万千商家帮你免费找货
0 人在求购买到急需产品
- 详细信息
- 技术资料
- 库存:
53
- 英文名:
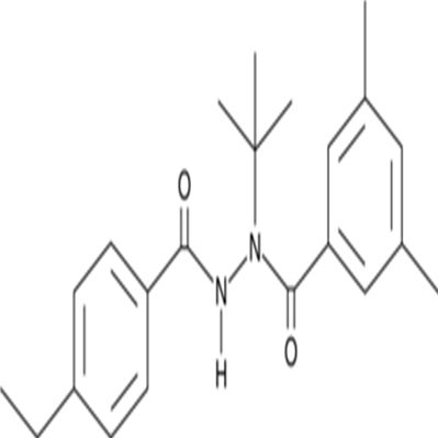
Tebufenozide
- CAS号:
112410-23-8
- 供应商:
上海莼试
- 保存条件:
Store at -20°C
- 规格:
50 mg 100 mg
产品描述:
分子式:

分子量:352.5
溶解度:Chloroform: Slightly Soluble,Methanol: Slightly Soluble
储存条件:Store at -20°C
General tips:For obtaining a higher solubility , please warm the tube at 37 ℃ and shake it in the ultrasonic bath for a while.
Shipping Condition:Evaluation sample solution : ship with blue ice All other available size: ship with RT , or blue ice upon request
Tebufenozide is an insecticide that acts as a non-steroidal agonist of the insect ecdysone receptor (EcR; IC50 = 0.85 nM in a cell-free preparation of C. suppressalis integument).1 It induces a premature molt and is lethal to S. litura third instar larva (LD50 = 0.33 μM per larva).1,2 It also inhibits p-glycoprotein activity in LLC-PK1 porcine kidney epithelial cells transfected with human MDR1, the gene for p-glycoprotein (IC50 = 21.5 μM).3 Tebufenozide has low toxicity in mammals, birds, and most aquatic species, but it dose-dependently decreases colony formation and induces apoptosis and cell cycle arrest in HeLa cells when used at concentrations ranging from 50 to 200 μg/ml.4,51.Minakuchi, C., Nakagawa, Y., Kamimura, M., et al.Binding affinity of nonsteroidal ecdysone agonists against the ecdysone receptor complex determines the strength of their molting hormonal activityEur. J. Biochem.270(20)4095-4104(2003) 2.Yokoi, T., Minami, S., Nakagawa, Y., et al.Structure-activity relationship of imidazothiadiazole analogs for the binding to the ecdysone receptor of insect cellsPestic. Biochem. Physiol.12040-50(2015) 3.Miyata, K.-i., Nakagawa, Y., Kimura, Y., et al.Structure-activity relationships of dibenzoylhydrazines for the inhibition of P-glycoprotein-mediated quinidine transportBioorg. Med. Chem.24(14)3184-3191(2016) 4.Xu, W., Wang, B., Yang, M., et al.Tebufenozide induces G1/S cell cycle arrest and apoptosis in human cellsEnviron. Toxicol. Pharmacol
商品属性:
注意事项:
抗逆滴加序列
每次向板内滴加抗原时,移液器滴头要与平面45度悬空,不要触碰到孔内的液体,由后向前依次滴加(即浓度由低往高滴加)。
抗感染反应期
抗原抗体在室温20~25℃下,必须反应30min以上,若环境温度低于室温,可将微量反应板置于恒温培养箱中,使二者充分反应。
旅游温度
磷酸盐缓冲液的pH值要在高压灭菌后进行滴定,往往在高压后pH值会有所改变,所以高压后再调一次pH值更为准确。磷酸盐缓冲液一经使用保存期不要超过3周。当pH<5.8时,红细胞会产生自凝现象;当pH>7.8时,图形洗脱加快,易造成肉眼观察产生误差;p H=7.2时,红细胞沉降最充分,图形最清晰。
当滴注 1%红细胞悬液时,应经常摇晃红细胞悬液,使红细胞均匀地分布在磷酸缓冲液中,以防止红细胞下降。
反应时间及温度
加入鸡红血球之后,反应板在室温(20~25℃)静置30~40min,对照孔血球下沉于孔底,即可判定结果。若室温达不到实验要求,需相应调整反应时间。当环境温度低于4℃时,红细胞发生自凝;高于37℃时,会发生反应物分离和红细胞溶血。
公司正在出售的产品:
使用方法:
1.本蛋白酶抑制剂混合物为100×的储存液,使用时按照1:100的比例加入到裂解液中(例如,1ml裂解液中加入10μl蛋白酶抑制剂混合物),混匀后即可使用。根据需要,0.5M的EDTA也按照1:100的比例加入到裂解液中(如用于检测金属蛋白酶活性,则不宜添加EDTA)。含有蛋白酶抑制剂混合物的裂解液宜现用现配,不宜配制后冻存待后续使用。
2. 待所需的抑制剂添加完毕混匀后,就可以开始进行哺乳动物组织的裂解和蛋白提取。
分子式:

分子量:352.5
溶解度:Chloroform: Slightly Soluble,Methanol: Slightly Soluble
储存条件:Store at -20°C
General tips:For obtaining a higher solubility , please warm the tube at 37 ℃ and shake it in the ultrasonic bath for a while.
Shipping Condition:Evaluation sample solution : ship with blue ice All other available size: ship with RT , or blue ice upon request
Tebufenozide is an insecticide that acts as a non-steroidal agonist of the insect ecdysone receptor (EcR; IC50 = 0.85 nM in a cell-free preparation of C. suppressalis integument).1 It induces a premature molt and is lethal to S. litura third instar larva (LD50 = 0.33 μM per larva).1,2 It also inhibits p-glycoprotein activity in LLC-PK1 porcine kidney epithelial cells transfected with human MDR1, the gene for p-glycoprotein (IC50 = 21.5 μM).3 Tebufenozide has low toxicity in mammals, birds, and most aquatic species, but it dose-dependently decreases colony formation and induces apoptosis and cell cycle arrest in HeLa cells when used at concentrations ranging from 50 to 200 μg/ml.4,51.Minakuchi, C., Nakagawa, Y., Kamimura, M., et al.Binding affinity of nonsteroidal ecdysone agonists against the ecdysone receptor complex determines the strength of their molting hormonal activityEur. J. Biochem.270(20)4095-4104(2003) 2.Yokoi, T., Minami, S., Nakagawa, Y., et al.Structure-activity relationship of imidazothiadiazole analogs for the binding to the ecdysone receptor of insect cellsPestic. Biochem. Physiol.12040-50(2015) 3.Miyata, K.-i., Nakagawa, Y., Kimura, Y., et al.Structure-activity relationships of dibenzoylhydrazines for the inhibition of P-glycoprotein-mediated quinidine transportBioorg. Med. Chem.24(14)3184-3191(2016) 4.Xu, W., Wang, B., Yang, M., et al.Tebufenozide induces G1/S cell cycle arrest and apoptosis in human cellsEnviron. Toxicol. Pharmacol
商品属性:
| 货号 | CS-01Y66648 | 规格 | 50 mg 100 mg |
| CAS号 | 112410-23-8 | 分子量 | 352.5 |
| 含量 | >95.00% | 别名 | N/A |
| 分子式 | 化学名 | N/A | |
| 产地 | 国产 | 用途 | 仅供科研研究实验 |
抗逆滴加序列
每次向板内滴加抗原时,移液器滴头要与平面45度悬空,不要触碰到孔内的液体,由后向前依次滴加(即浓度由低往高滴加)。
抗感染反应期
抗原抗体在室温20~25℃下,必须反应30min以上,若环境温度低于室温,可将微量反应板置于恒温培养箱中,使二者充分反应。
旅游温度
磷酸盐缓冲液的pH值要在高压灭菌后进行滴定,往往在高压后pH值会有所改变,所以高压后再调一次pH值更为准确。磷酸盐缓冲液一经使用保存期不要超过3周。当pH<5.8时,红细胞会产生自凝现象;当pH>7.8时,图形洗脱加快,易造成肉眼观察产生误差;p H=7.2时,红细胞沉降最充分,图形最清晰。
当滴注 1%红细胞悬液时,应经常摇晃红细胞悬液,使红细胞均匀地分布在磷酸缓冲液中,以防止红细胞下降。
反应时间及温度
加入鸡红血球之后,反应板在室温(20~25℃)静置30~40min,对照孔血球下沉于孔底,即可判定结果。若室温达不到实验要求,需相应调整反应时间。当环境温度低于4℃时,红细胞发生自凝;高于37℃时,会发生反应物分离和红细胞溶血。
公司正在出售的产品:
| Recombnant Human CD25/L2RA, C-H | 环指蛋白130封闭多肽 |
| 生物素标记重组人BCMA蛋白 | TMX3 Antibody Blocking Peptide |
| 浦肯野细胞萎缩相关蛋白1封闭多肽 | Ein Antibody Blocking Peptide |
| 钙激活钾通道蛋白β4封闭多肽 | GHITM Antibody Blocking Peptide |
| 雄烷受体CAR封闭多肽 | IGF2BP1 Antibody Blocking Peptide |
| KCNH6蛋白封闭多肽 | CENPO Antibody Blocking Peptide |
| Daer3蛋白封闭多肽 | Hsp104 Antibody Blocking Peptide |
| LSM14A蛋白封闭多肽 | EMB蛋白封闭多肽 |
| 硫氧还蛋白相关跨膜蛋白3封闭多肽 | LSM14A Antibody Blocking Peptide |
| 附睾蛋白酶抑制蛋白封闭多肽+O13844 | DACT3 Antibody Blocking Peptide |
| 胰岛素样生长因子ⅡmRNA结合蛋白1封闭多肽 | KCNH6 Antibody Blocking Peptide |
| 生长激素诱导跨膜蛋白封闭多肽 | NR1I3 Antibody Blocking Peptide |
| 着丝粒蛋白O封闭多肽 | TebufenozideKCNMB4 Antibody Blocking Peptide |
| 热休克蛋白104封闭多肽 | PLEKHG4 Antibody Blocking Peptide |
| RNF130 Antibody Blocking Peptide | Recombinant human BCMA protein, C-His-Avi (HEK293) / Biotin |
1.本蛋白酶抑制剂混合物为100×的储存液,使用时按照1:100的比例加入到裂解液中(例如,1ml裂解液中加入10μl蛋白酶抑制剂混合物),混匀后即可使用。根据需要,0.5M的EDTA也按照1:100的比例加入到裂解液中(如用于检测金属蛋白酶活性,则不宜添加EDTA)。含有蛋白酶抑制剂混合物的裂解液宜现用现配,不宜配制后冻存待后续使用。
2. 待所需的抑制剂添加完毕混匀后,就可以开始进行哺乳动物组织的裂解和蛋白提取。
风险提示:丁香通仅作为第三方平台,为商家信息发布提供平台空间。用户咨询产品时请注意保护个人信息及财产安全,合理判断,谨慎选购商品,商家和用户对交易行为负责。对于医疗器械类产品,请先查证核实企业经营资质和医疗器械产品注册证情况。
技术资料暂无技术资料 索取技术资料
Tebufenozide
¥600 - 3200








