万千商家帮你免费找货
0 人在求购买到急需产品
- 详细信息
- 文献和实验
- 技术资料
- 库存:
28
- 英文名:
Chlortetracycline
- CAS号:
57-62-5
- 供应商:
上海莼试
- 保存条件:
Store at -20°C
- 规格:
5mg 25mg
| 货号 | CS-01Y71770 | 规格 | 5mg 25mg |
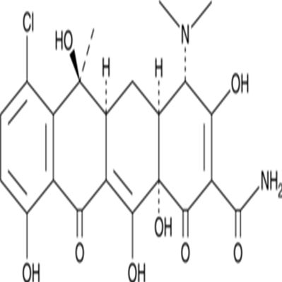
| CAS号 | 57-62-5 | 分子量 | 478.9 |
| 含量 | >98.00% | 别名 | N/A |
| 分子式 | C22H23ClN2O8 | 化学名 | N/A |
| 产地 | 国产 | 用途 | 仅供科研研究实验 |
分子式:C22H23ClN2O8

分子量:478.9
溶解度:DMF: Soluble,DMSO: Soluble,Ethanol: Soluble,Methanol: Soluble
储存条件:Store at -20°C
General tips:For obtaining a higher solubility , please warm the tube at 37 ℃ and shake it in the ultrasonic bath for a while.
Shipping Condition:Evaluation sample solution : ship with blue ice All other available size: ship with RT , or blue ice upon request
Chlortetracycline is a broad-spectrum antibiotic originally isolated from S. aureofaciens. It inhibits growth of both Gram-positive and Gram-negative bacteria at a range of 0.1-100 μg/ml against A. aerogenes, D. pneumoniae, E. coli, K. pneumoniae, P. morganii, and several species of Haemophilus, Neisseria, Salmonella, and Staphylococcus. Chlortetracycline protects mice from infection by various strains of S. aureus with protective doses (PD50s) of 0.2-7.5 mg/kg, and from infection by E. coli (PD50 = 3 mg/kg) and K. pneumoniae (PD50 = 75 mg/kg). It acts by inhibiting protein synthesis, and it binds to a single site on the 30S ribosome subunit. Chlortetracycline is an ionophore and is selective for calcium over sodium, potassium, magnesium, strontium, and barium. It transports calcium from an aqueous phase into an organic phase environment or into multilamellar vesicles. Chlortetracycline is also a fluorescent dye that can be used to monitor calcium flux.
注意事项:
抗逆滴加序列
每次向板内滴加抗原时,移液器滴头要与平面45度悬空,不要触碰到孔内的液体,由后向前依次滴加(即浓度由低往高滴加)。
抗感染反应期
抗原抗体在室温20~25℃下,必须反应30min以上,若环境温度低于室温,可将微量反应板置于恒温培养箱中,使二者充分反应。
旅游温度
磷酸盐缓冲液的pH值要在高压灭菌后进行滴定,往往在高压后pH值会有所改变,所以高压后再调一次pH值更为准确。磷酸盐缓冲液一经使用保存期不要超过3周。当pH<5.8时,红细胞会产生自凝现象;当pH>7.8时,图形洗脱加快,易造成肉眼观察产生误差;p H=7.2时,红细胞沉降最充分,图形最清晰。
当滴注 1%红细胞悬液时,应经常摇晃红细胞悬液,使红细胞均匀地分布在磷酸缓冲液中,以防止红细胞下降。
反应时间及温度
加入鸡红血球之后,反应板在室温(20~25℃)静置30~40min,对照孔血球下沉于孔底,即可判定结果。若室温达不到实验要求,需相应调整反应时间。当环境温度低于4℃时,红细胞发生自凝;高于37℃时,会发生反应物分离和红细胞溶血。
使用方法:
1.本蛋白酶抑制剂混合物为100×的储存液,使用时按照1:100的比例加入到裂解液中(例如,1ml裂解液中加入10μl蛋白酶抑制剂混合物),混匀后即可使用。根据需要,0.5M的EDTA也按照1:100的比例加入到裂解液中(如用于检测金属蛋白酶活性,则不宜添加EDTA)。含有蛋白酶抑制剂混合物的裂解液宜现用现配,不宜配制后冻存待后续使用。
2. 待所需的抑制剂添加完毕混匀后,就可以开始进行哺乳动物组织的裂解和蛋白提取。
公司正在出售的产品:
| Recombnant Human CDC123 proten | Recombnant Human ecretogrann 3 |
| Recombnant Human ecretogrann V | 磷酸化HER2受体封闭多肽 |
| Recombnant Human E-1 | 溶质载体家族25成员18封闭多肽 |
| Recombnant Human EM1 | 重组人肌酸激酶同工酶CKMB蛋白 |
| Recombnant Human ENP1Catalytc doman | 着丝粒蛋白Q封闭多肽 |
| Recombnant Human ENP2 | T细胞表面糖蛋白CD1C封闭多肽 |
| Recombnant Human ENP8 | 甘油二酯激酶γ/DGK-γ封闭多肽 |
| Recombnant Human E1 | 含patatn样磷脂酶6封闭多肽 |
| Recombnant Human EPEC | POP蛋白封闭多肽 |
| Recombnant Human EPT6 | 硫氧还蛋白封闭多肽 |
| Recombnant Human eptn 2 | 突触糖蛋白2封闭多肽 |
| Recombnant Human eptn 3 | 6号染色体开放阅读框173封闭多肽 |
| Recombnant Human erne racemae | Chlortetracycline锌指蛋白BED4封闭多肽 |
| Recombnant Human erpn A5 | 跨膜蛋白BR封闭多肽 |
| 磷脂酰肌醇特异性磷脂酶结构域C X封闭多肽 | 蛙皮素受体3封闭多肽 |
风险提示:丁香通仅作为第三方平台,为商家信息发布提供平台空间。用户咨询产品时请注意保护个人信息及财产安全,合理判断,谨慎选购商品,商家和用户对交易行为负责。对于医疗器械类产品,请先查证核实企业经营资质和医疗器械产品注册证情况。
文献和实验, and cause off odors and off flavors of foods. Media for the enumeration of molds use antibiotics, e.g., penicillin + streptomycin, chloramphenicol, chlortetracycline, oxytetracycline, and gentamicin; oxytetracycline has been useful. The incubation
实验试剂 金霉素(Chlortetracycline HCl),BIB分装;氯霉素(Chloraomycetin),Amresco分装;盐酸土霉素(Oxytetracycline HCl),BIB分装;青霉素G钾盐(Penicillin-GK Salt),BIB分装;硫酸链霉素(Streptomycin sulfate ),BIB分装。以上抗生素均为化学纯研究专用抗生素。 实验材料 黑豆蚜用盆栽
、0.3mg/kg、0.6mg/kg。表3中,在用药后25天,肌肉和肝脏组织的残留已达到此下限,而肾脏23天时就达到标准,考虑到检测过程中的回收率问题,金霉素的准确休药期定为27天更为合理。 【参考文献】 1 R L Baldwin VI,K R McLeod,T H Elsasser,et al.Influence of chlortetracycline and dietary protein level on visceral organ mass of growing
技术资料暂无技术资料 索取技术资料









