万千商家帮你免费找货
0 人在求购买到急需产品
- 详细信息
- 技术资料
- 库存:
55
- 英文名:
DA-3003-2
- CAS号:
383907-47-9
- 供应商:
上海莼试
- 保存条件:
Store at -20°C
- 规格:
1mg 5mg 10mg 25mg
商品属性:
产品描述:
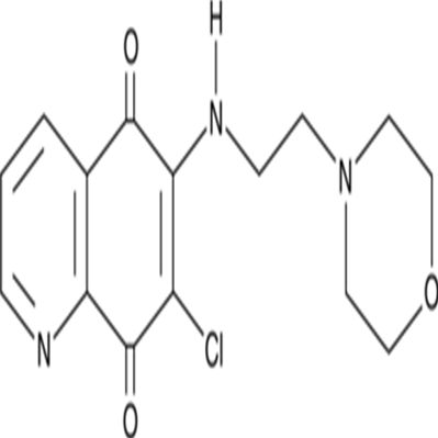
分子式:C15H16ClN3O3

分子量:321.8
溶解度:DMF: 30 mg/ml,DMSO: 20 mg/ml
储存条件:Store at -20°C
General tips:For obtaining a higher solubility , please warm the tube at 37 ℃ and shake it in the ultrasonic bath for a while.
Shipping Condition:Evaluation sample solution : ship with blue ice All other available size: ship with RT , or blue ice upon request
Cdc25 dual-specific protein tyrosine phosphatases are important for cell cycle progression and often overexpressed in cancers. Through the removal of inhibitory phosphates, they function to catalyze the activation of cyclin-Cdk complexes. DA-3003-2 is a Cdc25 phosphatase inhibitor (IC50 = 0.82 µM for human recombinant Cdc25B) that demonstrates antiproliferative activity. At 20 µM, it has been shown to arrest asynchronous PC-3 prostate cancer cells in G2/M phase.
注意事项:
抗逆滴加序列
每次向板内滴加抗原时,移液器滴头要与平面45度悬空,不要触碰到孔内的液体,由后向前依次滴加(即浓度由低往高滴加)。
抗感染反应期
抗原抗体在室温20~25℃下,必须反应30min以上,若环境温度低于室温,可将微量反应板置于恒温培养箱中,使二者充分反应。
旅游温度
磷酸盐缓冲液的pH值要在高压灭菌后进行滴定,往往在高压后pH值会有所改变,所以高压后再调一次pH值更为准确。磷酸盐缓冲液一经使用保存期不要超过3周。当pH<5.8时,红细胞会产生自凝现象;当pH>7.8时,图形洗脱加快,易造成肉眼观察产生误差;p H=7.2时,红细胞沉降最充分,图形最清晰。
当滴注 1%红细胞悬液时,应经常摇晃红细胞悬液,使红细胞均匀地分布在磷酸缓冲液中,以防止红细胞下降。
反应时间及温度
加入鸡红血球之后,反应板在室温(20~25℃)静置30~40min,对照孔血球下沉于孔底,即可判定结果。若室温达不到实验要求,需相应调整反应时间。当环境温度低于4℃时,红细胞发生自凝;高于37℃时,会发生反应物分离和红细胞溶血。
使用方法:
1.本蛋白酶抑制剂混合物为100×的储存液,使用时按照1:100的比例加入到裂解液中(例如,1ml裂解液中加入10μl蛋白酶抑制剂混合物),混匀后即可使用。根据需要,0.5M的EDTA也按照1:100的比例加入到裂解液中(如用于检测金属蛋白酶活性,则不宜添加EDTA)。含有蛋白酶抑制剂混合物的裂解液宜现用现配,不宜配制后冻存待后续使用。
2. 待所需的抑制剂添加完毕混匀后,就可以开始进行哺乳动物组织的裂解和蛋白提取。
公司正在出售的产品:
| 货号 | CS-01Y68013 | 规格 | 1mg 5mg 10mg 25mg |
| CAS号 | 383907-47-9 | 分子量 | 321.8 |
| 含量 | >98.00% | 别名 | N/A |
| 分子式 | C15H16ClN3O3 | 化学名 | N/A |
| 产地 | 国产 | 用途 | 仅供科研研究实验 |
分子式:C15H16ClN3O3

分子量:321.8
溶解度:DMF: 30 mg/ml,DMSO: 20 mg/ml
储存条件:Store at -20°C
General tips:For obtaining a higher solubility , please warm the tube at 37 ℃ and shake it in the ultrasonic bath for a while.
Shipping Condition:Evaluation sample solution : ship with blue ice All other available size: ship with RT , or blue ice upon request
Cdc25 dual-specific protein tyrosine phosphatases are important for cell cycle progression and often overexpressed in cancers. Through the removal of inhibitory phosphates, they function to catalyze the activation of cyclin-Cdk complexes. DA-3003-2 is a Cdc25 phosphatase inhibitor (IC50 = 0.82 µM for human recombinant Cdc25B) that demonstrates antiproliferative activity. At 20 µM, it has been shown to arrest asynchronous PC-3 prostate cancer cells in G2/M phase.
注意事项:
抗逆滴加序列
每次向板内滴加抗原时,移液器滴头要与平面45度悬空,不要触碰到孔内的液体,由后向前依次滴加(即浓度由低往高滴加)。
抗感染反应期
抗原抗体在室温20~25℃下,必须反应30min以上,若环境温度低于室温,可将微量反应板置于恒温培养箱中,使二者充分反应。
旅游温度
磷酸盐缓冲液的pH值要在高压灭菌后进行滴定,往往在高压后pH值会有所改变,所以高压后再调一次pH值更为准确。磷酸盐缓冲液一经使用保存期不要超过3周。当pH<5.8时,红细胞会产生自凝现象;当pH>7.8时,图形洗脱加快,易造成肉眼观察产生误差;p H=7.2时,红细胞沉降最充分,图形最清晰。
当滴注 1%红细胞悬液时,应经常摇晃红细胞悬液,使红细胞均匀地分布在磷酸缓冲液中,以防止红细胞下降。
反应时间及温度
加入鸡红血球之后,反应板在室温(20~25℃)静置30~40min,对照孔血球下沉于孔底,即可判定结果。若室温达不到实验要求,需相应调整反应时间。当环境温度低于4℃时,红细胞发生自凝;高于37℃时,会发生反应物分离和红细胞溶血。
使用方法:
1.本蛋白酶抑制剂混合物为100×的储存液,使用时按照1:100的比例加入到裂解液中(例如,1ml裂解液中加入10μl蛋白酶抑制剂混合物),混匀后即可使用。根据需要,0.5M的EDTA也按照1:100的比例加入到裂解液中(如用于检测金属蛋白酶活性,则不宜添加EDTA)。含有蛋白酶抑制剂混合物的裂解液宜现用现配,不宜配制后冻存待后续使用。
2. 待所需的抑制剂添加完毕混匀后,就可以开始进行哺乳动物组织的裂解和蛋白提取。
公司正在出售的产品:
| Recombnant Human GF2BP2, N-H | MDR1 Antibody Blocking Peptide |
| Recombinant Human CAV1 | Recombinant Pyruvate Dehydrogenase Kinase Isozyme 1 (PDK1) |
| SPATS1 Antibody Blocking Peptide | Recombinant PTEN Induced Putative Kinase 1 (PINK1) |
| AMER3 Antibody Blocking Peptide | Recombinant Pyruvate Dehydrogenase Kinase Isozyme 2 (PDK2) |
| TRIR Antibody Blocking Peptide | Recombinant TXK Tyrosine Kinase (TXK) |
| SLC1A1 Antibody Blocking Peptide | Recombinant Phosphoinositide Kinase, FYVE Finger Containing (PIKFYVE) |
| ERP44 Antibody Blocking Peptide | Recombinant Never In Mitosis Gene A Related Kinase 2 (NEK2) |
| GABBR2 Antibody Blocking Peptide | 蛋白精氨酸甲基转移酶2封闭多肽 |
| ZYG11BL Antibody Blocking Peptide | Recombinant Non Metastatic Cells 6, Protein Expressed In (NME6) |
| PRSS55 Antibody Blocking Peptide | Recombinant Spleen Tyrosine Kinase (SYK) |
| Phospho-NFKB1 (Ser907) Antibody Blocking Peptide | Recombinant Salt Inducible Kinase 2 (SIK2) |
| KLHL14 Antibody Blocking Peptide | Recombinant UDP Glucuronosyltransferase 1 Family, Polypeptide A1 (UGT1A1) |
| SAMD15 Antibody Blocking Peptide | DA-3003-2Recombinant Galactose-3-O-Sulfotransferase 1 (GAL3ST1) |
| MSRB2 Antibody Blocking Peptide | Recombinant TTK Protein Kinase (TTK) |
| COX7B2 Antibody Blocking Peptide | Recombinant Hydroxyacid Oxidase 1 (HAO1) |
风险提示:丁香通仅作为第三方平台,为商家信息发布提供平台空间。用户咨询产品时请注意保护个人信息及财产安全,合理判断,谨慎选购商品,商家和用户对交易行为负责。对于医疗器械类产品,请先查证核实企业经营资质和医疗器械产品注册证情况。
技术资料暂无技术资料 索取技术资料
DA-3003-2
¥600 - 3200




![[10]-Shogaol](https://img1.dxycdn.com/p/s14/2024/0806/202/8440062672023460281.jpg!wh200)



