的生物质谱分析服务!
风险提示:丁香通仅作为第三方平台,为商家信息发布提供平台空间。用户咨询产品时请注意保护个人信息及财产安全,合理判断,谨慎选购商品,商家和用户对交易行为负责。对于医疗器械类产品,请先查证核实企业经营资质和医疗器械产品注册证情况。
技术资料暂无技术资料 索取技术资料









