万千商家帮你免费找货
0 人在求购买到急需产品
- 详细信息
- 技术资料
- 库存:
55
- 英文名:
8-CPT-2Me-cAMP, sodium salt
- CAS号:
634207-53-7
- 供应商:
上海莼试
- 保存条件:
Desiccate at -20°C
- 规格:
500ug 1mg 5mg
本产品仅供科学实验研究使用! 不能用于临床或动物诊断!
化学性质:

8-CPT-2Me-cAMP, sodium salt规格:500ug 1mg 5mg
CAS:634207-53-7
别名:N/A
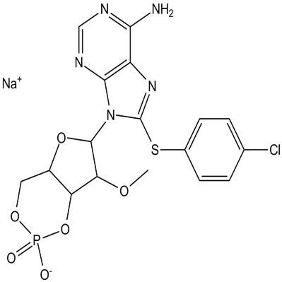
化学名:sodium (4aR,6R,7R,7aR)-6-(6-amino-8-((4-chlorophenyl)thio)-9H-purin-9-yl)-7-methoxytetrahydro-4H-furo[3,2-d][1,3,2]dioxaphosphinin-2-olate 2-oxide
分子式:C17H16ClN5O6PS.Na

分子量:507.82
溶解度:0.5mg/mL in ethanol, 25mg/mL in DMSO, 30mg/mL in DMF
储存条件:Desiccate at -20°C
General tips:For obtaining a higher solubility , please warm the tube at 37 ℃ and shake it in the ultrasonic bath for a while.
Shipping Condition: Evaluation sample solution : ship with blue ice All other available size: ship with RT , or blue ice upon request
产品描述:

8-CPT-2Me-cAMP, sodium salt is a selective agonist of EPAC [1].Cyclic AMP guanine nucleotide exchange factors (EPACs) are intracellular sensors for cAMP and function as nucleotide exchange factors for the Ras GTPase homologues Rap1 and Rap2 [1].8-CPT-2Me-cAMP, sodium salt is a selective EPAC agonist. 8-CPT-2Me-cAMP increased Rap1 activation by EPAC1. Meantime, light chain 2 (LC2) of the microtubule-associated protein MAP1A increased this response. In LC2- and EPAC1-transfected cells, 8-CPT-2Me-cAMP increased cell adhesion to laminin [1]. In Jurkat Tcells, 8-CPT-2Me-cAMP (100 μM) activated Rap1, which was not affected by H-89, a PKA inhibitor [2]. In 1-LN prostate cancer cells, 8-CPT-2Me-cAMP increased Epac1, p-AktS473 and p-AktT308 in a dose-dependent way. 8-CPT-2Me-cAMP increased p-AktS473 and AktS473 kinase activity by two-three fold. Also, 8-CPT-2Me-cAMP activated mTORC1 and mTORC2 [3].In human prostate cancer cells, 8-CPT-2Me-cAMP increased the levels of p-cPLA2S505, COX-2 and PGE2. However, COX-2, EP4 or mTOR inhibitors inhibited this effect and reduced protein and DNA synthesis induced by Epac1. These results suggested Epac1 was a pro-inflammatory modulator and promoted cell proliferation [4].
使用方法:

1. 常用筛选浓度
注意:用来筛选稳转株的工作浓度需要根据细胞类型,培养基,生长条件和细胞代谢率而变化,推荐使用浓度为50-1000μg/mL。对于第一次使用的实验体系建议通过建立杀灭曲线(kill curve),即剂量反应性曲线,来确定最佳筛选浓度。
一般而言,哺乳动物细胞50-500μg/mL;细菌/植物细胞20-200μg/mL;真菌300-1000μg/mL。
2. 杀灭曲线的建立
注意:为了筛选得到稳定表达目的蛋白的细胞株,需要确定能够杀死未转染宿主细胞的抗生素浓度,可通过建立杀灭曲线(剂量反应曲线)来实现,至少选择5个浓度。
1) 第一天:未转化的细胞按照20-25%的细胞密度铺在合适的培养板上,37℃,CO2培养过夜;注:对于需要更高密度来检测活力的细胞,可增加接种量。
2) 根据细胞类型,设定合适范围内的浓度梯度。以哺乳动物细胞为例,可设定50,100,250,500,750,1000μg/mL。先用去离子水或者PBS buffer按照1:10的比例将母液稀释到5 mg/ml,然后按照下表稀释到相应浓度的工作液。
3) 第二天:替换旧的培养基,换用新鲜配制的含有相应浓度药物的培养基。每个浓度做三个平行孔。
4) 接下来每3-4天更换新的含药物培养基。
5) 按照固定的周期(如每2天)进行活细胞计数来确定阻止未转染细胞生长的恰当浓度。选择在理想的天数(通常是7-10天)内能够杀死绝大多数细胞的浓度为稳定转染细胞筛选用的工作浓度。
3. 稳定转染细胞的筛选
1) 转染48h后,用含有适当浓度的潮霉素B筛选培养基来传代细胞(直接传代或者稀释后传代)。
注意:细胞处于活跃分裂状态时抗生素的杀伤。则当细胞过于稠密,其效率会降低。为了得到较好的筛选效果,最好将细胞稀释至丰度不超过25%
2) 每隔3-4天更换含有药物的筛选培养液。
3) 筛选7天后观察并评估细胞克隆(集落)的形成情况。集落的形成可能还需要一周或者更多的时间,这取决于宿主细胞类型,转染,以及筛选效果。
4) 挑取并转移5-10个抗性克隆于35mm细胞培养板,继续用含药物的筛选培养液维持培养7天。
5) 之后更换正常培养基培养即可。
公司正在出售的产品:

蛋白酶抑制剂混合物实验步骤:

(1)实验开始前将RNA提取液于65℃水浴锅中预热,离心管中加入ME(巯基乙醇),(10mL加80ul,50mL中加入300ul)
(2)取约0.8g菌丝体(液体培养获得的菌丝用真空抽滤即可!固体培养就更好说了),在液氮中迅速磨成精细粉末,装入50mL离心管,按1g材料8mL的量加入预热的RNA提取液,颠倒混匀
(3)65℃水浴3-10 min,期间混匀2-3次
(4)加入等体积的酚(注意是酸酚pH4.5)::yi戊醇(25:24:1)抽提(10,000rpm,4℃,5 min)
(5)取上清,等体积的yi戊醇(24:1)抽提(10,000rpm,4℃,5 min)
(6)加入1/4V体积10M LiCl溶液,4℃放置6h以上(或过夜)
(7)10,000rpm,4℃离心20min
(8)弃上清,用500ul SSTE溶解沉淀
(9)酚::yi戊醇(25:24:1)抽提两次,:yi戊醇(24:1)抽提1次(10,000rpm,4℃,5min)
(10)加2V体积的无水乙醇,在-70℃冰箱沉淀30min以上
(11)12,000rpm,4℃离心20 min
(12)弃上清.沉淀用70%酒精漂洗一次,干燥
(13)加200ul的DEPC处理水溶解
(14)用非变性琼脂糖凝胶电泳和紫外分光光度计扫描检测RNA的质量(在抽提过程中,若蛋白质含量或其它的杂质还较多,可以增加抽提次数)
| 产品名称 | 8-CPT-2Me-cAMP, sodium salt | 产品货号 | CS-01Y74426 |
| 规格 | 500ug 1mg 5mg | CAS号 | 634207-53-7 |
| 含量 | >98.00% | 分子式 | C17H16ClN5O6PS.Na |
| 分子量 | 507.82 | 用途 | 仅供科研研究使用 |

8-CPT-2Me-cAMP, sodium salt规格:500ug 1mg 5mg
CAS:634207-53-7
别名:N/A
化学名:sodium (4aR,6R,7R,7aR)-6-(6-amino-8-((4-chlorophenyl)thio)-9H-purin-9-yl)-7-methoxytetrahydro-4H-furo[3,2-d][1,3,2]dioxaphosphinin-2-olate 2-oxide
分子式:C17H16ClN5O6PS.Na

分子量:507.82
溶解度:0.5mg/mL in ethanol, 25mg/mL in DMSO, 30mg/mL in DMF
储存条件:Desiccate at -20°C
General tips:For obtaining a higher solubility , please warm the tube at 37 ℃ and shake it in the ultrasonic bath for a while.
Shipping Condition: Evaluation sample solution : ship with blue ice All other available size: ship with RT , or blue ice upon request
产品描述:

8-CPT-2Me-cAMP, sodium salt is a selective agonist of EPAC [1].Cyclic AMP guanine nucleotide exchange factors (EPACs) are intracellular sensors for cAMP and function as nucleotide exchange factors for the Ras GTPase homologues Rap1 and Rap2 [1].8-CPT-2Me-cAMP, sodium salt is a selective EPAC agonist. 8-CPT-2Me-cAMP increased Rap1 activation by EPAC1. Meantime, light chain 2 (LC2) of the microtubule-associated protein MAP1A increased this response. In LC2- and EPAC1-transfected cells, 8-CPT-2Me-cAMP increased cell adhesion to laminin [1]. In Jurkat Tcells, 8-CPT-2Me-cAMP (100 μM) activated Rap1, which was not affected by H-89, a PKA inhibitor [2]. In 1-LN prostate cancer cells, 8-CPT-2Me-cAMP increased Epac1, p-AktS473 and p-AktT308 in a dose-dependent way. 8-CPT-2Me-cAMP increased p-AktS473 and AktS473 kinase activity by two-three fold. Also, 8-CPT-2Me-cAMP activated mTORC1 and mTORC2 [3].In human prostate cancer cells, 8-CPT-2Me-cAMP increased the levels of p-cPLA2S505, COX-2 and PGE2. However, COX-2, EP4 or mTOR inhibitors inhibited this effect and reduced protein and DNA synthesis induced by Epac1. These results suggested Epac1 was a pro-inflammatory modulator and promoted cell proliferation [4].
使用方法:

1. 常用筛选浓度
注意:用来筛选稳转株的工作浓度需要根据细胞类型,培养基,生长条件和细胞代谢率而变化,推荐使用浓度为50-1000μg/mL。对于第一次使用的实验体系建议通过建立杀灭曲线(kill curve),即剂量反应性曲线,来确定最佳筛选浓度。
一般而言,哺乳动物细胞50-500μg/mL;细菌/植物细胞20-200μg/mL;真菌300-1000μg/mL。
2. 杀灭曲线的建立
注意:为了筛选得到稳定表达目的蛋白的细胞株,需要确定能够杀死未转染宿主细胞的抗生素浓度,可通过建立杀灭曲线(剂量反应曲线)来实现,至少选择5个浓度。
1) 第一天:未转化的细胞按照20-25%的细胞密度铺在合适的培养板上,37℃,CO2培养过夜;注:对于需要更高密度来检测活力的细胞,可增加接种量。
2) 根据细胞类型,设定合适范围内的浓度梯度。以哺乳动物细胞为例,可设定50,100,250,500,750,1000μg/mL。先用去离子水或者PBS buffer按照1:10的比例将母液稀释到5 mg/ml,然后按照下表稀释到相应浓度的工作液。
3) 第二天:替换旧的培养基,换用新鲜配制的含有相应浓度药物的培养基。每个浓度做三个平行孔。
4) 接下来每3-4天更换新的含药物培养基。
5) 按照固定的周期(如每2天)进行活细胞计数来确定阻止未转染细胞生长的恰当浓度。选择在理想的天数(通常是7-10天)内能够杀死绝大多数细胞的浓度为稳定转染细胞筛选用的工作浓度。
3. 稳定转染细胞的筛选
1) 转染48h后,用含有适当浓度的潮霉素B筛选培养基来传代细胞(直接传代或者稀释后传代)。
注意:细胞处于活跃分裂状态时抗生素的杀伤。则当细胞过于稠密,其效率会降低。为了得到较好的筛选效果,最好将细胞稀释至丰度不超过25%
2) 每隔3-4天更换含有药物的筛选培养液。
3) 筛选7天后观察并评估细胞克隆(集落)的形成情况。集落的形成可能还需要一周或者更多的时间,这取决于宿主细胞类型,转染,以及筛选效果。
4) 挑取并转移5-10个抗性克隆于35mm细胞培养板,继续用含药物的筛选培养液维持培养7天。
5) 之后更换正常培养基培养即可。
公司正在出售的产品:

| Recombnant Human CDK2, N-H | 干扰素omega 1蛋白封闭多肽 |
| 半胱胺酸蛋白酶-10封闭多肽 | SIN3B Antibody Blocking Peptide |
| 钾离子通道KIR2.3封闭多肽 | NBPF16 Antibody Blocking Peptide |
| 磷酸化红细胞膜带4.9蛋白封闭多肽 | eIF4H Antibody Blocking Peptide |
| FAM118B蛋白封闭多肽 | SEMA6D Antibody Blocking Peptide |
| 异戊烯焦磷酸1封闭多肽 | FLRT1 Antibody Blocking Peptide |
| 甘氨酸受体α4封闭多肽 | Recombinant human Angiopoietin-like 3 protein, C-His-Avi (HEK293) / Biotin |
| 抑癌基因DP2封闭多肽 | 蛋白磷酸酶1调节亚基抑制蛋白16B封闭多肽 |
| 转录抑制蛋白Sin3b封闭多肽 | BP2 Antibody Blocking Peptide |
| NBPF16蛋白封闭多肽 | GLRA4 Antibody Blocking Peptide |
| 轴突导向因子SEMA6D封闭多肽 | IDI1 Antibody Blocking Peptide |
| eIF4H蛋白封闭多肽 | FAM118B Antibody Blocking Peptide |
| 富含亮氨酸跨膜纤连蛋白1封闭多肽 | 8-CPT-2Me-cAMP, sodium saltphospho-Dematin (Ser403) Antibody Blocking Peptide |
| 生物素标记重组人Angiopoietin-like 3蛋白 | KCNJ4 Antibody Blocking Peptide |
| IFNW1 Antibody Blocking Peptide | Caspase-10 subunit p23/17 Antibody Blocking Peptide |
蛋白酶抑制剂混合物实验步骤:

(1)实验开始前将RNA提取液于65℃水浴锅中预热,离心管中加入ME(巯基乙醇),(10mL加80ul,50mL中加入300ul)
(2)取约0.8g菌丝体(液体培养获得的菌丝用真空抽滤即可!固体培养就更好说了),在液氮中迅速磨成精细粉末,装入50mL离心管,按1g材料8mL的量加入预热的RNA提取液,颠倒混匀
(3)65℃水浴3-10 min,期间混匀2-3次
(4)加入等体积的酚(注意是酸酚pH4.5)::yi戊醇(25:24:1)抽提(10,000rpm,4℃,5 min)
(5)取上清,等体积的yi戊醇(24:1)抽提(10,000rpm,4℃,5 min)
(6)加入1/4V体积10M LiCl溶液,4℃放置6h以上(或过夜)
(7)10,000rpm,4℃离心20min
(8)弃上清,用500ul SSTE溶解沉淀
(9)酚::yi戊醇(25:24:1)抽提两次,:yi戊醇(24:1)抽提1次(10,000rpm,4℃,5min)
(10)加2V体积的无水乙醇,在-70℃冰箱沉淀30min以上
(11)12,000rpm,4℃离心20 min
(12)弃上清.沉淀用70%酒精漂洗一次,干燥
(13)加200ul的DEPC处理水溶解
(14)用非变性琼脂糖凝胶电泳和紫外分光光度计扫描检测RNA的质量(在抽提过程中,若蛋白质含量或其它的杂质还较多,可以增加抽提次数)
风险提示:丁香通仅作为第三方平台,为商家信息发布提供平台空间。用户咨询产品时请注意保护个人信息及财产安全,合理判断,谨慎选购商品,商家和用户对交易行为负责。对于医疗器械类产品,请先查证核实企业经营资质和医疗器械产品注册证情况。
技术资料暂无技术资料 索取技术资料
8-CPT-2Me-cAMP, sodium salt
¥600 - 3200








