相关产品推荐更多 >
万千商家帮你免费找货
0 人在求购买到急需产品
- 详细信息
- 询价记录
- 文献和实验
- 技术资料
- 库存:
详询
- 英文名:
Zeocin
- CAS号:
详询
- 保质期:
1年
- 供应商:
北京百奥创新科技有限公司
- 保存条件:
-20℃避光
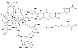
Zeocin即phleomycin D1,中文名称博来霉素或者腐草霉素D1,是从轮状链霉菌(Streptomyces verticillus)的一个突变体菌株中分离而来的博来霉素/腐草霉素(bleomycin/phleomycin)的抗生素家族成员。它对细菌、真菌(包括酵母)、植物和哺乳动物细胞均有抑制作用和细胞毒性。
Zeocin是一种碱性、水溶性的、铜离子螯合的糖肽抗生素。Cu2+螯合的Zeocin溶液呈现蓝色,无活性。当其进入细胞后,Zeocin上的Cu2+被还原为一价铜离子(Cu+),并被细胞内的巯基化合物(sulfhydryl compound)清除,导致Zeocin被活化,能够结合到细胞内DNA上并使其断裂,最终导致细胞死亡。
对Zeocin产生抗性的蛋白是来源于印度链球菌(Streptoalloteichus hindustanus)的Sh ble基因编码一种14kDa大小的蛋白,它能够以一定比率结合Zeocin,使其不能结合细胞DNA,抑制其DNA断裂活性,从而使细胞对Zeocin产生抗性。因此,Zeocin可用来筛选表达Zeocin抗性基因的多克隆或单克隆细胞,或用于相应的多克隆或单克隆细胞的维持性培养。
Zeocin对于绝大多数好氧细胞均有效,常用于细菌(如大肠杆菌)、真核微生物(如酵母)及动植物细胞的筛选。大肠杆菌筛选推荐浓度为25~50μg/ml (低盐LB培养基,NaCl浓度不能超过5g/L);酵母筛选推荐浓度为50~300ug/ml (YPD或基本培养基);哺乳动物细胞筛选推荐浓度为50~1000ug/ml (合适培养基,根据细胞系的类型而不同)。实际应用时,应针对不同的细胞系测试Zeocin的浓度梯度,以确定最佳使用浓度。

化学性质:
| 化学名 | (7R)-N1-[4-[[Amino(imino)methyl]amino]butyl]-7,8-dihydrobleomycinamide |
| 化学式 | C55H85O21N20S2Cu |
| CAS号 | 11006-33-0 |
| 纯度 | BioReagent,≥80% |
| 分子量 | 1474.03 |
| 溶解性 | H2O: 50 mg/mL |

本产品溶液包装配制在去离子水中,浓度为20mg/ml,经0.22μm滤膜过滤除菌,可以直接用于细胞培养。
包装清单:
| 产品编号 | 产品名称 | 包装 |
| ST1450-20mg | Zeocin (博莱霉素) | 20mg |
| ST1450-100mg | Zeocin (博莱霉素) | 100mg |
| ST1450-0.25ml | Zeocin (博莱霉素) | 20mg/ml×0.25ml |
| ST1450-1ml | Zeocin (博莱霉素) | 20mg/ml×1ml |
| - | 说明书 | 1份 |
保存条件:
-20℃避光保存,至少一年有效。20mg/ml溶液包装适当避免反复冻融。
注意事项:
Zeocin人体有害,操作时请小心,并注意有效防护以避免直接接触人体或吸入体内。
Zeocin对光敏感,需避光保存于-20℃。含有该抗生素的平板或培养基也需避光保存。
高离子强度、酸或碱性都会抑制Zeocin的活性,该抗生素在过高或过低pH及弱氧化剂的条件下不稳定,且变性不可逆。在培养细菌时,需适当降低细菌培养基的盐浓度(低盐LB培养基,NaCl浓度不能超过5g/L)并调整pH至7.5,从而使其保持活性。
本产品仅限于专业人员的科学研究用,不得用于临床诊断或治疗,不得用于食品或药品,不得存放于普通住宅内。
为了您的安全和健康,请穿实验服并戴一次性手套操作。
使用说明:
1.细菌的筛选(以大肠杆菌为例)。
a.使用不含Tn5转座子元件的宿主细胞如Top10、DH5和DH10等进行筛选
b.需使用低盐LB培养基(10g胰蛋白胨,5g NaCl,5g酵母提取物,调整pH至7.5,加水定容至1L)以维持Zeocin的活性。
c.Zeocin筛选的推荐浓度为25~50μg/ml。
2.真菌的筛选(以酵母为例)。
a.适用于酿酒酵母和毕赤酵母。
b.培养基的选择:含1M山梨醇的YPD培养基(适用于电穿孔法转染细胞);YPD或基本培养基(适用于化学法转染细胞)。调整培养基pH至6.5~8.0,并选择使用最低有效浓度的Zeocin进行筛选。
c.转染方法:需使用电穿孔或锂离子转染法。不要使用酵母原生质球(spheroplasting)进行Zeocin抗性的转染及筛选,因为Zeocin会导致原生质球的完全死亡。
d.Zeocin筛选的推荐浓度为50~300μg/ml。具体浓度与酵母菌株、培养基pH以及离子强度有关。
3.哺乳动物稳定表达细胞株的筛选。
Zeocin用于哺乳动物细胞筛选常用浓度为50-1000μg/ml (平均常用浓度为250-400μg/ml)。影响筛选浓度的主要因素包括离子强度、细胞类型、细胞生长密度以及生长速率。根据细胞类型的不同,需要1-2周可以筛选到Zeocin抗性的细胞。在筛选稳定表达细胞株之前,需要先确定能够杀死未转染细胞的Zeocin最佳工作浓度。Zeocin的最佳工作浓度需要通过剂量效应曲线来确定。下表中列出了部分细胞中Zeocin的筛选浓度范围以供参考。
表1.部分常见哺乳动物细胞的Zeocin推荐筛选浓度表
| Cell Type | Culture Medium | Zeocin Concentration |
| B16 (Mouse melanocytes) | RPMI | 20-250μg/ml |
| CHO (Chinese hamster ovarian cells) | DMEM | 100-500μg/ml |
| COS (Monkey kidney cells) | DMEM | 100-400μg/ml |
| HEK293 (Human embryonic kidney cells) | DMEM | 100-400μg/ml |
| HeLa (Human uterine cells) | DMEM | 50-100μg/ml |
| J558L (Mouse melanocytes) | RPMI | 400μg/ml |
| MCF-7 (Human breast adenocarcinoma cells) | DMEM | 100-400μg/ml |
| MEFs (Mouse embryonic fibroblasts) | DMEM | 200-400μg/ml |
| THP-1 (Human monocytes) | RMPI | 200μg/ml |
a.细胞对Zeocin敏感性的确定(杀灭曲线的建立)。
(a)接种细胞使得细胞密度约为25%,按照8、16或24个细胞培养孔(分别为单个培养孔、复孔和三复孔)准备培养的细胞,培养24h。
(b)去除细胞培养液,换成含不同浓度Zeocin的新鲜筛选培养液(0, 50, 100, 200, 400, 600, 800和1000μg/ml)。
(c)每2-4天更换新鲜的筛选培养液,观察存活细胞的比例,选择在1-2周内杀死所有细胞的最低浓度作为最佳工作浓度。
b.筛选Zeocin抗性的稳定细胞株。
(a)按照20%-30%的细胞密度接种细胞,培养过夜。
(b)转染携带Zeocin抗性基因的质粒或感染携带Zeocin抗性基因的病毒,同时设置没有转染质粒或感染病毒的细胞作为对照。说明:没有转染质粒或感染病毒的细胞,也需要同样进行转染质粒或感染病毒的相应实验操作。
(c)转染或感染48-72h后,换成含有最佳工作浓度的Zeocin (由步骤a中的杀灭曲线确定)的新鲜培养液,继续培养。如果有必要,可以对细胞进行传代,略稀释后进行筛选培养。
(d)每2-4天更换含有Zeocin的新鲜筛选培养液。
(e)对照组正常细胞100%死亡,Zeocin抗性组中存活的细胞即为表达Zeocin抗性基因的细胞。然后根据实验目的进行多克隆或单克隆细胞的筛选。根据细胞种类和转染/筛选效率,单克隆细胞株的形成可能需要一周或更多的时间。
注意:若待筛选细胞对Zeocin的抗性明显强于大部分细胞,则按照以下方法克服此类耐受性:用含Zeocin培养液进行细胞接种培养,置于37℃孵育2-3h,使得细胞贴壁。然后将细胞置于4℃,2h。需要使用HEPES作为培养基的缓冲体系。重新将细胞置于37℃孵育。4℃孵育细胞的目的是短时间内终止细胞分化,使得Zeocin能发挥作用,杀死细胞。
c.稳定细胞株的维持培养
可采取如下几种方式之一来维持培养稳定细胞株。
(a)使用含有与上述筛选稳定转染细胞株相同浓度的Zeocin筛选培养液来维持培养。
(b)降低Zeocin浓度为筛选浓度的一半进行维持培养。
(c)使用刚好能预防敏感细胞生长但不足以致死的Zeocin浓度来维持培养(根据杀灭曲线来判断)。
碧云天代理——北京百奥创新科技有限公司~

风险提示:丁香通仅作为第三方平台,为商家信息发布提供平台空间。用户咨询产品时请注意保护个人信息及财产安全,合理判断,谨慎选购商品,商家和用户对交易行为负责。对于医疗器械类产品,请先查证核实企业经营资质和医疗器械产品注册证情况。
- 作者
- 内容
- 询问日期
文献和实验题为:circHIPK3 regulates lung fibroblast-tomyofibroblast transition by functioning as a competing endogenous RNA 的研究论文。 该研究中研究人员利用博来霉素 BLM 制备 IPF 小鼠模型,探究了 circHIPK3 在肺纤维 化中的作用,发现 circHIPK3 在肺纤维化 小鼠模型中,FMT 衍生的肌成纤维细胞中 表达上调;沉默 circHIPK3 可以在体内外 抑制成纤维细胞增值并改善
, 新霉素磷酸转移酶基因,对卡那霉素, G418, 巴龙霉素及新霉素等具有抗性;aphIV, 潮霉素磷酸转移酶基因,对潮霉素具有抗性;spt, 链霉素磷酸转移酶基因,对链霉素具有抗性;cat, 氯霉素乙酰转移酶基因,使氯霉素丧失抗菌素活性;Aacc3和aacc4, 庆大霉素3-N-乙酰转移酶基因,对庆大霉素有抗性;ble, 博来霉素抗性基因,对博来霉素有抗性。2. 抗除草剂抗性基因bar, 编码膦化麦黄酮乙酰转移酶(PAT),使PPT(膦化麦黄酮)的自由氨基乙酰化而对PPT中毒。抗除草
肿瘤药物的作用机制考虑 不同作用机制的抗肿瘤药合用可能增强疗效,如甲氨蝶呤和巯嘌呤的合用。 3.从药物的毒性考虑 多数抗肿瘤药均可抑制骨髓,而泼尼松、长春新碱、博来霉素的骨髓抑制作用较少,可合用以降低毒性并提高疗效。 4.从抗瘤谱考虑 胃肠道腺癌宜用氟尿嘧啶、噻替派、环磷酰胺、丝裂霉素等。鳞癌可用博来霉素、消卡芥、甲氨蝶呤等。肉瘤可用环磷酰胺、顺铂、阿霉素等。 5.给药方法 一般均采用机体能耐受的最大剂量,特别是对病期较早、健康状况较好的肿瘤病人应用环磷酰胺、阿霉素、卡氮芥、甲氨蝶呤等时
技术资料暂无技术资料 索取技术资料










