相关产品推荐更多 >
万千商家帮你免费找货
0 人在求购买到急需产品
- 详细信息
- 技术资料
- 库存:
36
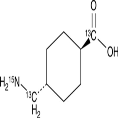
- 英文名:
Tranexamic Acid-13C2,15N
- CAS号:
1292837-95-6
- 供应商:
上海莼试
- 保存条件:
Store at -20°C
- 规格:
1mg
产品描述:
分子式:C6[13C2]H15[15N]O2

分子量:160.2
溶解度:Water: slightly soluble
储存条件:Store at -20°C
General tips:For obtaining a higher solubility , please warm the tube at 37 ℃ and shake it in the ultrasonic bath for a while.
Shipping Condition:Evaluation sample solution : ship with blue ice All other available size: ship with RT , or blue ice upon request
Tranexamic acid 13C2,15N is intended for use as an internal standard for the quantification of tranexamic acid by GC- or LC-MS. Tranexamic acid is an inhibitor of fibrinolysis that inhibits the interaction of plasmin with fibrin (IC50 = 3.1 μM in isolated human plasma).1 It reduces increases in the expression of the profibrogenic genes Timp1 and Col1a1, but not Itgb6, Tgfβ1, or Tgfβ2, and increases in hepatic protein levels of cytokeratin 19 (CK19) and type I collagen induced by α-naphthylisothiocyanate (AINT) after 28 days in a mouse model of chronic bile duct injury.2|1. Bostr?m, J., Grant, J.A., Fjellstr?m, O., et al. Potent fibrinolysis inhibitor discovered by shape and electrostatic complementarity to the drug tranexamic acid. J. Med. Chem. 56(8), 3273-3280 (2013).|2. Joshi, N., Kopec, A.K., Towery, K., et al. The antifibrinolytic drug tranexamic acid reduces liver injury and fibrosis in a mouse model of chronic bile duct injury. J. Pharmacol. Exp. Ther. 349(3), 383-392 (2014).
商品属性:
注意事项:
抗逆滴加序列
每次向板内滴加抗原时,移液器滴头要与平面45度悬空,不要触碰到孔内的液体,由后向前依次滴加(即浓度由低往高滴加)。
抗感染反应期
抗原抗体在室温20~25℃下,必须反应30min以上,若环境温度低于室温,可将微量反应板置于恒温培养箱中,使二者充分反应。
旅游温度
磷酸盐缓冲液的pH值要在高压灭菌后进行滴定,往往在高压后pH值会有所改变,所以高压后再调一次pH值更为准确。磷酸盐缓冲液一经使用保存期不要超过3周。当pH<5.8时,红细胞会产生自凝现象;当pH>7.8时,图形洗脱加快,易造成肉眼观察产生误差;p H=7.2时,红细胞沉降最充分,图形最清晰。
当滴注 1%红细胞悬液时,应经常摇晃红细胞悬液,使红细胞均匀地分布在磷酸缓冲液中,以防止红细胞下降。
反应时间及温度
加入鸡红血球之后,反应板在室温(20~25℃)静置30~40min,对照孔血球下沉于孔底,即可判定结果。若室温达不到实验要求,需相应调整反应时间。当环境温度低于4℃时,红细胞发生自凝;高于37℃时,会发生反应物分离和红细胞溶血。
公司正在出售的产品:
使用方法:
1.本蛋白酶抑制剂混合物为100×的储存液,使用时按照1:100的比例加入到裂解液中(例如,1ml裂解液中加入10μl蛋白酶抑制剂混合物),混匀后即可使用。根据需要,0.5M的EDTA也按照1:100的比例加入到裂解液中(如用于检测金属蛋白酶活性,则不宜添加EDTA)。含有蛋白酶抑制剂混合物的裂解液宜现用现配,不宜配制后冻存待后续使用。
2. 待所需的抑制剂添加完毕混匀后,就可以开始进行哺乳动物组织的裂解和蛋白提取。
分子式:C6[13C2]H15[15N]O2

分子量:160.2
溶解度:Water: slightly soluble
储存条件:Store at -20°C
General tips:For obtaining a higher solubility , please warm the tube at 37 ℃ and shake it in the ultrasonic bath for a while.
Shipping Condition:Evaluation sample solution : ship with blue ice All other available size: ship with RT , or blue ice upon request
Tranexamic acid 13C2,15N is intended for use as an internal standard for the quantification of tranexamic acid by GC- or LC-MS. Tranexamic acid is an inhibitor of fibrinolysis that inhibits the interaction of plasmin with fibrin (IC50 = 3.1 μM in isolated human plasma).1 It reduces increases in the expression of the profibrogenic genes Timp1 and Col1a1, but not Itgb6, Tgfβ1, or Tgfβ2, and increases in hepatic protein levels of cytokeratin 19 (CK19) and type I collagen induced by α-naphthylisothiocyanate (AINT) after 28 days in a mouse model of chronic bile duct injury.2|1. Bostr?m, J., Grant, J.A., Fjellstr?m, O., et al. Potent fibrinolysis inhibitor discovered by shape and electrostatic complementarity to the drug tranexamic acid. J. Med. Chem. 56(8), 3273-3280 (2013).|2. Joshi, N., Kopec, A.K., Towery, K., et al. The antifibrinolytic drug tranexamic acid reduces liver injury and fibrosis in a mouse model of chronic bile duct injury. J. Pharmacol. Exp. Ther. 349(3), 383-392 (2014).
商品属性:
| 货号 | CS-01Y69000 | 规格 | 1mg |
| CAS号 | 1292837-95-6 | 分子量 | 160.2 |
| 含量 | >95.00% | 别名 | N/A |
| 分子式 | C6[13C2]H15[15N]O2 | 化学名 | N/A |
| 产地 | 国产 | 用途 | 仅供科研研究实验 |
抗逆滴加序列
每次向板内滴加抗原时,移液器滴头要与平面45度悬空,不要触碰到孔内的液体,由后向前依次滴加(即浓度由低往高滴加)。
抗感染反应期
抗原抗体在室温20~25℃下,必须反应30min以上,若环境温度低于室温,可将微量反应板置于恒温培养箱中,使二者充分反应。
旅游温度
磷酸盐缓冲液的pH值要在高压灭菌后进行滴定,往往在高压后pH值会有所改变,所以高压后再调一次pH值更为准确。磷酸盐缓冲液一经使用保存期不要超过3周。当pH<5.8时,红细胞会产生自凝现象;当pH>7.8时,图形洗脱加快,易造成肉眼观察产生误差;p H=7.2时,红细胞沉降最充分,图形最清晰。
当滴注 1%红细胞悬液时,应经常摇晃红细胞悬液,使红细胞均匀地分布在磷酸缓冲液中,以防止红细胞下降。
反应时间及温度
加入鸡红血球之后,反应板在室温(20~25℃)静置30~40min,对照孔血球下沉于孔底,即可判定结果。若室温达不到实验要求,需相应调整反应时间。当环境温度低于4℃时,红细胞发生自凝;高于37℃时,会发生反应物分离和红细胞溶血。
公司正在出售的产品:
| Recombnant Human ELAVL4/HuD/Hu-antgen D, N-H | hypothetcal proten [Lactobacllu acdophlu] Antbody Blockng Peptde |
| CYFRA21-1 Antbody Blockng Peptde | 猫眼综合征染色体候选基因6封闭多肽 |
| CCR2 Antbody Blockng Peptde | FHDC1蛋白封闭多肽 |
| ZNF793 Antbody Blockng Peptde | BTRC2蛋白封闭多肽 |
| CE Antbody Blockng Peptde | NFκB激活蛋白205封闭多肽 |
| EMAP2 Antbody Blockng Peptde | Cy3标记蛋白A |
| RFPL4B Antbody Blockng Peptde | FRA-1蛋白封闭多肽 |
| Phopho-HC1 (Tyr239/240) Antbody Blockng Peptde | 卵透明带糖蛋白2封闭多肽 |
| EC63 Antbody Blockng Peptde | 趋化因子CXCL15封闭多肽 |
| PA200 Antbody Blockng Peptde | G蛋白偶联受体14封闭多肽 |
| RTDR1 Antbody Blockng Peptde | 丝氨酸/苏氨酸蛋白激酶37封闭多肽 |
| ADRB2 Antbody Blockng Peptde | 抑癌基因封闭多肽 |
| PTRH1 Antbody Blockng Peptde | Tranexamic Acid-13C2,15N神经肽Y封闭多肽 |
| CD44v4 Antbody Blockng Peptde | 丝裂原活化蛋白激酶13封闭多肽 |
| 叉头蛋白O1封闭多肽 | 磷酸化丝/苏氨酸蛋白激酶Plk1封闭多肽 |
1.本蛋白酶抑制剂混合物为100×的储存液,使用时按照1:100的比例加入到裂解液中(例如,1ml裂解液中加入10μl蛋白酶抑制剂混合物),混匀后即可使用。根据需要,0.5M的EDTA也按照1:100的比例加入到裂解液中(如用于检测金属蛋白酶活性,则不宜添加EDTA)。含有蛋白酶抑制剂混合物的裂解液宜现用现配,不宜配制后冻存待后续使用。
2. 待所需的抑制剂添加完毕混匀后,就可以开始进行哺乳动物组织的裂解和蛋白提取。
风险提示:丁香通仅作为第三方平台,为商家信息发布提供平台空间。用户咨询产品时请注意保护个人信息及财产安全,合理判断,谨慎选购商品,商家和用户对交易行为负责。对于医疗器械类产品,请先查证核实企业经营资质和医疗器械产品注册证情况。
技术资料暂无技术资料 索取技术资料
Tranexamic Acid-13C2,15N
¥600 - 3200








