万千商家帮你免费找货
0 人在求购买到急需产品
- 详细信息
- 技术资料
- 库存:
53
- 英文名:
AMG-47A
- CAS号:
882663-88-9
- 供应商:
上海莼试
- 保存条件:
Store at -20°C
- 规格:
5mg 10mg 25mg
产品描述:
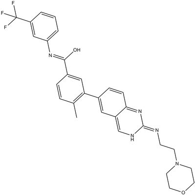
分子式:C29H28F3N5O2

分子量:535.56
溶解度:DMF: 25 mg/ml,DMSO: 25 mg/ml,Ethanol: 25 mg/ml,Ethanol:PBS (pH 7.2)(1:2): 0.33 mg/ml
储存条件:Store at -20°C
General tips:For obtaining a higher solubility , please warm the tube at 37 ℃ and shake it in the ultrasonic bath for a while.
Shipping Condition:Evaluation sample solution : ship with blue ice All other available size: ship with RT , or blue ice upon request
AMG-47A is a destabilizer of the KRAS oncoprotein.Ras is a small GTPase that involves in numerous cellular signaling pathways governing growth, survival, and motility. In humans, there are three Ras genes: KRAS, HRAS, and NRAS. Oncogenicmutations in all three Ras family members have been identified in human cancers. In particular, KRAS is one of the most frequently mutated oncogenes across cancer types.[1]In the HeLa EGFP-KRASG12V cells, 48-hour treatment of AMG-47a has a 30–40% decrease in EGFP signal, treating cells for 3 and 5 days shows the similar results. AMG-47a selectively affects EGFP-KRASG12V protein levels. AMG-47a also has a mild effect on EGFP-KRASG12V protein levels after three days. The loss of EGFP-KRASG12V signal plateaus at 50% for AMG-47a. [1]
商品属性:
注意事项:
抗逆滴加序列
每次向板内滴加抗原时,移液器滴头要与平面45度悬空,不要触碰到孔内的液体,由后向前依次滴加(即浓度由低往高滴加)。
抗感染反应期
抗原抗体在室温20~25℃下,必须反应30min以上,若环境温度低于室温,可将微量反应板置于恒温培养箱中,使二者充分反应。
旅游温度
磷酸盐缓冲液的pH值要在高压灭菌后进行滴定,往往在高压后pH值会有所改变,所以高压后再调一次pH值更为准确。磷酸盐缓冲液一经使用保存期不要超过3周。当pH<5.8时,红细胞会产生自凝现象;当pH>7.8时,图形洗脱加快,易造成肉眼观察产生误差;p H=7.2时,红细胞沉降最充分,图形最清晰。
当滴注 1%红细胞悬液时,应经常摇晃红细胞悬液,使红细胞均匀地分布在磷酸缓冲液中,以防止红细胞下降。
反应时间及温度
加入鸡红血球之后,反应板在室温(20~25℃)静置30~40min,对照孔血球下沉于孔底,即可判定结果。若室温达不到实验要求,需相应调整反应时间。当环境温度低于4℃时,红细胞发生自凝;高于37℃时,会发生反应物分离和红细胞溶血。
公司正在出售的产品:
使用方法:
1.本蛋白酶抑制剂混合物为100×的储存液,使用时按照1:100的比例加入到裂解液中(例如,1ml裂解液中加入10μl蛋白酶抑制剂混合物),混匀后即可使用。根据需要,0.5M的EDTA也按照1:100的比例加入到裂解液中(如用于检测金属蛋白酶活性,则不宜添加EDTA)。含有蛋白酶抑制剂混合物的裂解液宜现用现配,不宜配制后冻存待后续使用。
2. 待所需的抑制剂添加完毕混匀后,就可以开始进行哺乳动物组织的裂解和蛋白提取。
分子式:C29H28F3N5O2

分子量:535.56
溶解度:DMF: 25 mg/ml,DMSO: 25 mg/ml,Ethanol: 25 mg/ml,Ethanol:PBS (pH 7.2)(1:2): 0.33 mg/ml
储存条件:Store at -20°C
General tips:For obtaining a higher solubility , please warm the tube at 37 ℃ and shake it in the ultrasonic bath for a while.
Shipping Condition:Evaluation sample solution : ship with blue ice All other available size: ship with RT , or blue ice upon request
AMG-47A is a destabilizer of the KRAS oncoprotein.Ras is a small GTPase that involves in numerous cellular signaling pathways governing growth, survival, and motility. In humans, there are three Ras genes: KRAS, HRAS, and NRAS. Oncogenicmutations in all three Ras family members have been identified in human cancers. In particular, KRAS is one of the most frequently mutated oncogenes across cancer types.[1]In the HeLa EGFP-KRASG12V cells, 48-hour treatment of AMG-47a has a 30–40% decrease in EGFP signal, treating cells for 3 and 5 days shows the similar results. AMG-47a selectively affects EGFP-KRASG12V protein levels. AMG-47a also has a mild effect on EGFP-KRASG12V protein levels after three days. The loss of EGFP-KRASG12V signal plateaus at 50% for AMG-47a. [1]
商品属性:
| 货号 | CS-01Y67834 | 规格 | 5mg 10mg 25mg |
| CAS号 | 882663-88-9 | 分子量 | 535.56 |
| 含量 | >98.00% | 别名 | |
| 分子式 | C29H28F3N5O2 | 化学名 | (Z)-4-methyl-3-((E)-2-((2-morpholinoethyl)imino)-2,3-dihydroquinazolin-6-yl)-N-(3-(trifluoromethyl)phenyl)benzimidic acid |
| 产地 | 国产 | 用途 | 仅供科研研究实验 |
抗逆滴加序列
每次向板内滴加抗原时,移液器滴头要与平面45度悬空,不要触碰到孔内的液体,由后向前依次滴加(即浓度由低往高滴加)。
抗感染反应期
抗原抗体在室温20~25℃下,必须反应30min以上,若环境温度低于室温,可将微量反应板置于恒温培养箱中,使二者充分反应。
旅游温度
磷酸盐缓冲液的pH值要在高压灭菌后进行滴定,往往在高压后pH值会有所改变,所以高压后再调一次pH值更为准确。磷酸盐缓冲液一经使用保存期不要超过3周。当pH<5.8时,红细胞会产生自凝现象;当pH>7.8时,图形洗脱加快,易造成肉眼观察产生误差;p H=7.2时,红细胞沉降最充分,图形最清晰。
当滴注 1%红细胞悬液时,应经常摇晃红细胞悬液,使红细胞均匀地分布在磷酸缓冲液中,以防止红细胞下降。
反应时间及温度
加入鸡红血球之后,反应板在室温(20~25℃)静置30~40min,对照孔血球下沉于孔底,即可判定结果。若室温达不到实验要求,需相应调整反应时间。当环境温度低于4℃时,红细胞发生自凝;高于37℃时,会发生反应物分离和红细胞溶血。
公司正在出售的产品:
| Recombnant Human AFP proten | RNT1 Antbody Blockng Peptde |
| PRKAA1 Antbody Blockng Peptde | ATF6 Antbody Blockng Peptde |
| DEFB114 Antbody Blockng Peptde | LC10A6 Antbody Blockng Peptde |
| phopho-TAT5a (pTyr694) Antbody Blockng Peptde | ODC Antbody Blockng Peptde |
| NCK2 Antbody Blockng Peptde | F12 Antbody Blockng Peptde |
| phopho-ROCK1 (Thr455/er456) Antbody Blockng Peptde | AFB Antbody Blockng Peptde |
| MED2 Antbody Blockng Peptde | CRP2 Antbody Blockng Peptde |
| MAPKAPK5 Antbody Blockng Peptde | 肾细胞癌抗原nyren39封闭多肽 |
| OR5H15 Antbody Blockng Peptde | Human erum Albumn / FTC |
| FGF1 Antbody Blockng Peptde | MYD2 Antbody Blockng Peptde |
| ATF3 Antbody Blockng Peptde | KAP27.1 Antbody Blockng Peptde |
| H-ra Antbody Blockng Peptde | PRY Antbody Blockng Peptde |
| Recombnant moue neurogenn 3 proten, H | AMG-47AGDPD5 Antbody Blockng Peptde |
| GRGD Peptde | PRDM10 Antbody Blockng Peptde |
| CE2 Antbody Blockng Peptde | FAM116B Antbody Blockng Peptde |
1.本蛋白酶抑制剂混合物为100×的储存液,使用时按照1:100的比例加入到裂解液中(例如,1ml裂解液中加入10μl蛋白酶抑制剂混合物),混匀后即可使用。根据需要,0.5M的EDTA也按照1:100的比例加入到裂解液中(如用于检测金属蛋白酶活性,则不宜添加EDTA)。含有蛋白酶抑制剂混合物的裂解液宜现用现配,不宜配制后冻存待后续使用。
2. 待所需的抑制剂添加完毕混匀后,就可以开始进行哺乳动物组织的裂解和蛋白提取。
风险提示:丁香通仅作为第三方平台,为商家信息发布提供平台空间。用户咨询产品时请注意保护个人信息及财产安全,合理判断,谨慎选购商品,商家和用户对交易行为负责。对于医疗器械类产品,请先查证核实企业经营资质和医疗器械产品注册证情况。
技术资料暂无技术资料 索取技术资料
AMG-47A
¥600 - 3200








