相关产品推荐更多 >
万千商家帮你免费找货
0 人在求购买到急需产品
- 详细信息
- 文献和实验
- 技术资料
- 库存:
39
- 英文名:
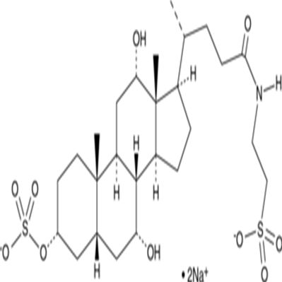
Taurocholic Acid 3-sulfate (sodium salt)
- CAS号:
71781-33-4
- 供应商:
上海莼试
- 保存条件:
-20°C
- 规格:
500μg 1mg 5mg 10mg
| 货号 | CS-01Y69127 | 规格 | 500μg 1mg 5mg 10mg |
| CAS号 | 71781-33-4 | 分子量 | 639.7 |
| 含量 | >95.00% | 别名 | N/A |
| 分子式 | C26H43NO10S22Na | 化学名 | N/A |
| 产地 | 国产 | 用途 | 仅供科研研究实验 |
分子式:C26H43NO10S22Na

分子量:639.7
溶解度:DMF: 1 mg/ml,DMSO: 0.3 mg/ml,PBS (pH 7.2): 1 mg/ml
储存条件:-20°C
General tips:For obtaining a higher solubility , please warm the tube at 37 ℃ and shake it in the ultrasonic bath for a while.
Shipping Condition:Evaluation sample solution : ship with blue ice All other available size: ship with RT , or blue ice upon request
Taurocholic acid 3-sulfate (TCA3S) is a metabolite of the conjugated bile acid taurocholic acid .1 Plasma levels of TCA3S are elevated in wild-type and Sortilin 1 (Sort1) knockout mice at 6 hours following bile duct ligation (BDL) and are further elevated in Sort1 knockout mice at 24 hours post-BDL.21.Lefebvre, P., Cariou, B., Lien, F., et al.Role of bile acids and bile acid receptors in metabolic regulationPhysiol. Rev.89(1)147-191(2009) 2.Li, J., Woolbright, B.L., Zhao, W., et al.Sortilin 1 loss-of-function protects against cholestatic liver injury by attenuating hepatic bile acid accumulation in bile duct ligated miceToxicol. Sci.161(1)34-47(2018)
注意事项:
抗逆滴加序列
每次向板内滴加抗原时,移液器滴头要与平面45度悬空,不要触碰到孔内的液体,由后向前依次滴加(即浓度由低往高滴加)。
抗感染反应期
抗原抗体在室温20~25℃下,必须反应30min以上,若环境温度低于室温,可将微量反应板置于恒温培养箱中,使二者充分反应。
旅游温度
磷酸盐缓冲液的pH值要在高压灭菌后进行滴定,往往在高压后pH值会有所改变,所以高压后再调一次pH值更为准确。磷酸盐缓冲液一经使用保存期不要超过3周。当pH<5.8时,红细胞会产生自凝现象;当pH>7.8时,图形洗脱加快,易造成肉眼观察产生误差;p H=7.2时,红细胞沉降最充分,图形最清晰。
当滴注 1%红细胞悬液时,应经常摇晃红细胞悬液,使红细胞均匀地分布在磷酸缓冲液中,以防止红细胞下降。
反应时间及温度
加入鸡红血球之后,反应板在室温(20~25℃)静置30~40min,对照孔血球下沉于孔底,即可判定结果。若室温达不到实验要求,需相应调整反应时间。当环境温度低于4℃时,红细胞发生自凝;高于37℃时,会发生反应物分离和红细胞溶血。
使用方法:
1.本蛋白酶抑制剂混合物为100×的储存液,使用时按照1:100的比例加入到裂解液中(例如,1ml裂解液中加入10μl蛋白酶抑制剂混合物),混匀后即可使用。根据需要,0.5M的EDTA也按照1:100的比例加入到裂解液中(如用于检测金属蛋白酶活性,则不宜添加EDTA)。含有蛋白酶抑制剂混合物的裂解液宜现用现配,不宜配制后冻存待后续使用。
2. 待所需的抑制剂添加完毕混匀后,就可以开始进行哺乳动物组织的裂解和蛋白提取。
公司正在出售的产品:
| Recombnant Amphoxu VCBP4 proten,N-H Tag | G6PC Antbody Blockng Peptde |
| phopho-HC1 (Tyr349) Antbody Blockng Peptde | 表皮生长因子受体型突变体封闭多肽 |
| DRM Antbody Blockng Peptde | 磷脂重塑基因ERAC1封闭多肽 |
| KRT35 Antbody Blockng Peptde | A型钾离子通道调节蛋白4封闭多肽 |
| MRP34 Antbody Blockng Peptde | 精子相关抗原5封闭多肽 |
| NOTRN Antbody Blockng Peptde | 层粘连蛋白受体1封闭多肽 |
| MAP3K9 Antbody Blockng Peptde | 转移生长因子β受体1封闭多肽 |
| PDLM3/ALP Antbody Blockng Peptde | P5C还原酶1封闭多肽 |
| AACT (Natve) | 脂肪酸结合蛋白9封闭多肽 |
| C8orf74 Antbody Blockng Peptde | OTOP2蛋白封闭多肽 |
| NX1 Antbody Blockng Peptde | 溶质载体家族22成员4封闭多肽 |
| ACP5 Antbody Blockng Peptde | 质子梯度调节蛋白1封闭多肽 |
| NLRP13 Antbody Blockng Peptde | Taurocholic Acid 3-sulfate (sodium salt)甲基样蛋白16封闭多肽 |
| PDA6 Antbody Blockng Peptde | 神经元,肌肉特异性烯醇化酶封闭多肽 |
| 黑皮质素-1受体封闭多肽 | mRNA前体剪接因子PRPF8封闭多肽 |
风险提示:丁香通仅作为第三方平台,为商家信息发布提供平台空间。用户咨询产品时请注意保护个人信息及财产安全,合理判断,谨慎选购商品,商家和用户对交易行为负责。对于医疗器械类产品,请先查证核实企业经营资质和医疗器械产品注册证情况。
文献和实验C23 H36 ( OH) 3 CONHCH2 CH2 SO3H,为结合型胆汁酸之一,亦即胆酸和牛磺酸的结合物。
Dextran Sodium Sulfate-Induced Murine Inflammatory Colitis Model
Colitis is a chronic inflammatory disease of the colon that is characterized by recurring, acute episodes. Mouse models of colitis allow for the study of multiple aspects of this disease, including the innate immune response, epithelial
SDS-PAGE(Sodium Dodecyl Sulfate - Polyacrylamid Gel Electrophoresis)
SDS is a common ingredient in detergents Other names for SDS include laurel sulfate and sodium laurel sulfate As a detergent SDS destroys protein secondary, tertiary and quaternary structure
技术资料暂无技术资料 索取技术资料









