相关产品推荐更多 >
万千商家帮你免费找货
0 人在求购买到急需产品
- 详细信息
- 技术资料
- 库存:
34
- 英文名:
Aztreonam
- CAS号:
78110-38-0
- 供应商:
上海莼试
- 保存条件:
Store at 0-6°C
- 规格:
10mM (in 1mL DMSO) 100mg
商品属性:
产品描述:
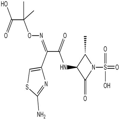
分子式:C13H17N5O8S2

分子量:435.43
溶解度:≥ 18.9mg/mL in DMSO, ≥ 10.24 mg/mL in H2O with ultrasonic
储存条件:Store at 0-6°C
General tips:For obtaining a higher solubility , please warm the tube at 37 ℃ and shake it in the ultrasonic bath for a while.
Shipping Condition:Evaluation sample solution : ship with blue ice All other available size: ship with RT , or blue ice upon request
Aztreonam (SQ-26) is a synthetic monocyclic beta-lactam antibiotic, which has a very high affinity for penicillin-binding protein 3 (PBP-3).Aztreonam (SQ-26) is a synthetic monocyclic beta-lactam antibiotic (a monobactam), with the nucleus based on a simpler monobactam isolated from Chromobacterium violaceum. It was approved by the U.S. Food and Drug Administration in 1986. It is resistant to some beta-lactamases, but is inactivated by extended-spectrum beta-lactamases. Aztreonam has no useful activity against gram-positive or anaerobic microorganisms[1]. Aztreonam (SQ-26) is similar in action to penicillin. It inhibits mucopeptide synthesis in the bacterial cell wall, thereby blocking peptidogly can crosslinking. It has a very high affinity for penicillin-binding protein 3 (PBP-3) and mild affinity for PBP-1a. Aztreonam (SQ-26) binds the penicillin-binding proteins of gram-positive and anaerobic bacteria very poorly and is largely ineffective against them. Aztreonam (SQ-26) is bactericidal but less so than some of the cephalosporins[2].
注意事项:
抗逆滴加序列
每次向板内滴加抗原时,移液器滴头要与平面45度悬空,不要触碰到孔内的液体,由后向前依次滴加(即浓度由低往高滴加)。
抗感染反应期
抗原抗体在室温20~25℃下,必须反应30min以上,若环境温度低于室温,可将微量反应板置于恒温培养箱中,使二者充分反应。
旅游温度
磷酸盐缓冲液的pH值要在高压灭菌后进行滴定,往往在高压后pH值会有所改变,所以高压后再调一次pH值更为准确。磷酸盐缓冲液一经使用保存期不要超过3周。当pH<5.8时,红细胞会产生自凝现象;当pH>7.8时,图形洗脱加快,易造成肉眼观察产生误差;p H=7.2时,红细胞沉降最充分,图形最清晰。
当滴注 1%红细胞悬液时,应经常摇晃红细胞悬液,使红细胞均匀地分布在磷酸缓冲液中,以防止红细胞下降。
反应时间及温度
加入鸡红血球之后,反应板在室温(20~25℃)静置30~40min,对照孔血球下沉于孔底,即可判定结果。若室温达不到实验要求,需相应调整反应时间。当环境温度低于4℃时,红细胞发生自凝;高于37℃时,会发生反应物分离和红细胞溶血。
使用方法:
1.本蛋白酶抑制剂混合物为100×的储存液,使用时按照1:100的比例加入到裂解液中(例如,1ml裂解液中加入10μl蛋白酶抑制剂混合物),混匀后即可使用。根据需要,0.5M的EDTA也按照1:100的比例加入到裂解液中(如用于检测金属蛋白酶活性,则不宜添加EDTA)。含有蛋白酶抑制剂混合物的裂解液宜现用现配,不宜配制后冻存待后续使用。
2. 待所需的抑制剂添加完毕混匀后,就可以开始进行哺乳动物组织的裂解和蛋白提取。
公司正在出售的产品:
| 货号 | CS-01Y71444 | 规格 | 10mM (in 1mL DMSO) 100mg |
| CAS号 | 78110-38-0 | 分子量 | 435.43 |
| 含量 | >98.00% | 别名 | |
| 分子式 | C13H17N5O8S2 | 化学名 | 2-[(Z)-[1-(2-amino-1,3-thiazol-4-yl)-2-[[(2S,3S)-2-methyl-4-oxo-1-sulfoazetidin-3-yl]amino]-2-oxoethylidene]amino]oxy-2-methylpropanoic acid |
| 产地 | 国产 | 用途 | 仅供科研研究实验 |
分子式:C13H17N5O8S2

分子量:435.43
溶解度:≥ 18.9mg/mL in DMSO, ≥ 10.24 mg/mL in H2O with ultrasonic
储存条件:Store at 0-6°C
General tips:For obtaining a higher solubility , please warm the tube at 37 ℃ and shake it in the ultrasonic bath for a while.
Shipping Condition:Evaluation sample solution : ship with blue ice All other available size: ship with RT , or blue ice upon request
Aztreonam (SQ-26) is a synthetic monocyclic beta-lactam antibiotic, which has a very high affinity for penicillin-binding protein 3 (PBP-3).Aztreonam (SQ-26) is a synthetic monocyclic beta-lactam antibiotic (a monobactam), with the nucleus based on a simpler monobactam isolated from Chromobacterium violaceum. It was approved by the U.S. Food and Drug Administration in 1986. It is resistant to some beta-lactamases, but is inactivated by extended-spectrum beta-lactamases. Aztreonam has no useful activity against gram-positive or anaerobic microorganisms[1]. Aztreonam (SQ-26) is similar in action to penicillin. It inhibits mucopeptide synthesis in the bacterial cell wall, thereby blocking peptidogly can crosslinking. It has a very high affinity for penicillin-binding protein 3 (PBP-3) and mild affinity for PBP-1a. Aztreonam (SQ-26) binds the penicillin-binding proteins of gram-positive and anaerobic bacteria very poorly and is largely ineffective against them. Aztreonam (SQ-26) is bactericidal but less so than some of the cephalosporins[2].
注意事项:
抗逆滴加序列
每次向板内滴加抗原时,移液器滴头要与平面45度悬空,不要触碰到孔内的液体,由后向前依次滴加(即浓度由低往高滴加)。
抗感染反应期
抗原抗体在室温20~25℃下,必须反应30min以上,若环境温度低于室温,可将微量反应板置于恒温培养箱中,使二者充分反应。
旅游温度
磷酸盐缓冲液的pH值要在高压灭菌后进行滴定,往往在高压后pH值会有所改变,所以高压后再调一次pH值更为准确。磷酸盐缓冲液一经使用保存期不要超过3周。当pH<5.8时,红细胞会产生自凝现象;当pH>7.8时,图形洗脱加快,易造成肉眼观察产生误差;p H=7.2时,红细胞沉降最充分,图形最清晰。
当滴注 1%红细胞悬液时,应经常摇晃红细胞悬液,使红细胞均匀地分布在磷酸缓冲液中,以防止红细胞下降。
反应时间及温度
加入鸡红血球之后,反应板在室温(20~25℃)静置30~40min,对照孔血球下沉于孔底,即可判定结果。若室温达不到实验要求,需相应调整反应时间。当环境温度低于4℃时,红细胞发生自凝;高于37℃时,会发生反应物分离和红细胞溶血。
使用方法:
1.本蛋白酶抑制剂混合物为100×的储存液,使用时按照1:100的比例加入到裂解液中(例如,1ml裂解液中加入10μl蛋白酶抑制剂混合物),混匀后即可使用。根据需要,0.5M的EDTA也按照1:100的比例加入到裂解液中(如用于检测金属蛋白酶活性,则不宜添加EDTA)。含有蛋白酶抑制剂混合物的裂解液宜现用现配,不宜配制后冻存待后续使用。
2. 待所需的抑制剂添加完毕混匀后,就可以开始进行哺乳动物组织的裂解和蛋白提取。
公司正在出售的产品:
| CGP 54626 hydrochloride | KM 233 |
| Daidzein-d4 | 类鼻疽伯克霍尔德探针法荧光定量PCR试剂盒 |
| Z3-Dodecenyl E2-butenoate | 伯克氏通用探针法荧光定量PCR试剂盒 |
| aloxone methiodide | (骆驼痘探针法荧光定量PCR试剂盒 |
| SAG dihydrochloride | 肉芽肿鞘杆探针法荧光定量PCR试剂盒 |
| ZT 52656A hydrochloride | 结肠弯曲杆探针法荧光定量PCR试剂盒 |
| BMS 961 | 大肠弯曲杆探针法荧光定量PCR试剂盒 |
| RU 58841 | 胎儿弯曲杆性病亚种探针法荧光定量PCR试剂盒 |
| Chenodeoxycholic Acid | 鼻疽伯克霍尔德氏探针法荧光定量PCR试剂盒 |
| AZD1981 | 洋葱伯克氏探针法荧光定量PCR试剂盒 |
| Multiflorenol | 羊仰口线虫探针法荧光定量PCR试剂盒 |
| Tiratricol | 牛仰口线虫探针法荧光定量PCR试剂盒 |
| Asimadoline (EMD-61753) | Aztreonam水牛正痘探针法荧光定量PCR试剂盒 |
| CNQX disodium salt | 布鲁氏杆属通用探针法荧光定量PCR试剂盒 |
| 肠杆科耐碳青霉烯类抗药物基因(VIM/IMP)检测试剂盒 | 轮状(C组)PCR检测试剂盒(荧光PCR法) |
风险提示:丁香通仅作为第三方平台,为商家信息发布提供平台空间。用户咨询产品时请注意保护个人信息及财产安全,合理判断,谨慎选购商品,商家和用户对交易行为负责。对于医疗器械类产品,请先查证核实企业经营资质和医疗器械产品注册证情况。
技术资料暂无技术资料 索取技术资料
Aztreonam
¥600 - 3200








