相关产品推荐更多 >
万千商家帮你免费找货
0 人在求购买到急需产品
- 详细信息
- 文献和实验
- 技术资料
- 库存:
24
- 英文名:
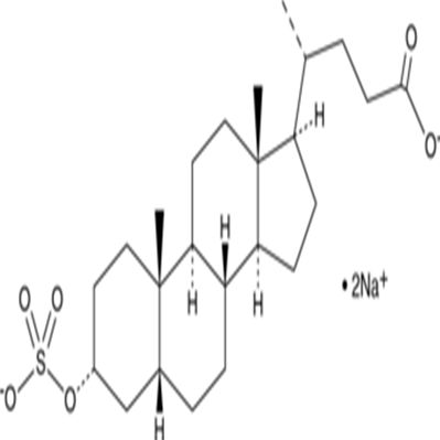
Lithocholic Acid 3-sulfate (sodium salt)
- CAS号:
64936-81-8
- 供应商:
上海莼试
- 保存条件:
Store at -20°C
- 规格:
5mg 10mg 25mg
1.本蛋白酶抑制剂混合物为100×的储存液,使用时按照1:100的比例加入到裂解液中(例如,1ml裂解液中加入10μl蛋白酶抑制剂混合物),混匀后即可使用。根据需要,0.5M的EDTA也按照1:100的比例加入到裂解液中(如用于检测金属蛋白酶活性,则不宜添加EDTA)。含有蛋白酶抑制剂混合物的裂解液宜现用现配,不宜配制后冻存待后续使用。
2. 待所需的抑制剂添加完毕混匀后,就可以开始进行哺乳动物组织的裂解和蛋白提取。
商品属性:
| 货号 | CS-01Y68470 | 规格 | 5mg 10mg 25mg |
| CAS号 | 64936-81-8 | 分子量 | 500.6 |
| 含量 | >98.00% | 别名 | Lithocholate 3-sulfate |
| 分子式 | C24H38O6S ? 2Na | 化学名 | (3α,5β)-3-(sulfooxy)-cholan-24-oic acid, disodium salt |
| 产地 | 国产 | 用途 | 仅供科研研究实验 |
分子式:C24H38O6S ? 2Na

分子量:500.6
溶解度:0.1mg/mL in methanol
储存条件:Store at -20°C
General tips:For obtaining a higher solubility , please warm the tube at 37 ℃ and shake it in the ultrasonic bath for a while.
Shipping Condition:Evaluation sample solution : ship with blue ice All other available size: ship with RT , or blue ice upon request
Lithocholic acid 3-sulfate is a metabolite of the secondary bile acid lithocholic acid.[1] It is water soluble and the primary form of lithocholic acid in the bile duct. Lithocholic acid 3-sulfate forms a complex with calcium in vitro.[2] Biliary secretion of lithocholic acid 3-sulfate is increased in a rat model of diabetes induced by streptozotocin.[3]
注意事项:
抗逆滴加序列
每次向板内滴加抗原时,移液器滴头要与平面45度悬空,不要触碰到孔内的液体,由后向前依次滴加(即浓度由低往高滴加)。
抗感染反应期
抗原抗体在室温20~25℃下,必须反应30min以上,若环境温度低于室温,可将微量反应板置于恒温培养箱中,使二者充分反应。
旅游温度
磷酸盐缓冲液的pH值要在高压灭菌后进行滴定,往往在高压后pH值会有所改变,所以高压后再调一次pH值更为准确。磷酸盐缓冲液一经使用保存期不要超过3周。当pH<5.8时,红细胞会产生自凝现象;当pH>7.8时,图形洗脱加快,易造成肉眼观察产生误差;p H=7.2时,红细胞沉降最充分,图形最清晰。
当滴注 1%红细胞悬液时,应经常摇晃红细胞悬液,使红细胞均匀地分布在磷酸缓冲液中,以防止红细胞下降。
反应时间及温度
加入鸡红血球之后,反应板在室温(20~25℃)静置30~40min,对照孔血球下沉于孔底,即可判定结果。若室温达不到实验要求,需相应调整反应时间。当环境温度低于4℃时,红细胞发生自凝;高于37℃时,会发生反应物分离和红细胞溶血。
公司正在出售的产品:
| Recombnant Human Fa proten | Recombnant Human Neurtn |
| Recombnant Human Neurogrann | 转录调节因子DACH2封闭多肽 |
| Recombnant Human NHLH2 | 死亡受体4封闭多肽 |
| Recombnant Human NHP2 | GATA结合蛋白4封闭多肽 |
| Recombnant Human NHP2L1 | H3结构域结合蛋白4封闭多肽 |
| Recombnant Human NP7 | 重组人微管相关蛋白 |
| Recombnant Human NKB | 翻译控制肿瘤蛋白封闭多肽 |
| Recombnant Human NME2 | 天冬氨酸-胱氨酸特异性蛋白酶家族封闭多肽 |
| Recombnant Human NME3 | 甘露聚糖结合凝集素丝氨酸肽酶1封闭多肽 |
| Recombnant Human Noeln | 嗅觉感受器蛋白10R2封闭多肽 |
| Recombnant Human NRG1 | 血红蛋白β封闭多肽 |
| Recombnant Human NRG4 | 染色体结构维持蛋白6封闭多肽 |
| Recombnant Human NT-4 | Lithocholic Acid 3-sulfate (sodium salt)遗传性脉络膜缺乏症相关蛋白样封闭多肽 |
| Recombnant Human NTF2 | β-酪蛋白封闭多肽 |
| 色素上皮源性因子封闭多肽 | CD339封闭多肽 |
风险提示:丁香通仅作为第三方平台,为商家信息发布提供平台空间。用户咨询产品时请注意保护个人信息及财产安全,合理判断,谨慎选购商品,商家和用户对交易行为负责。对于医疗器械类产品,请先查证核实企业经营资质和医疗器械产品注册证情况。
文献和实验C24 H 40 O 3 。3a-羟基-5β-胆烷酸。胆汁酸之一。不是由胆甾醇在肝中直接生物合成的,而是由鹅脱氧胆酸在肠内通过细菌代谢产生的物质。在肠内生成的这种物质大部分与粪便一起排出,极少一部分被吸收,在肝中发生结合反应,以牛磺石胆酸(taurolithocholic acid)或甘氨石胆酸(glyclithocholic acid)形态出现于胆汁中。比其它胆汁酸毒性强,大量饲实验动物能引起肝胆道系统的种种障害。
Dextran Sodium Sulfate-Induced Murine Inflammatory Colitis Model
Colitis is a chronic inflammatory disease of the colon that is characterized by recurring, acute episodes. Mouse models of colitis allow for the study of multiple aspects of this disease, including the innate immune response, epithelial
SDS-PAGE(Sodium Dodecyl Sulfate - Polyacrylamid Gel Electrophoresis)
SDS is a common ingredient in detergents Other names for SDS include laurel sulfate and sodium laurel sulfate As a detergent SDS destroys protein secondary, tertiary and quaternary structure
技术资料暂无技术资料 索取技术资料









