相关产品推荐更多 >
万千商家帮你免费找货
0 人在求购买到急需产品
- 详细信息
- 文献和实验
- 技术资料
- 库存:
29
- 英文名:
SARS-CoV-IN-2
- CAS号:
888958-26-7
- 供应商:
上海莼试
- 保存条件:
Store at -20°C
- 规格:
5mg 10mg 50mg
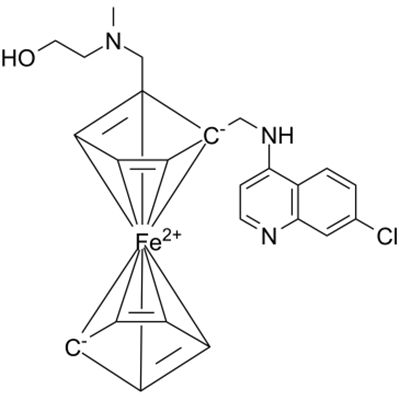
| 产品名称 | SARS-CoV-IN-2 | 产品货号 | CS-01Y72932 |
| 规格 | 5mg 10mg 50mg | CAS号 | 888958-26-7 |
| 含量 | >98.00% | 分子式 | C24H18ClFeN3O |
| 分子量 | 455.72 | 用途 | 仅供科研研究使用 |

SARS-CoV-IN-2 is an effective inhibitor of SARS-CoV replication. SARS-CoV-IN-2 shows anti-Coronavirus activity with an EC50 of 1.9 μM in Vero cells. SARS-CoV-IN-2 inhibits the 3D7 and W2 strains of P. falciparum with IC50s of 21.5 and 30 nM; and IC90s of 51.0 and 99.9 nM; respectively. SARS-CoV-IN-2 reduces HIV-1-induced cytopathic effect with an EC50 of 2.9 μM in MT-4 cells. Antimalarial and Antiviral Activities[1].[1]. Biot C, et al. Design and synthesis of hydroxyferroquine derivatives with antimalarial and antiviral activities. J Med Chem. 2006 May 4;49(9):2845-9.
化学性质:

规格:5mg 10mg 50mg
CAS:888958-26-7
别名:N/A
化学名:N/A
分子式:C24H18ClFeN3O

分子量:455.72
溶解度:DMSO: 19.23 mg/mL (42.20 mM)
储存条件:Store at -20°C
General tips:For obtaining a higher solubility , please warm the tube at 37 ℃ and shake it in the ultrasonic bath for a while.
Shipping Condition: Evaluation sample solution : ship with blue ice All other available size: ship with RT , or blue ice upon request
使用方法:

1. 常用筛选浓度
注意:用来筛选稳转株的工作浓度需要根据细胞类型,培养基,生长条件和细胞代谢率而变化,推荐使用浓度为50-1000μg/mL。对于第一次使用的实验体系建议通过建立杀灭曲线(kill curve),即剂量反应性曲线,来确定最佳筛选浓度。
一般而言,哺乳动物细胞50-500μg/mL;细菌/植物细胞20-200μg/mL;真菌300-1000μg/mL。
2. 杀灭曲线的建立
注意:为了筛选得到稳定表达目的蛋白的细胞株,需要确定能够杀死未转染宿主细胞的抗生素浓度,可通过建立杀灭曲线(剂量反应曲线)来实现,至少选择5个浓度。
1) 第一天:未转化的细胞按照20-25%的细胞密度铺在合适的培养板上,37℃,CO2培养过夜;注:对于需要更高密度来检测活力的细胞,可增加接种量。
2) 根据细胞类型,设定合适范围内的浓度梯度。以哺乳动物细胞为例,可设定50,100,250,500,750,1000μg/mL。先用去离子水或者PBS buffer按照1:10的比例将母液稀释到5 mg/ml,然后按照下表稀释到相应浓度的工作液。
3) 第二天:替换旧的培养基,换用新鲜配制的含有相应浓度药物的培养基。每个浓度做三个平行孔。
4) 接下来每3-4天更换新的含药物培养基。
5) 按照固定的周期(如每2天)进行活细胞计数来确定阻止未转染细胞生长的恰当浓度。选择在理想的天数(通常是7-10天)内能够杀死绝大多数细胞的浓度为稳定转染细胞筛选用的工作浓度。
3. 稳定转染细胞的筛选
1) 转染48h后,用含有适当浓度的潮霉素B筛选培养基来传代细胞(直接传代或者稀释后传代)。
注意:细胞处于活跃分裂状态时抗生素的杀伤。则当细胞过于稠密,其效率会降低。为了得到较好的筛选效果,最好将细胞稀释至丰度不超过25%
2) 每隔3-4天更换含有药物的筛选培养液。
3) 筛选7天后观察并评估细胞克隆(集落)的形成情况。集落的形成可能还需要一周或者更多的时间,这取决于宿主细胞类型,转染,以及筛选效果。
4) 挑取并转移5-10个抗性克隆于35mm细胞培养板,继续用含药物的筛选培养液维持培养7天。
5) 之后更换正常培养基培养即可。
蛋白酶抑制剂混合物实验步骤:

(1)SARS-CoV-IN-2实验开始前将RNA提取液于65℃水浴锅中预热,离心管中加入ME(巯基乙醇),(10mL加80ul,50mL中加入300ul)
(2)取约0.8g菌丝体(液体培养获得的菌丝用真空抽滤即可!固体培养就更好说了),在液氮中迅速磨成精细粉末,装入50mL离心管,按1g材料8mL的量加入预热的RNA提取液,颠倒混匀
(3)65℃水浴3-10 min,期间混匀2-3次
(4)加入等体积的酚(注意是酸酚pH4.5)::yi戊醇(25:24:1)抽提(10,000rpm,4℃,5 min)
(5)取上清,等体积的yi戊醇(24:1)抽提(10,000rpm,4℃,5 min)
(6)加入1/4V体积10M LiCl溶液,4℃放置6h以上(或过夜)
(7)10,000rpm,4℃离心20min
(8)弃上清,用500ul SSTE溶解沉淀
(9)酚::yi戊醇(25:24:1)抽提两次,:yi戊醇(24:1)抽提1次(10,000rpm,4℃,5min)
(10)加2V体积的无水乙醇,在-70℃冰箱沉淀30min以上
(11)12,000rpm,4℃离心20 min
(12)弃上清.沉淀用70%酒精漂洗一次,干燥
(13)加200ul的DEPC处理水溶解
(14)用非变性琼脂糖凝胶电泳和紫外分光光度计扫描检测RNA的质量(在抽提过程中,若蛋白质含量或其它的杂质还较多,可以增加抽提次数)
公司正在出售的产品:

| Recombnant Human MBP proten | Recombnant Human ERPNA1 |
| Recombnant Human erpnB3 | NUDCD2蛋白封闭多肽 |
| Recombnant Human erpnB4 | TRM43蛋白封闭多肽 |
| Recombnant Human erpnB6 | 胰岛素样生长因子结合蛋白5封闭多肽 |
| Recombnant Human erpnB8 | 尿调节蛋白封闭多肽 |
| Recombnant Human ERPNF2 | LM4蛋白封闭多肽 |
| Recombnant Human ERPN2 | CD1蛋白封闭多肽 |
| Recombnant Human eryl-tRNA ynthetae | 脱氧核糖核酸酶2封闭多肽 |
| Recombnant Human ET | 血清淀粉样蛋白AA2封闭多肽 |
| Recombnant Human ET7 | 缺氧诱导因子3α/HF-3α封闭多肽 |
| Recombnant Human GF29 | BXDC2蛋白封闭多肽 |
| Recombnant Human GTA | 神经激肽A抗原多肽 |
| Recombnant Human H3GL2 | SARS-CoV-IN-2FA83D蛋白封闭多肽 |
| Recombnant Human H3GL3 | 三磷酸腺苷结合转运蛋白G超家族成员2封闭多肽 |
| FLP封闭多肽 | 线粒体丝氨酸蛋白酶封闭多肽 |
风险提示:丁香通仅作为第三方平台,为商家信息发布提供平台空间。用户咨询产品时请注意保护个人信息及财产安全,合理判断,谨慎选购商品,商家和用户对交易行为负责。对于医疗器械类产品,请先查证核实企业经营资质和医疗器械产品注册证情况。
文献和实验唾液或鼻咽拭子测试对于呼吸道疾病的病原体检测至关重要,未来将越来越多地用于Covid疫苗接种后的免疫检测。在这种情况下,鼻咽拭子或唾液样本的潜在高传染性通常会导致用户危险和相关的监管障碍。然而,对于唾液和鼻咽拭子检测如 SARS-CoV-2 抗原快速检测,安全设计如采用SafetyTector™ S 病毒灭活缓冲液则能很容易即可实现。 CoViD-19大流行突显了良好的诊断方法在控制公众传染病方面的重要性。除了使用核酸扩增检测 (NAT),如现在广为人知的聚合酶链式反应 (PCR)进行早期
Expression, Glycosylation, and Modification of the Spike (S) Glycoprotein of SARS CoV
syndrome (SARS)-coronavirus (CoV) within the host cell, a T7/vaccinia virus-based expression system coupled to immunoprecipitation with anti-S antibodies was used to test and analyze different forms of the S glycoprotein. The state of maturity of the S
PCR 条件对扩增SARS - CoV 多聚酶部分基因的影响
条件非常重要。 关键词:SARS 冠状病毒;套式RT- PCR;检测;条件 详细内容: P.C.R 条件对扩增SARS - CoV 多聚酶部分基因的影响
技术资料暂无技术资料 索取技术资料








