万千商家帮你免费找货
0 人在求购买到急需产品
- 详细信息
- 文献和实验
- 技术资料
- 库存:
30
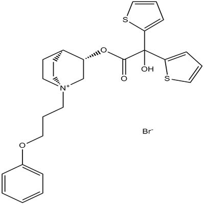
- 英文名:
Aclidinium Bromide
- CAS号:
320345-99-1
- 供应商:
上海莼试
- 保存条件:
Store at -20°C
- 规格:
5mg 10mg 50mg 100mg
1.本蛋白酶抑制剂混合物为100×的储存液,使用时按照1:100的比例加入到裂解液中(例如,1ml裂解液中加入10μl蛋白酶抑制剂混合物),混匀后即可使用。根据需要,0.5M的EDTA也按照1:100的比例加入到裂解液中(如用于检测金属蛋白酶活性,则不宜添加EDTA)。含有蛋白酶抑制剂混合物的裂解液宜现用现配,不宜配制后冻存待后续使用。
2. 待所需的抑制剂添加完毕混匀后,就可以开始进行哺乳动物组织的裂解和蛋白提取。
商品属性:
| 货号 | CS-01Y75739 | 规格 | 5mg 10mg 50mg 100mg |
| CAS号 | 320345-99-1 | 分子量 | 564.55 |
| 含量 | >98.00% | 别名 | |
| 分子式 | C26H30BrNO4S2 | 化学名 | [(3R)-1-(3-phenoxypropyl)-1-azoniabicyclo[2.2.2]octan-3-yl] 2-hydroxy-2,2-dithiophen-2-ylacetate;bromide |
| 产地 | 国产 | 用途 | 仅供科研研究实验 |
分子式:C26H30BrNO4S2

分子量:564.55
溶解度:≥ 28.2275mg/mL in DMSO
储存条件:Store at -20°C
General tips:For obtaining a higher solubility , please warm the tube at 37 ℃ and shake it in the ultrasonic bath for a while.
Shipping Condition:Evaluation sample solution : ship with blue ice All other available size: ship with RT , or blue ice upon request
Aclidinium Bromide is a long-acting antagonist of muscarinic (LAMAs) [1].Aclidinium Bromide has been reported to inhibit the specific binding of [3H]-NMS to human M receptors in a dose-denpendent fasion with Ki values of 0.10±0.00nM,0.14±0.04nM, 0.14±0.02nM, 0.21±0.04nM and 0.16±0.01nM for M1, M2,M3,M4 and M5, respectively. In addition, Aclidinium Bromide has shown the great potency at endogenous M2 and M3 receptors with EC50 values of 17.4±1.1nM and 5.3±1.6nM, respectively. Apart from these, Aclidinium Bromide has been revealed to produce a concentration-dependent inhibition of acetylcholine-induced bronchoconstriction in vivo with an EC50 of ranging from 2.5 to 23.1μg/mL in anaesthetized guines pigs. Besides, Aclidinium Bromide has also been noted to inhibit the salivation in rat pilocarpine-induced sialorrhea model with an EC50 of 38μg/kg [1].
注意事项:
抗逆滴加序列
每次向板内滴加抗原时,移液器滴头要与平面45度悬空,不要触碰到孔内的液体,由后向前依次滴加(即浓度由低往高滴加)。
抗感染反应期
抗原抗体在室温20~25℃下,必须反应30min以上,若环境温度低于室温,可将微量反应板置于恒温培养箱中,使二者充分反应。
旅游温度
磷酸盐缓冲液的pH值要在高压灭菌后进行滴定,往往在高压后pH值会有所改变,所以高压后再调一次pH值更为准确。磷酸盐缓冲液一经使用保存期不要超过3周。当pH<5.8时,红细胞会产生自凝现象;当pH>7.8时,图形洗脱加快,易造成肉眼观察产生误差;p H=7.2时,红细胞沉降最充分,图形最清晰。
当滴注 1%红细胞悬液时,应经常摇晃红细胞悬液,使红细胞均匀地分布在磷酸缓冲液中,以防止红细胞下降。
反应时间及温度
加入鸡红血球之后,反应板在室温(20~25℃)静置30~40min,对照孔血球下沉于孔底,即可判定结果。若室温达不到实验要求,需相应调整反应时间。当环境温度低于4℃时,红细胞发生自凝;高于37℃时,会发生反应物分离和红细胞溶血。
公司正在出售的产品:
| Omaciclovir | IRAK4-IN-1 |
| c-Kit-IN-3 | 核仁蛋白12(NOL12)检测试剂盒 |
| Ningetinib Tosylate | 核仁蛋白11(NOL11)检测试剂盒 |
| Pertuzumab | 核仁蛋白1(NOL1)检测试剂盒 |
| PKI-166 | 核仁蛋白10(NOL10)检测试剂盒 |
| AG 556 | 核膜蛋白(NRM)检测试剂盒 |
| Syk Inhibitor II | 核连蛋白2(NUCB2)检测试剂盒 |
| Ponatinib-d8 | Vomeronasal 1 Receptor 2(VN1R2)ELISA Kit |
| INDY | 核仁蛋白14(NOL14)检测试剂盒 |
| Nintedanib esylate | 核仁蛋白3(NOL3)检测试剂盒 |
| IRAK inhibitor 2 | 核仁蛋白4(NOL4)检测试剂盒 |
| FN-1501 | 核仁蛋白58(NOP58)检测试剂盒 |
| Olmutinib (HM61713, BI 1482694) | Aclidinium Bromide核仁蛋白6(NOL6)检测试剂盒 |
| PF 04531083 | 核仁蛋白7(NOL7)检测试剂盒 |
| 核仁磷酸蛋白(NPM)检测试剂盒 | 核仁蛋白8(NOL8)检测试剂盒 |
风险提示:丁香通仅作为第三方平台,为商家信息发布提供平台空间。用户咨询产品时请注意保护个人信息及财产安全,合理判断,谨慎选购商品,商家和用户对交易行为负责。对于医疗器械类产品,请先查证核实企业经营资质和医疗器械产品注册证情况。
文献和实验Introduction Ethidium bromide (EtBr), 3,8-diamino-5-ethyl-6-phenylphenanthridinium bromide, is commonly used as a non-radioactive marker for identifying and visualizing nucleic acid bands in electrophoresis and other methods
Ethidium Bromide Decontamination
N.B.: Ethidium bromide is a powerful mutagen. Protective gloves should be worn at all times when handling solutions containing ethidium bromide. Decontamination of solutions > 0.5mg/ml This method reduces the mutagenic activity
Caution: EtBr is a powerful mutagen and is moderately toxic. Wear gloves when working. When EtBr conc. is >0.5 mg/ml: 1.Add sufficient water to reduce the concentration of EtBr to 2.Add 1 volume of 0.5 M KMnO4. Mix, add 1 volume of 2.5 N HCl
技术资料暂无技术资料 索取技术资料









