相关产品推荐更多 >
万千商家帮你免费找货
0 人在求购买到急需产品
- 详细信息
- 文献和实验
- 技术资料
- 库存:
28
- 英文名:
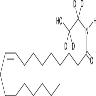
Oleoyl Ethanolamide-d4
- CAS号:
946524-36-3
- 供应商:
上海莼试
- 保存条件:
Store at -20°C
- 规格:
100 μg 500 μg 1 mg 5 mg
| 产品名称 | Oleoyl Ethanolamide-d4 | 产品货号 | CS-01Y69214 |
| 规格 | 100 μg 500 μg 1 mg 5 mg | CAS号 | 946524-36-3 |
| 含量 | >99.00% | 分子式 | C20H35D4NO2 |
| 分子量 | 329.6 | 用途 | 仅供科研研究使用 |

Oleoyl Ethanolamide-d4规格:100 μg 500 μg 1 mg 5 mg
CAS:946524-36-3
别名:N/A
化学名:N/A
分子式:C20H35D4NO2

分子量:329.6
溶解度:DMF: 100 mg/ml,DMSO: 100 mg/ml,Ethanol: 100 mg/ml,PBS (pH 7.2): 100 μg/ml
储存条件:Store at -20°C
General tips:For obtaining a higher solubility , please warm the tube at 37 ℃ and shake it in the ultrasonic bath for a while.
Shipping Condition: Evaluation sample solution : ship with blue ice All other available size: ship with RT , or blue ice upon request
产品描述:

Oleoyl ethanolamide-d4 contains four deuterium atoms at the hydroxyethyl 1,1',2, and 2' positions. It is intended for use as an internal standard for the quantification of oleoyl ethanolamide by GC- or LC-mass spectrometry. Oleoyl ethanolamide (OEA) is an analog of the endocannabinoid AEA found in brain tissue and in chocolate.1 It is one of the long chain fatty acid ethanolamides that accumulates rapidly in infarcted tissue,2 but its biosynthesis is reduced in the intestine of rats following food deprivation.3 OEA is an endogenous, potent agonist for PPARα, exhibiting an EC50 value of 120 nM in a transactivation assay.4 Systemic administration of OEA suppresses food intake and reduces weight gain in rats (10 mg/kg intraperitoneally) and PPARα wild-type mice, but not in PPARα knockout mice.3,4 These data indicate that OEA regulates food intake by a PPARα-mediated mechanism.1.di Tomaso, E., Beltramo, M., and Piomelli, D.Brain cannabinoids in chocolateNature382677-678(1996) 2.Epps, D.E., Palmer, J.W., Schmid, H.H.O., et al.Inhibition of permeability-dependent Ca2+ release from mitochondria by N-acelethanolamines, a class of lipids synthesized in ischemic heart tissueThe Journal of Biological Chemisty2571383-1392(1982) 3.de Fonseca, F.R., Navarro, M., Gómez, R., et al.An anorexic lipid mediator regulated by feedingNature414209-212(2001) 4.Fu, J., Gaetani, S., Oveisi, F., et al.Oleylethanolamide regulates feeding and body weight through activation of the nuclear receptor PPAR-αNature42590-9
使用方法:

1. 常用筛选浓度
注意:用来筛选稳转株的工作浓度需要根据细胞类型,培养基,生长条件和细胞代谢率而变化,推荐使用浓度为50-1000μg/mL。对于第一次使用的实验体系建议通过建立杀灭曲线(kill curve),即剂量反应性曲线,来确定最佳筛选浓度。
一般而言,哺乳动物细胞50-500μg/mL;细菌/植物细胞20-200μg/mL;真菌300-1000μg/mL。
2. 杀灭曲线的建立
注意:为了筛选得到稳定表达目的蛋白的细胞株,需要确定能够杀死未转染宿主细胞的抗生素浓度,可通过建立杀灭曲线(剂量反应曲线)来实现,至少选择5个浓度。
1) 第一天:未转化的细胞按照20-25%的细胞密度铺在合适的培养板上,37℃,CO2培养过夜;注:对于需要更高密度来检测活力的细胞,可增加接种量。
2) 根据细胞类型,设定合适范围内的浓度梯度。以哺乳动物细胞为例,可设定50,100,250,500,750,1000μg/mL。先用去离子水或者PBS buffer按照1:10的比例将母液稀释到5 mg/ml,然后按照下表稀释到相应浓度的工作液。
3) 第二天:替换旧的培养基,换用新鲜配制的含有相应浓度药物的培养基。每个浓度做三个平行孔。
4) 接下来每3-4天更换新的含药物培养基。
5) 按照固定的周期(如每2天)进行活细胞计数来确定阻止未转染细胞生长的恰当浓度。选择在理想的天数(通常是7-10天)内能够杀死绝大多数细胞的浓度为稳定转染细胞筛选用的工作浓度。
3. 稳定转染细胞的筛选
1) 转染48h后,用含有适当浓度的潮霉素B筛选培养基来传代细胞(直接传代或者稀释后传代)。
注意:细胞处于活跃分裂状态时抗生素的杀伤。则当细胞过于稠密,其效率会降低。为了得到较好的筛选效果,最好将细胞稀释至丰度不超过25%
2) 每隔3-4天更换含有药物的筛选培养液。
3) 筛选7天后观察并评估细胞克隆(集落)的形成情况。集落的形成可能还需要一周或者更多的时间,这取决于宿主细胞类型,转染,以及筛选效果。
4) 挑取并转移5-10个抗性克隆于35mm细胞培养板,继续用含药物的筛选培养液维持培养7天。
5) 之后更换正常培养基培养即可。
公司正在出售的产品:

| Recombnant Human TMX2, N-H | NT5C2 Antbody Blockng Peptde |
| CARD11 Antbody Blockng Peptde | FAM193B蛋白封闭多肽 |
| TNFAP2 Antbody Blockng Peptde | 精神发育迟滞相关蛋白Olgophrenn-1封闭多肽 |
| HV1 p55+ p17 Antbody Blockng Peptde | 腺六邻体蛋白封闭多肽 |
| BTLA Antbody Blockng Peptde | 肝细胞源性纤维蛋白原相关蛋白1/FGL1封闭多肽 |
| Phopho-TMN1 (er25) Antbody Blockng Peptde | 上皮特异性抗原(CD326)封闭多肽 |
| CCR7 Antbody Blockng Peptde | 酯酶抑制蛋白C1N封闭多肽 |
| HnRNPLL Antbody Blockng Peptde | 17β羟基类固醇脱氢酶11/17β-HD11封闭多肽 |
| DPEP3 Antbody Blockng Peptde | HDHD2B蛋白封闭多肽 |
| Capae-8 p10 Antbody Blockng Peptde | 线粒体核糖体蛋白L52封闭多肽 |
| ADAP2 Antbody Blockng Peptde | 还原型辅酶Ⅱ氧化酶5/烟酰胺腺嘌呤二核苷酸磷酸封闭多肽 |
| ZNF169 Antbody Blockng Peptde | CD163封闭多肽 |
| PNPLA6 Antbody Blockng Peptde | Oleoyl Ethanolamide-d4膜内蛋白酶5封闭多肽 |
| DNAE2 Antbody Blockng Peptde | 防御素α5封闭多肽 |
| BCL2样12含脯氨酸蛋白封闭多肽 | 辣根过氧化物酶标记的蛋白A |
蛋白酶抑制剂混合物实验步骤:

(1)实验开始前将RNA提取液于65℃水浴锅中预热,离心管中加入ME(巯基乙醇),(10mL加80ul,50mL中加入300ul)
(2)取约0.8g菌丝体(液体培养获得的菌丝用真空抽滤即可!固体培养就更好说了),在液氮中迅速磨成精细粉末,装入50mL离心管,按1g材料8mL的量加入预热的RNA提取液,颠倒混匀
(3)65℃水浴3-10 min,期间混匀2-3次
(4)加入等体积的酚(注意是酸酚pH4.5)::yi戊醇(25:24:1)抽提(10,000rpm,4℃,5 min)
(5)取上清,等体积的yi戊醇(24:1)抽提(10,000rpm,4℃,5 min)
(6)加入1/4V体积10M LiCl溶液,4℃放置6h以上(或过夜)
(7)10,000rpm,4℃离心20min
(8)弃上清,用500ul SSTE溶解沉淀
(9)酚::yi戊醇(25:24:1)抽提两次,:yi戊醇(24:1)抽提1次(10,000rpm,4℃,5min)
(10)加2V体积的无水乙醇,在-70℃冰箱沉淀30min以上
(11)12,000rpm,4℃离心20 min
(12)弃上清.沉淀用70%酒精漂洗一次,干燥
(13)加200ul的DEPC处理水溶解
(14)用非变性琼脂糖凝胶电泳和紫外分光光度计扫描检测RNA的质量(在抽提过程中,若蛋白质含量或其它的杂质还较多,可以增加抽提次数)
风险提示:丁香通仅作为第三方平台,为商家信息发布提供平台空间。用户咨询产品时请注意保护个人信息及财产安全,合理判断,谨慎选购商品,商家和用户对交易行为负责。对于医疗器械类产品,请先查证核实企业经营资质和医疗器械产品注册证情况。
文献和实验总蛋白(包括质膜和细胞器膜蛋白),但费时费力。目前,有一种最新型有效的膜蛋白提取工具,并具有高纯度、高特异性、高载量温和提取的优点。是基于1980年科学家在牛眼视网膜中发现的一种命名为Rho1D4的氨基酸序列以及其对应的抗体来作为亲和标签纯化膜蛋白取得了非常好的效果,将Rho1D4抗体链接在琼脂糖或磁珠上,用于亲和层析带有Rho1D4标签的膜蛋白,能近乎完美的解决这些研究难题。1) 什么是Rho1D4?Rho1D4是指在牛眼视网膜细胞内的牛视紫红质C端的最后九位氨基酸。Rho1D4得名于与该序列
犬白三烯D4(LTD4) 酶联免疫 分析( ELISA ) 试剂 盒使用说明书 本试剂仅供研究使用 目的:本试剂盒用于测定犬血清,血浆及相关液体样本中 白三烯D4(LTD4)的 含量。 实验原理 : 本试剂盒应用双抗体夹心法测定 标本 中 犬 白三烯D4(LTD4) 水平。用纯化的 犬 白三烯D4(LTD4) 抗体包被微孔板,制成固相抗体,往包被单抗的微孔中依次加入 白三烯D4(LTD4) , 再与HRP 标记
上海西唐生物科技有限公司 021-55229872, 65333639 www.westang.com 人白细胞三烯D4 ( LTD4 )ELISA 试剂盒 ( 用于血清、血浆、细胞培养上清液和尿液、唾液生物体液内 ) 原理 本实验采用双抗体夹心 ABC-ELISA 法。用抗人 LTD4 单抗包被于酶标板上,标准品和样品中的 LTD4与单抗结合,加入生物素化的抗人
技术资料暂无技术资料 索取技术资料









