相关产品推荐更多 >
万千商家帮你免费找货
0 人在求购买到急需产品
- 详细信息
- 文献和实验
- 技术资料
- 库存:
44
- 英文名:
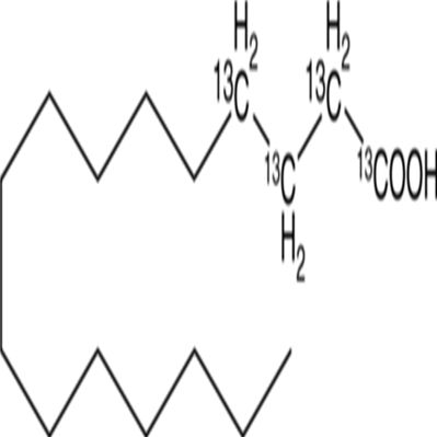
Palmitic Acid-13C (C1, C2, C3, and C4 labeled)
- CAS号:
287100-89-4
- 供应商:
上海莼试
- 保存条件:
Store at -20°C
- 规格:
25 mg 50 mg 100 mg 250 mg
1.本蛋白酶抑制剂混合物为100×的储存液,使用时按照1:100的比例加入到裂解液中(例如,1ml裂解液中加入10μl蛋白酶抑制剂混合物),混匀后即可使用。根据需要,0.5M的EDTA也按照1:100的比例加入到裂解液中(如用于检测金属蛋白酶活性,则不宜添加EDTA)。含有蛋白酶抑制剂混合物的裂解液宜现用现配,不宜配制后冻存待后续使用。
2. 待所需的抑制剂添加完毕混匀后,就可以开始进行哺乳动物组织的裂解和蛋白提取。
商品属性:
| 货号 | CS-01Y68651 | 规格 | 25 mg 50 mg 100 mg 250 mg |
| CAS号 | 287100-89-4 | 分子量 | 260.4 |
| 含量 | >98.00% | 别名 | N/A |
| 分子式 | C12[13C]4H32O2 | 化学名 | N/A |
| 产地 | 国产 | 用途 | 仅供科研研究实验 |
分子式:C12[13C]4H32O2

分子量:260.4
溶解度:DMF: 15 mg/ml,DMSO: 10 mg/ml,Ethanol: 1 mg/ml
储存条件:Store at -20°C
General tips:For obtaining a higher solubility , please warm the tube at 37 ℃ and shake it in the ultrasonic bath for a while.
Shipping Condition:Evaluation sample solution : ship with blue ice All other available size: ship with RT , or blue ice upon request
Palmitic acid-13C (C1, C2, C3, and C4 labeled) is intended for use as an internal standard for the quantification of palmitic acid by GC- or LC-MS. Palmitic acid is a common 16-carbon saturated fat that represents 10-20% of human dietary fat intake and comprises approximately 25 and 65% of human total plasma lipids and saturated fatty acids, respectively.1,2 Acylation of palmitic acid to proteins facilitates anchoring of membrane-bound proteins to the lipid bilayer and trafficking of intracellular proteins, promotes protein-vesicle interactions, and regulates various G protein-coupled receptor functions.1 Red blood cell palmitic acid levels are increased in patients with metabolic syndrome compared to patients without metabolic syndrome and are also increased in the plasma of patients with type 2 diabetes compared to individuals without diabetes
注意事项:
抗逆滴加序列
每次向板内滴加抗原时,移液器滴头要与平面45度悬空,不要触碰到孔内的液体,由后向前依次滴加(即浓度由低往高滴加)。
抗感染反应期
抗原抗体在室温20~25℃下,必须反应30min以上,若环境温度低于室温,可将微量反应板置于恒温培养箱中,使二者充分反应。
旅游温度
磷酸盐缓冲液的pH值要在高压灭菌后进行滴定,往往在高压后pH值会有所改变,所以高压后再调一次pH值更为准确。磷酸盐缓冲液一经使用保存期不要超过3周。当pH<5.8时,红细胞会产生自凝现象;当pH>7.8时,图形洗脱加快,易造成肉眼观察产生误差;p H=7.2时,红细胞沉降最充分,图形最清晰。
当滴注 1%红细胞悬液时,应经常摇晃红细胞悬液,使红细胞均匀地分布在磷酸缓冲液中,以防止红细胞下降。
反应时间及温度
加入鸡红血球之后,反应板在室温(20~25℃)静置30~40min,对照孔血球下沉于孔底,即可判定结果。若室温达不到实验要求,需相应调整反应时间。当环境温度低于4℃时,红细胞发生自凝;高于37℃时,会发生反应物分离和红细胞溶血。
公司正在出售的产品:
| Recombnant Human ACDA proten | SLC22A18AS Antibody Blocking Peptide |
| Recombinant Human beta Sarcoglycan | Recombinant Human Uter |
| CCL3 Antibody Blocking Peptide | Recombinant Human VAMP4 |
| ACVR2A Antibody Blocking Peptide | Recombinant Human VPS29 |
| Recombinant mouse EAAT2 protein, GST & His | Recombinant Human VEGFA |
| EPB41L5 Antibody Blocking Peptide | Recombinant Human VSTM2L |
| Tryptase delta /Tryptase gamma Antibody Blocking Peptide | Recombinant Human WASH complex subunit 4 |
| GNAT2 Antibody Blocking Peptide | 醛缩酶C封闭多肽 |
| GPR137C Antibody Blocking Peptide | Recombinant Human USP5 |
| CDHR3 Antibody Blocking Peptide | Recombinant Human Urm1 |
| Fibrillarin Antibody Blocking Peptide | Recombinant Human UQCRH |
| CCDC16/ZNF83 Antibody Blocking Peptide | Recombinant Human UfSP1 |
| Prostate Secretory Protein/PSP Antibody Blocking Peptide | Palmitic Acid-13C (C1, C2, C3, and C4 labeled)Recombinant Human UFM1 |
| ERICH6 Antibody Blocking Peptide | Recombinant Human UFC1 |
| phospho-YES (Tyr537) Antibody Blocking Peptide | Recombinant Human UCMA |
风险提示:丁香通仅作为第三方平台,为商家信息发布提供平台空间。用户咨询产品时请注意保护个人信息及财产安全,合理判断,谨慎选购商品,商家和用户对交易行为负责。对于医疗器械类产品,请先查证核实企业经营资质和医疗器械产品注册证情况。
文献和实验CH3 ( CH 2 ) 14 COOH ,是脂肪酸的一种,它和硬脂酸、油酸都最广泛地分布于油脂类中。尤其是在木蜡、棕榈油、高级木蜡中分布较多。它和高级醇结合存在于各种蜡中。在棕榈油中,它占组成脂肪酸的 35 — 40 %,在棉籽油中占 20 %。它通过线粒体酶系活化,变成软脂酰 CoA ,再经β - 氧化进入三羧酸循环,最后被完全氧化。这些已在肝脏、肾脏、心肌和发芽期花生子叶中被证明。
Biosynthetic Preparation of 13C/15N-Labeled rNTPs for High-Resolution NMR Studies of RNAs
High-resolution investigations of the structure and dynamics of RNA molecules by nuclear magnetic resonance (NMR) methodologies require the production of 13 C/15 N-isotopically labeled samples. A common strategy entails the preparation of 13
叶酸的辅酶,亦称辅酶 F。是叶酸的还原物,( FAH4 )接触空气容易氧化。开始合成甲酰基的衍生物( N5 -甲酰四氢叶酸),作为 Leuconostoccitrovorum 8081(后订正为 Pediococcus cerevisiae)的发育因子(叶酸无效),亦称亚叶酸因子( citrovor-um factor, CF或 folinic acid),或甲酰四氢叶酸。是在 FAH4 的 N5 上连接 -CHO的物质,已从肝脏中分离出来。在生物体中,作为活性
技术资料暂无技术资料 索取技术资料









