相关产品推荐更多 >
万千商家帮你免费找货
0 人在求购买到急需产品
- 详细信息
- 技术资料
- 库存:
34
- 英文名:
SBP-7455
- CAS号:
1884222-74-5
- 供应商:
上海莼试
- 保存条件:
-20°C
- 规格:
1mg 5mg 10mg 25mg
使用方法:
1.本蛋白酶抑制剂混合物为100×的储存液,使用时按照1:100的比例加入到裂解液中(例如,1ml裂解液中加入10μl蛋白酶抑制剂混合物),混匀后即可使用。根据需要,0.5M的EDTA也按照1:100的比例加入到裂解液中(如用于检测金属蛋白酶活性,则不宜添加EDTA)。含有蛋白酶抑制剂混合物的裂解液宜现用现配,不宜配制后冻存待后续使用。
2. 待所需的抑制剂添加完毕混匀后,就可以开始进行哺乳动物组织的裂解和蛋白提取。
商品属性:
产品描述:
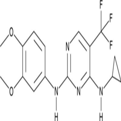
分子式:C16H17F3N4O2

分子量:354.3
溶解度:DMF: 30 mg/ml,DMSO: 30 mg/ml,DMSO:PBS (pH 7.2) (1:4): 0.20 mg/ml,Ethanol: 1 mg/ml
储存条件:-20°C
General tips:For obtaining a higher solubility , please warm the tube at 37 ℃ and shake it in the ultrasonic bath for a while.
Shipping Condition:Evaluation sample solution : ship with blue ice All other available size: ship with RT , or blue ice upon request
SBP-7455 is a dual inhibitor of unc-51-like autophagy activating kinase 1 (ULK1) and ULK2 (IC50s = 13 and 476 nM, respectively, for the recombinant human enzymes in cell-free assays).1 It inhibits increases in autophagic flux and induces apoptosis in serum-deprived MDA-MB-468 breast cancer cells when used at a concentration of 10 μM. SBP-7455 (0.19 μM), alone or in combination with olaparib , reduces the viability of MDA-MB-468 cells.1.Ren, H., Bakas, N.A., Vamos, M., et al.Design, synthesis, and characterization of an orally active dual-specific ULK1/2 autophagy inhibitor that synergizes with the PARP inhibitor olaparib for the treatment of triple-negative breast cancerJ. Med. Chem.63(23)14609-14625(2020)
注意事项:
抗逆滴加序列
每次向板内滴加抗原时,移液器滴头要与平面45度悬空,不要触碰到孔内的液体,由后向前依次滴加(即浓度由低往高滴加)。
抗感染反应期
抗原抗体在室温20~25℃下,必须反应30min以上,若环境温度低于室温,可将微量反应板置于恒温培养箱中,使二者充分反应。
旅游温度
磷酸盐缓冲液的pH值要在高压灭菌后进行滴定,往往在高压后pH值会有所改变,所以高压后再调一次pH值更为准确。磷酸盐缓冲液一经使用保存期不要超过3周。当pH<5.8时,红细胞会产生自凝现象;当pH>7.8时,图形洗脱加快,易造成肉眼观察产生误差;p H=7.2时,红细胞沉降最充分,图形最清晰。
当滴注 1%红细胞悬液时,应经常摇晃红细胞悬液,使红细胞均匀地分布在磷酸缓冲液中,以防止红细胞下降。
反应时间及温度
加入鸡红血球之后,反应板在室温(20~25℃)静置30~40min,对照孔血球下沉于孔底,即可判定结果。若室温达不到实验要求,需相应调整反应时间。当环境温度低于4℃时,红细胞发生自凝;高于37℃时,会发生反应物分离和红细胞溶血。
公司正在出售的产品:
1.本蛋白酶抑制剂混合物为100×的储存液,使用时按照1:100的比例加入到裂解液中(例如,1ml裂解液中加入10μl蛋白酶抑制剂混合物),混匀后即可使用。根据需要,0.5M的EDTA也按照1:100的比例加入到裂解液中(如用于检测金属蛋白酶活性,则不宜添加EDTA)。含有蛋白酶抑制剂混合物的裂解液宜现用现配,不宜配制后冻存待后续使用。
2. 待所需的抑制剂添加完毕混匀后,就可以开始进行哺乳动物组织的裂解和蛋白提取。
商品属性:
| 货号 | CS-01Y66209 | 规格 | 1mg 5mg 10mg 25mg |
| CAS号 | 1884222-74-5 | 分子量 | 354.3 |
| 含量 | >98.00% | 别名 | N/A |
| 分子式 | C16H17F3N4O2 | 化学名 | N/A |
| 产地 | 国产 | 用途 | 仅供科研研究实验 |
分子式:C16H17F3N4O2

分子量:354.3
溶解度:DMF: 30 mg/ml,DMSO: 30 mg/ml,DMSO:PBS (pH 7.2) (1:4): 0.20 mg/ml,Ethanol: 1 mg/ml
储存条件:-20°C
General tips:For obtaining a higher solubility , please warm the tube at 37 ℃ and shake it in the ultrasonic bath for a while.
Shipping Condition:Evaluation sample solution : ship with blue ice All other available size: ship with RT , or blue ice upon request
SBP-7455 is a dual inhibitor of unc-51-like autophagy activating kinase 1 (ULK1) and ULK2 (IC50s = 13 and 476 nM, respectively, for the recombinant human enzymes in cell-free assays).1 It inhibits increases in autophagic flux and induces apoptosis in serum-deprived MDA-MB-468 breast cancer cells when used at a concentration of 10 μM. SBP-7455 (0.19 μM), alone or in combination with olaparib , reduces the viability of MDA-MB-468 cells.1.Ren, H., Bakas, N.A., Vamos, M., et al.Design, synthesis, and characterization of an orally active dual-specific ULK1/2 autophagy inhibitor that synergizes with the PARP inhibitor olaparib for the treatment of triple-negative breast cancerJ. Med. Chem.63(23)14609-14625(2020)
注意事项:
抗逆滴加序列
每次向板内滴加抗原时,移液器滴头要与平面45度悬空,不要触碰到孔内的液体,由后向前依次滴加(即浓度由低往高滴加)。
抗感染反应期
抗原抗体在室温20~25℃下,必须反应30min以上,若环境温度低于室温,可将微量反应板置于恒温培养箱中,使二者充分反应。
旅游温度
磷酸盐缓冲液的pH值要在高压灭菌后进行滴定,往往在高压后pH值会有所改变,所以高压后再调一次pH值更为准确。磷酸盐缓冲液一经使用保存期不要超过3周。当pH<5.8时,红细胞会产生自凝现象;当pH>7.8时,图形洗脱加快,易造成肉眼观察产生误差;p H=7.2时,红细胞沉降最充分,图形最清晰。
当滴注 1%红细胞悬液时,应经常摇晃红细胞悬液,使红细胞均匀地分布在磷酸缓冲液中,以防止红细胞下降。
反应时间及温度
加入鸡红血球之后,反应板在室温(20~25℃)静置30~40min,对照孔血球下沉于孔底,即可判定结果。若室温达不到实验要求,需相应调整反应时间。当环境温度低于4℃时,红细胞发生自凝;高于37℃时,会发生反应物分离和红细胞溶血。
公司正在出售的产品:
| 神经激肽A受体/K物质受体封闭多肽 | 3号染色体开放阅读框39封闭多肽 |
| 锌指蛋白281封闭多肽 | 钙通道电压依赖性β1蛋白抗体 |
| 脂肪堆积和肥胖相关蛋白封闭多肽 | 血管生成素受体2抗体 |
| HA tag多肽 | 睾丸蛋白聚糖2抗体 |
| PR结构域锌指蛋白7封闭多肽 | 半胱氨酸蛋白酶8抗体 |
| 白介素1受体2封闭多肽 | 细胞凋亡诱导蛋白NALP3抗体 |
| 双特异性蛋白磷酸酶5封闭多肽 | 前列腺素E2受体2抗体 |
| 重组人周期素D1蛋白 | 趋化因子受体1抗体 |
| 组织蛋白酶H封闭多肽 | 乙酰化组蛋白H4抗体 |
| 核酸内切酶G封闭多肽 | 中心体蛋白1抗体 |
| NUDT22蛋白封闭多肽 | 微管相关蛋白4抗体 |
| 红细胞膜条带4.1蛋白封闭多肽 | 丝氨酸/苏氨酸激酶36融合同源蛋白抗体 |
| 超氧化物歧化酶3封闭多肽 | SBP-7455PE标记小鼠抗人CD86单克隆抗体 |
| 2 pke 2(982A)突变多肽 | 肝细胞生长因子受体抗体 |
| 5-羟色胺受体2A抗体 | 果糖-2,6-二磷酸酶2/磷酸果糖激酶2抗体 |
风险提示:丁香通仅作为第三方平台,为商家信息发布提供平台空间。用户咨询产品时请注意保护个人信息及财产安全,合理判断,谨慎选购商品,商家和用户对交易行为负责。对于医疗器械类产品,请先查证核实企业经营资质和医疗器械产品注册证情况。
技术资料暂无技术资料 索取技术资料
SBP-7455
¥600 - 3200








