万千商家帮你免费找货
0 人在求购买到急需产品
- 详细信息
- 技术资料
- 库存:
45
- 英文名:
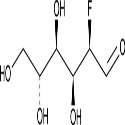
2-deoxy-2-fluoro-D-Glucose
- CAS号:
29702-43-0
- 供应商:
上海莼试
- 保存条件:
-20°C
- 规格:
5mg 10mg 25mg 100mg
使用方法:
1.本蛋白酶抑制剂混合物为100×的储存液,使用时按照1:100的比例加入到裂解液中(例如,1ml裂解液中加入10μl蛋白酶抑制剂混合物),混匀后即可使用。根据需要,0.5M的EDTA也按照1:100的比例加入到裂解液中(如用于检测金属蛋白酶活性,则不宜添加EDTA)。含有蛋白酶抑制剂混合物的裂解液宜现用现配,不宜配制后冻存待后续使用。
2. 待所需的抑制剂添加完毕混匀后,就可以开始进行哺乳动物组织的裂解和蛋白提取。
商品属性:
产品描述:
分子式:C6H11FO5

分子量:182.1
溶解度:DMF: 30 mg/ml,DMSO: 30 mg/ml,PBS (pH 7.2): 10 mg/ml
储存条件:-20°C
General tips:For obtaining a higher solubility , please warm the tube at 37 ℃ and shake it in the ultrasonic bath for a while.
Shipping Condition:Evaluation sample solution : ship with blue ice All other available size: ship with RT , or blue ice upon request
2-deoxy-2-fluoro-D-Glucose (2-FG) is a derivative of glucose with anticancer activity.1 It inhibits the growth of 143B osteosarcoma cells grown under normoxic and hypoxic conditions when used at concentrations of 6 and 24 mM.1.Lampidis, T.J., Kurtoglu, M., Maher, J.C., et al.Efficacy of 2-halogen substituted ?-glucose analogs in blocking glycolysis and killing ''hypoxic tumor cells''Cancer Chemother. Pharmacol.58(6)725-734(2006)
注意事项:
抗逆滴加序列
每次向板内滴加抗原时,移液器滴头要与平面45度悬空,不要触碰到孔内的液体,由后向前依次滴加(即浓度由低往高滴加)。
抗感染反应期
抗原抗体在室温20~25℃下,必须反应30min以上,若环境温度低于室温,可将微量反应板置于恒温培养箱中,使二者充分反应。
旅游温度
磷酸盐缓冲液的pH值要在高压灭菌后进行滴定,往往在高压后pH值会有所改变,所以高压后再调一次pH值更为准确。磷酸盐缓冲液一经使用保存期不要超过3周。当pH<5.8时,红细胞会产生自凝现象;当pH>7.8时,图形洗脱加快,易造成肉眼观察产生误差;p H=7.2时,红细胞沉降最充分,图形最清晰。
当滴注 1%红细胞悬液时,应经常摇晃红细胞悬液,使红细胞均匀地分布在磷酸缓冲液中,以防止红细胞下降。
反应时间及温度
加入鸡红血球之后,反应板在室温(20~25℃)静置30~40min,对照孔血球下沉于孔底,即可判定结果。若室温达不到实验要求,需相应调整反应时间。当环境温度低于4℃时,红细胞发生自凝;高于37℃时,会发生反应物分离和红细胞溶血。
公司正在出售的产品:
1.本蛋白酶抑制剂混合物为100×的储存液,使用时按照1:100的比例加入到裂解液中(例如,1ml裂解液中加入10μl蛋白酶抑制剂混合物),混匀后即可使用。根据需要,0.5M的EDTA也按照1:100的比例加入到裂解液中(如用于检测金属蛋白酶活性,则不宜添加EDTA)。含有蛋白酶抑制剂混合物的裂解液宜现用现配,不宜配制后冻存待后续使用。
2. 待所需的抑制剂添加完毕混匀后,就可以开始进行哺乳动物组织的裂解和蛋白提取。
商品属性:
| 货号 | CS-01Y68177 | 规格 | 5mg 10mg 25mg 100mg |
| CAS号 | 29702-43-0 | 分子量 | 182.1 |
| 含量 | >95.00% | 别名 | N/A |
| 分子式 | C6H11FO5 | 化学名 | N/A |
| 产地 | 国产 | 用途 | 仅供科研研究实验 |
分子式:C6H11FO5

分子量:182.1
溶解度:DMF: 30 mg/ml,DMSO: 30 mg/ml,PBS (pH 7.2): 10 mg/ml
储存条件:-20°C
General tips:For obtaining a higher solubility , please warm the tube at 37 ℃ and shake it in the ultrasonic bath for a while.
Shipping Condition:Evaluation sample solution : ship with blue ice All other available size: ship with RT , or blue ice upon request
2-deoxy-2-fluoro-D-Glucose (2-FG) is a derivative of glucose with anticancer activity.1 It inhibits the growth of 143B osteosarcoma cells grown under normoxic and hypoxic conditions when used at concentrations of 6 and 24 mM.1.Lampidis, T.J., Kurtoglu, M., Maher, J.C., et al.Efficacy of 2-halogen substituted ?-glucose analogs in blocking glycolysis and killing ''hypoxic tumor cells''Cancer Chemother. Pharmacol.58(6)725-734(2006)
注意事项:
抗逆滴加序列
每次向板内滴加抗原时,移液器滴头要与平面45度悬空,不要触碰到孔内的液体,由后向前依次滴加(即浓度由低往高滴加)。
抗感染反应期
抗原抗体在室温20~25℃下,必须反应30min以上,若环境温度低于室温,可将微量反应板置于恒温培养箱中,使二者充分反应。
旅游温度
磷酸盐缓冲液的pH值要在高压灭菌后进行滴定,往往在高压后pH值会有所改变,所以高压后再调一次pH值更为准确。磷酸盐缓冲液一经使用保存期不要超过3周。当pH<5.8时,红细胞会产生自凝现象;当pH>7.8时,图形洗脱加快,易造成肉眼观察产生误差;p H=7.2时,红细胞沉降最充分,图形最清晰。
当滴注 1%红细胞悬液时,应经常摇晃红细胞悬液,使红细胞均匀地分布在磷酸缓冲液中,以防止红细胞下降。
反应时间及温度
加入鸡红血球之后,反应板在室温(20~25℃)静置30~40min,对照孔血球下沉于孔底,即可判定结果。若室温达不到实验要求,需相应调整反应时间。当环境温度低于4℃时,红细胞发生自凝;高于37℃时,会发生反应物分离和红细胞溶血。
公司正在出售的产品:
| Recombnant Human DTNBP1, N-H | GRK1 Antibody Blocking Peptide |
| Recombinant Human AGPHD1 | Recombinant Human COASY |
| C6orf203 Antibody Blocking Peptide | Recombinant Human Collagen VI alpha 2 |
| MRPL17 Antibody Blocking Peptide | Recombinant Human COMMD7 |
| Recombinant human CD200 / OX-2 protein, C-His (HEK293) | Recombinant Human COMMD1 |
| IQGAP2 Antibody Blocking Peptide | Recombinant Human COMMD9 |
| EDNRB Antibody Blocking Peptide | Recombinant Human COMT |
| PRKCSH Antibody Blocking Peptide | 同源盒蛋白C6封闭多肽 |
| NPIPB15 Antibody Blocking Peptide | Recombinant Human CNTF |
| GAP43 Antibody Blocking Peptide | Recombinant Human CNOT8 |
| phospho-Tau protein (Thr205) Antibody Blocking Peptide | Recombinant Human CNDP2 |
| AKD1 Antibody Blocking Peptide | Recombinant Human c-Myc |
| IF Antibody Blocking Peptide | 2-deoxy-2-fluoro-D-GlucoseRecombinant Human CMT2 |
| POLD2 Antibody Blocking Peptide | Recombinant Human Clusterin |
| MIER3 Antibody Blocking Peptide | Recombinant Human CL |
风险提示:丁香通仅作为第三方平台,为商家信息发布提供平台空间。用户咨询产品时请注意保护个人信息及财产安全,合理判断,谨慎选购商品,商家和用户对交易行为负责。对于医疗器械类产品,请先查证核实企业经营资质和医疗器械产品注册证情况。
技术资料暂无技术资料 索取技术资料
2-deoxy-2-fluoro-D-Glucose
¥600 - 3200








