万千商家帮你免费找货
0 人在求购买到急需产品
- 详细信息
- 技术资料
- 库存:
27
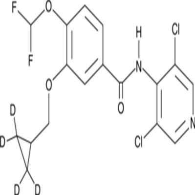
- 英文名:
Roflumilast-d4
- CAS号:
1398065-69-4
- 供应商:
上海莼试
- 保存条件:
Store at -20°C
- 规格:
500 μg 1 mg
商品属性:
产品描述:
分子式:C17H10Cl2D4F2N2O3

分子量:407.2
溶解度:DMF: 30 mg/ml,DMSO: 20 mg/ml,Ethanol: 10 mg/ml
储存条件:Store at -20°C
General tips:For obtaining a higher solubility , please warm the tube at 37 ℃ and shake it in the ultrasonic bath for a while.
Shipping Condition:Evaluation sample solution : ship with blue ice All other available size: ship with RT , or blue ice upon request
Roflumilast-d4 is intended for use as an internal standard for the quantification of roflumilast by GC- or LC-MS. Roflumilast is a potent, cell-permeable inhibitor of PDE4 (IC50 = <1 nM for both human PDE4B and PDE4D).1 It is selective for PDE4, with IC50 values against other PDE forms being greater than 10 μM.1.Card, G.L., England, B.P., Suzuki, Y., et al.Structural basis for the activity of drugs that inhibit phosphodiesterasesStructure12(12)2233-2247(2004)
注意事项:
抗逆滴加序列
每次向板内滴加抗原时,移液器滴头要与平面45度悬空,不要触碰到孔内的液体,由后向前依次滴加(即浓度由低往高滴加)。
抗感染反应期
抗原抗体在室温20~25℃下,必须反应30min以上,若环境温度低于室温,可将微量反应板置于恒温培养箱中,使二者充分反应。
旅游温度
磷酸盐缓冲液的pH值要在高压灭菌后进行滴定,往往在高压后pH值会有所改变,所以高压后再调一次pH值更为准确。磷酸盐缓冲液一经使用保存期不要超过3周。当pH<5.8时,红细胞会产生自凝现象;当pH>7.8时,图形洗脱加快,易造成肉眼观察产生误差;p H=7.2时,红细胞沉降最充分,图形最清晰。
当滴注 1%红细胞悬液时,应经常摇晃红细胞悬液,使红细胞均匀地分布在磷酸缓冲液中,以防止红细胞下降。
反应时间及温度
加入鸡红血球之后,反应板在室温(20~25℃)静置30~40min,对照孔血球下沉于孔底,即可判定结果。若室温达不到实验要求,需相应调整反应时间。当环境温度低于4℃时,红细胞发生自凝;高于37℃时,会发生反应物分离和红细胞溶血。
使用方法:
1.本蛋白酶抑制剂混合物为100×的储存液,使用时按照1:100的比例加入到裂解液中(例如,1ml裂解液中加入10μl蛋白酶抑制剂混合物),混匀后即可使用。根据需要,0.5M的EDTA也按照1:100的比例加入到裂解液中(如用于检测金属蛋白酶活性,则不宜添加EDTA)。含有蛋白酶抑制剂混合物的裂解液宜现用现配,不宜配制后冻存待后续使用。
2. 待所需的抑制剂添加完毕混匀后,就可以开始进行哺乳动物组织的裂解和蛋白提取。
公司正在出售的产品:
| 货号 | CS-01Y69175 | 规格 | 500 μg 1 mg |
| CAS号 | 1398065-69-4 | 分子量 | 407.2 |
| 含量 | >99.00% | 别名 | N/A |
| 分子式 | C17H10Cl2D4F2N2O3 | 化学名 | N/A |
| 产地 | 国产 | 用途 | 仅供科研研究实验 |
分子式:C17H10Cl2D4F2N2O3

分子量:407.2
溶解度:DMF: 30 mg/ml,DMSO: 20 mg/ml,Ethanol: 10 mg/ml
储存条件:Store at -20°C
General tips:For obtaining a higher solubility , please warm the tube at 37 ℃ and shake it in the ultrasonic bath for a while.
Shipping Condition:Evaluation sample solution : ship with blue ice All other available size: ship with RT , or blue ice upon request
Roflumilast-d4 is intended for use as an internal standard for the quantification of roflumilast by GC- or LC-MS. Roflumilast is a potent, cell-permeable inhibitor of PDE4 (IC50 = <1 nM for both human PDE4B and PDE4D).1 It is selective for PDE4, with IC50 values against other PDE forms being greater than 10 μM.1.Card, G.L., England, B.P., Suzuki, Y., et al.Structural basis for the activity of drugs that inhibit phosphodiesterasesStructure12(12)2233-2247(2004)
注意事项:
抗逆滴加序列
每次向板内滴加抗原时,移液器滴头要与平面45度悬空,不要触碰到孔内的液体,由后向前依次滴加(即浓度由低往高滴加)。
抗感染反应期
抗原抗体在室温20~25℃下,必须反应30min以上,若环境温度低于室温,可将微量反应板置于恒温培养箱中,使二者充分反应。
旅游温度
磷酸盐缓冲液的pH值要在高压灭菌后进行滴定,往往在高压后pH值会有所改变,所以高压后再调一次pH值更为准确。磷酸盐缓冲液一经使用保存期不要超过3周。当pH<5.8时,红细胞会产生自凝现象;当pH>7.8时,图形洗脱加快,易造成肉眼观察产生误差;p H=7.2时,红细胞沉降最充分,图形最清晰。
当滴注 1%红细胞悬液时,应经常摇晃红细胞悬液,使红细胞均匀地分布在磷酸缓冲液中,以防止红细胞下降。
反应时间及温度
加入鸡红血球之后,反应板在室温(20~25℃)静置30~40min,对照孔血球下沉于孔底,即可判定结果。若室温达不到实验要求,需相应调整反应时间。当环境温度低于4℃时,红细胞发生自凝;高于37℃时,会发生反应物分离和红细胞溶血。
使用方法:
1.本蛋白酶抑制剂混合物为100×的储存液,使用时按照1:100的比例加入到裂解液中(例如,1ml裂解液中加入10μl蛋白酶抑制剂混合物),混匀后即可使用。根据需要,0.5M的EDTA也按照1:100的比例加入到裂解液中(如用于检测金属蛋白酶活性,则不宜添加EDTA)。含有蛋白酶抑制剂混合物的裂解液宜现用现配,不宜配制后冻存待后续使用。
2. 待所需的抑制剂添加完毕混匀后,就可以开始进行哺乳动物组织的裂解和蛋白提取。
公司正在出售的产品:
| Recombnant Moue Ramp2 proten ,C-H Tag | TPRX1 Antibody Blocking Peptide |
| Recombinant Human CCM2 | Recombinant Mannosidase Alpha Class 2B Member 1 (MAN2B1) |
| PRAG1 Antibody Blocking Peptide | Recombinant IL2 Inducible T-Cell Kinase (ITK) |
| IFNL2 Antibody Blocking Peptide | Recombinant Iduronidase Alpha L (IDUa) |
| MRPS36 Antibody Blocking Peptide | Recombinant Exosome Component 2 (EXOSC2) |
| ATAT1 Antibody Blocking Peptide | Recombinant Isocitrate Dehydrogenase 2, mitochondrial (IDH2) |
| MRGPRG Antibody Blocking Peptide | Recombinant Heparan Sulfate-6-O-Sulfotransferase 3 (HS6ST3) |
| Zona pellucida glycoprotein 2 Antibody Blocking Peptide | 肌原调节蛋白封闭多肽 |
| IYD Antibody Blocking Peptide | Recombinant Mannosidase Alpha Class 1A Member 1 (MAN1A1) |
| ZNF114 Antibody Blocking Peptide | Recombinant Malate Dehydrogenase 2 (MDH2) |
| KMO Antibody Blocking Peptide | Recombinant Maternal Embryonic Leucine Zier Kinase (MELK) |
| phospho-IRS1 (Tyr895) Antibody Blocking Peptide | Recombinant Mannose Phosphate Isomerase (MPI) |
| LONP2 Antibody Blocking Peptide | Roflumilast-d4Recombinant Mitochondrial Methionyl tRNA Formyltransferase (MTFMT) |
| phospho-Met (Tyr1356) Antibody Blocking Peptide | Recombinant Serine Palmitoyltransferase, Long Chain Base Subunit 3 (SPTLC3) |
| IL17RB Antibody Blocking Peptide | Recombinant Serine/Threonine Kinase 11 (STK11) |
风险提示:丁香通仅作为第三方平台,为商家信息发布提供平台空间。用户咨询产品时请注意保护个人信息及财产安全,合理判断,谨慎选购商品,商家和用户对交易行为负责。对于医疗器械类产品,请先查证核实企业经营资质和医疗器械产品注册证情况。
技术资料暂无技术资料 索取技术资料
Roflumilast-d4
¥600 - 3200








