万千商家帮你免费找货
0 人在求购买到急需产品
- 详细信息
- 技术资料
- 库存:
43
- 英文名:
Rivenprost
- CAS号:
256382-08-8
- 供应商:
上海莼试
- 保存条件:
Store at -20°C
- 规格:
500μg 1mg 5mg
商品属性:
产品描述:
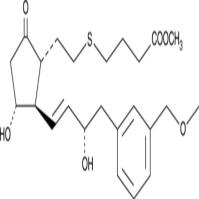
分子式:C24H34O6S

分子量:450.6
溶解度:30mg/ml in ethanol, or in DMF, 20mg/mL in DMSO
储存条件:Store at -20°C
General tips:For obtaining a higher solubility , please warm the tube at 37 ℃ and shake it in the ultrasonic bath for a while.
Shipping Condition:Evaluation sample solution : ship with blue ice All other available size: ship with RT , or blue ice upon request
Prostaglandin E2 activates four distinct G protein-coupled receptors, EP1-4. Rivenprost is a potent and selective agonist for the EP4 receptor (Ki = 0.7, 56, 620, and >10,000 nM for EP4, EP3, EP2, and EP1, respectively). It has been used to promote EP4-mediated bone formation, prevent bone loss related to osteoporosis, drive osteoblast differentiation, and stabilize bone implants.[1][2][3][4][5] Rivenprost has also been used to support wound healing.[6]
注意事项:
抗逆滴加序列
每次向板内滴加抗原时,移液器滴头要与平面45度悬空,不要触碰到孔内的液体,由后向前依次滴加(即浓度由低往高滴加)。
抗感染反应期
抗原抗体在室温20~25℃下,必须反应30min以上,若环境温度低于室温,可将微量反应板置于恒温培养箱中,使二者充分反应。
旅游温度
磷酸盐缓冲液的pH值要在高压灭菌后进行滴定,往往在高压后pH值会有所改变,所以高压后再调一次pH值更为准确。磷酸盐缓冲液一经使用保存期不要超过3周。当pH<5.8时,红细胞会产生自凝现象;当pH>7.8时,图形洗脱加快,易造成肉眼观察产生误差;p H=7.2时,红细胞沉降最充分,图形最清晰。
当滴注 1%红细胞悬液时,应经常摇晃红细胞悬液,使红细胞均匀地分布在磷酸缓冲液中,以防止红细胞下降。
反应时间及温度
加入鸡红血球之后,反应板在室温(20~25℃)静置30~40min,对照孔血球下沉于孔底,即可判定结果。若室温达不到实验要求,需相应调整反应时间。当环境温度低于4℃时,红细胞发生自凝;高于37℃时,会发生反应物分离和红细胞溶血。
使用方法:
1.本蛋白酶抑制剂混合物为100×的储存液,使用时按照1:100的比例加入到裂解液中(例如,1ml裂解液中加入10μl蛋白酶抑制剂混合物),混匀后即可使用。根据需要,0.5M的EDTA也按照1:100的比例加入到裂解液中(如用于检测金属蛋白酶活性,则不宜添加EDTA)。含有蛋白酶抑制剂混合物的裂解液宜现用现配,不宜配制后冻存待后续使用。
2. 待所需的抑制剂添加完毕混匀后,就可以开始进行哺乳动物组织的裂解和蛋白提取。
公司正在出售的产品:
| 货号 | CS-01Y68531 | 规格 | 500μg 1mg 5mg |
| CAS号 | 256382-08-8 | 分子量 | 450.6 |
| 含量 | >98.00% | 别名 | ONO-4819 |
| 分子式 | C24H34O6S | 化学名 | 4-[[2R-[3R-hydroxy-2-[3S-hydroxy-4-[3-(methoxymethyl)phenyl]-1R-buten-1E-yl]-5-oxocyclopentyl]ethyl]thio]-butanoic acid, methyl ester |
| 产地 | 国产 | 用途 | 仅供科研研究实验 |
分子式:C24H34O6S

分子量:450.6
溶解度:30mg/ml in ethanol, or in DMF, 20mg/mL in DMSO
储存条件:Store at -20°C
General tips:For obtaining a higher solubility , please warm the tube at 37 ℃ and shake it in the ultrasonic bath for a while.
Shipping Condition:Evaluation sample solution : ship with blue ice All other available size: ship with RT , or blue ice upon request
Prostaglandin E2 activates four distinct G protein-coupled receptors, EP1-4. Rivenprost is a potent and selective agonist for the EP4 receptor (Ki = 0.7, 56, 620, and >10,000 nM for EP4, EP3, EP2, and EP1, respectively). It has been used to promote EP4-mediated bone formation, prevent bone loss related to osteoporosis, drive osteoblast differentiation, and stabilize bone implants.[1][2][3][4][5] Rivenprost has also been used to support wound healing.[6]
注意事项:
抗逆滴加序列
每次向板内滴加抗原时,移液器滴头要与平面45度悬空,不要触碰到孔内的液体,由后向前依次滴加(即浓度由低往高滴加)。
抗感染反应期
抗原抗体在室温20~25℃下,必须反应30min以上,若环境温度低于室温,可将微量反应板置于恒温培养箱中,使二者充分反应。
旅游温度
磷酸盐缓冲液的pH值要在高压灭菌后进行滴定,往往在高压后pH值会有所改变,所以高压后再调一次pH值更为准确。磷酸盐缓冲液一经使用保存期不要超过3周。当pH<5.8时,红细胞会产生自凝现象;当pH>7.8时,图形洗脱加快,易造成肉眼观察产生误差;p H=7.2时,红细胞沉降最充分,图形最清晰。
当滴注 1%红细胞悬液时,应经常摇晃红细胞悬液,使红细胞均匀地分布在磷酸缓冲液中,以防止红细胞下降。
反应时间及温度
加入鸡红血球之后,反应板在室温(20~25℃)静置30~40min,对照孔血球下沉于孔底,即可判定结果。若室温达不到实验要求,需相应调整反应时间。当环境温度低于4℃时,红细胞发生自凝;高于37℃时,会发生反应物分离和红细胞溶血。
使用方法:
1.本蛋白酶抑制剂混合物为100×的储存液,使用时按照1:100的比例加入到裂解液中(例如,1ml裂解液中加入10μl蛋白酶抑制剂混合物),混匀后即可使用。根据需要,0.5M的EDTA也按照1:100的比例加入到裂解液中(如用于检测金属蛋白酶活性,则不宜添加EDTA)。含有蛋白酶抑制剂混合物的裂解液宜现用现配,不宜配制后冻存待后续使用。
2. 待所需的抑制剂添加完毕混匀后,就可以开始进行哺乳动物组织的裂解和蛋白提取。
公司正在出售的产品:
| Recombnant Human L17A, N-H | LRP4 Antbody Blockng Peptde |
| CTP1 Antbody Blockng Peptde | 透明质酸酶/玻璃酸酶封闭多肽 |
| CD274 Antbody Blockng Peptde | RFTN2蛋白封闭多肽 |
| phopho-PRKCQ (er695) Antbody Blockng Peptde | MYCNO蛋白封闭多肽 |
| PLEKHA5 Antbody Blockng Peptde | 锌指蛋白664封闭多肽 |
| P1R17 Antbody Blockng Peptde | UNC13D蛋白封闭多肽 |
| Avdn / AP | Wnt1诱导信号通路蛋白2封闭多肽 |
| Bovne Thyroglobuln | RNA结合蛋白12封闭多肽 |
| ZHX1 Antbody Blockng Peptde | 肌萎缩侧索硬化症相关蛋白3封闭多肽 |
| RNF15 Antbody Blockng Peptde | 磷酸化有丝分裂原和应激活化型蛋白激酶1封闭多肽 |
| phopho-HRH1(er398) Antbody Blockng Peptde | E1A样分化抑制因子3封闭多肽 |
| MC3R Antbody Blockng Peptde | 泛素结合酶E2蛋白A封闭多肽 |
| ACVRL1 Antbody Blockng Peptde | RivenprostXAB2蛋白封闭多肽 |
| ACVR2B Antbody Blockng Peptde | Bax封闭多肽 |
| 叉头蛋白P3封闭多肽 | T淋巴细胞CD1D封闭多肽 |
风险提示:丁香通仅作为第三方平台,为商家信息发布提供平台空间。用户咨询产品时请注意保护个人信息及财产安全,合理判断,谨慎选购商品,商家和用户对交易行为负责。对于医疗器械类产品,请先查证核实企业经营资质和医疗器械产品注册证情况。
技术资料暂无技术资料 索取技术资料
Rivenprost
¥600 - 3200









