相关产品推荐更多 >
万千商家帮你免费找货
0 人在求购买到急需产品
- 详细信息
- 技术资料
- 库存:
36
- 英文名:
1-Decanoyl-rac-glycerol
- CAS号:
2277-23-8
- 供应商:
上海莼试
- 保存条件:
Store at -20°C
- 规格:
50mg 100mg
产品描述:
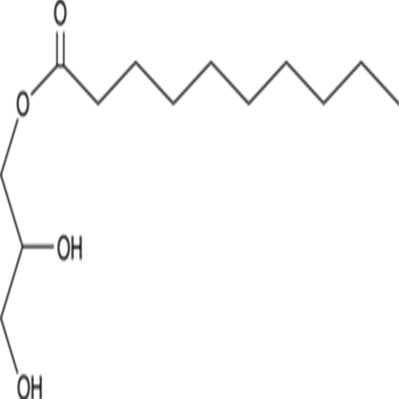
分子式:C13H26O4

分子量:246.3
溶解度:Chloroform: soluble
储存条件:Store at -20°C
General tips:For obtaining a higher solubility , please warm the tube at 37 ℃ and shake it in the ultrasonic bath for a while.
Shipping Condition:Evaluation sample solution : ship with blue ice All other available size: ship with RT , or blue ice upon request
1-Decanoyl-rac-glycerol is a monoacylglycerol that contains decanoic acid at the sn-1 position. It inhibits the growth of B. cereus, S. typhimurium, and E. coli when used at a concentration of 1 mg/ml and S. aureus when used at a concentration of 0.5 mg/ml. 1-Decanoyl-rac-glycerol is an agonist of transient receptor potential vanilloid 1 (TRPV1) that induces calcium influx in HEK293 cells expressing the human receptor (EC50 = 12.6 μM). It is an emulsifying agent and has been used to increase the storage stability of mayonnaise and viscoelasticity of processed cheese.
商品属性:
注意事项:
抗逆滴加序列
每次向板内滴加抗原时,移液器滴头要与平面45度悬空,不要触碰到孔内的液体,由后向前依次滴加(即浓度由低往高滴加)。
抗感染反应期
抗原抗体在室温20~25℃下,必须反应30min以上,若环境温度低于室温,可将微量反应板置于恒温培养箱中,使二者充分反应。
旅游温度
磷酸盐缓冲液的pH值要在高压灭菌后进行滴定,往往在高压后pH值会有所改变,所以高压后再调一次pH值更为准确。磷酸盐缓冲液一经使用保存期不要超过3周。当pH<5.8时,红细胞会产生自凝现象;当pH>7.8时,图形洗脱加快,易造成肉眼观察产生误差;p H=7.2时,红细胞沉降最充分,图形最清晰。
当滴注 1%红细胞悬液时,应经常摇晃红细胞悬液,使红细胞均匀地分布在磷酸缓冲液中,以防止红细胞下降。
反应时间及温度
加入鸡红血球之后,反应板在室温(20~25℃)静置30~40min,对照孔血球下沉于孔底,即可判定结果。若室温达不到实验要求,需相应调整反应时间。当环境温度低于4℃时,红细胞发生自凝;高于37℃时,会发生反应物分离和红细胞溶血。
公司正在出售的产品:
使用方法:
1.本蛋白酶抑制剂混合物为100×的储存液,使用时按照1:100的比例加入到裂解液中(例如,1ml裂解液中加入10μl蛋白酶抑制剂混合物),混匀后即可使用。根据需要,0.5M的EDTA也按照1:100的比例加入到裂解液中(如用于检测金属蛋白酶活性,则不宜添加EDTA)。含有蛋白酶抑制剂混合物的裂解液宜现用现配,不宜配制后冻存待后续使用。
2. 待所需的抑制剂添加完毕混匀后,就可以开始进行哺乳动物组织的裂解和蛋白提取。
分子式:C13H26O4

分子量:246.3
溶解度:Chloroform: soluble
储存条件:Store at -20°C
General tips:For obtaining a higher solubility , please warm the tube at 37 ℃ and shake it in the ultrasonic bath for a while.
Shipping Condition:Evaluation sample solution : ship with blue ice All other available size: ship with RT , or blue ice upon request
1-Decanoyl-rac-glycerol is a monoacylglycerol that contains decanoic acid at the sn-1 position. It inhibits the growth of B. cereus, S. typhimurium, and E. coli when used at a concentration of 1 mg/ml and S. aureus when used at a concentration of 0.5 mg/ml. 1-Decanoyl-rac-glycerol is an agonist of transient receptor potential vanilloid 1 (TRPV1) that induces calcium influx in HEK293 cells expressing the human receptor (EC50 = 12.6 μM). It is an emulsifying agent and has been used to increase the storage stability of mayonnaise and viscoelasticity of processed cheese.
商品属性:
| 货号 | CS-01Y74112 | 规格 | 50mg 100mg |
| CAS号 | 2277-23-8 | 分子量 | 246.3 |
| 含量 | >98.00% | 别名 | N/A |
| 分子式 | C13H26O4 | 化学名 | N/A |
| 产地 | 国产 | 用途 | 仅供科研研究实验 |
抗逆滴加序列
每次向板内滴加抗原时,移液器滴头要与平面45度悬空,不要触碰到孔内的液体,由后向前依次滴加(即浓度由低往高滴加)。
抗感染反应期
抗原抗体在室温20~25℃下,必须反应30min以上,若环境温度低于室温,可将微量反应板置于恒温培养箱中,使二者充分反应。
旅游温度
磷酸盐缓冲液的pH值要在高压灭菌后进行滴定,往往在高压后pH值会有所改变,所以高压后再调一次pH值更为准确。磷酸盐缓冲液一经使用保存期不要超过3周。当pH<5.8时,红细胞会产生自凝现象;当pH>7.8时,图形洗脱加快,易造成肉眼观察产生误差;p H=7.2时,红细胞沉降最充分,图形最清晰。
当滴注 1%红细胞悬液时,应经常摇晃红细胞悬液,使红细胞均匀地分布在磷酸缓冲液中,以防止红细胞下降。
反应时间及温度
加入鸡红血球之后,反应板在室温(20~25℃)静置30~40min,对照孔血球下沉于孔底,即可判定结果。若室温达不到实验要求,需相应调整反应时间。当环境温度低于4℃时,红细胞发生自凝;高于37℃时,会发生反应物分离和红细胞溶血。
公司正在出售的产品:
| Recombnant Human EPT1 proten | 磷酸化腺苷单磷酸活化蛋白激酶α1封闭多肽 |
| G蛋白转录因子α2/Gα t2封闭多肽 | TUSC2 Antibody Blocking Peptide |
| 肌醇磷酸酶1封闭多肽 | EGFRvIII Antibody Blocking Peptide |
| 色素上皮源性因子封闭多肽 | TSN Antibody Blocking Peptide |
| NK细胞受体BY55封闭多肽 | SGSM1 Antibody Blocking Peptide |
| 多药耐药相关蛋白4封闭多肽 | FOXD3 Antibody Blocking Peptide |
| 20号染色体开放阅读框194封闭多肽 | SLC38A5 Antibody Blocking Peptide |
| 金属蛋白酶组织抑制因子-2封闭多肽 | 免疫球蛋白G Fc段受体Ⅱ封闭多肽 |
| 血小板源性生长因子A相关蛋白2封闭多肽 | TIMP-2 Antibody Blocking Peptide |
| 表皮生长因子受体III型突变体封闭多肽 | C20orf194 Antibody Blocking Peptide |
| 小G蛋白信号调节蛋白1封闭多肽 | MRP4 Antibody Blocking Peptide |
| TSN蛋白封闭多肽 | CD160 Antibody Blocking Peptide |
| 叉头蛋白D3封闭多肽 | 1-Decanoyl-rac-glycerolSERPINF1 Antibody Blocking Peptide |
| 溶质载体转运蛋白家族38成员A5封闭多肽 | MIN1 Antibody Blocking Peptide |
| phospho-PRKAA1 (Ser496+Ser502) Antibody Blocking Peptide | GNAT2 Antibody Blocking Peptide |
1.本蛋白酶抑制剂混合物为100×的储存液,使用时按照1:100的比例加入到裂解液中(例如,1ml裂解液中加入10μl蛋白酶抑制剂混合物),混匀后即可使用。根据需要,0.5M的EDTA也按照1:100的比例加入到裂解液中(如用于检测金属蛋白酶活性,则不宜添加EDTA)。含有蛋白酶抑制剂混合物的裂解液宜现用现配,不宜配制后冻存待后续使用。
2. 待所需的抑制剂添加完毕混匀后,就可以开始进行哺乳动物组织的裂解和蛋白提取。
风险提示:丁香通仅作为第三方平台,为商家信息发布提供平台空间。用户咨询产品时请注意保护个人信息及财产安全,合理判断,谨慎选购商品,商家和用户对交易行为负责。对于医疗器械类产品,请先查证核实企业经营资质和医疗器械产品注册证情况。
技术资料暂无技术资料 索取技术资料
1-Decanoyl-rac-glycerol
¥600 - 3200








