万千商家帮你免费找货
0 人在求购买到急需产品
- 详细信息
- 文献和实验
- 技术资料
- 库存:
23
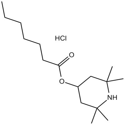
- 英文名:
TMPH hydrochloride
- CAS号:
849461-91-2
- 供应商:
上海莼试
- 保存条件:
Desiccate at RT
- 规格:
10mg 50mg
分子式:C16H31NO2.HCl
分子量:305.88
溶解度:<30.59mg/ml in H2O; <30.59mg/ml in DMSO
储存条件:Desiccate at RT
General tips:For obtaining a higher solubility , please warm the tube at 37 ℃ and shake it in the ultrasonic bath for a while.
Shipping Condition:Evaluation sample solution : ship with blue ice All other available size: ship with RT , or blue ice upon request
商品属性:
| 货号 | CS-01Y77057 | 规格 | 10mg 50mg |
| CAS号 | 849461-91-2 | 分子量 | 305.88 |
| 含量 | >98.00% | 别名 | |
| 分子式 | C16H31NO2.HCl | 化学名 | 2,2,6,6-tetramethylpiperidin-4-yl heptanoate hydrochloride |
| 产地 | 国产 | 用途 | 仅供科研研究实验 |
抗逆滴加序列
每次向板内滴加抗原时,移液器滴头要与平面45度悬空,不要触碰到孔内的液体,由后向前依次滴加(即浓度由低往高滴加)。
抗感染反应期
抗原抗体在室温20~25℃下,必须反应30min以上,若环境温度低于室温,可将微量反应板置于恒温培养箱中,使二者充分反应。
旅游温度
磷酸盐缓冲液的pH值要在高压灭菌后进行滴定,往往在高压后pH值会有所改变,所以高压后再调一次pH值更为准确。磷酸盐缓冲液一经使用保存期不要超过3周。当pH<5.8时,红细胞会产生自凝现象;当pH>7.8时,图形洗脱加快,易造成肉眼观察产生误差;p H=7.2时,红细胞沉降最充分,图形最清晰。
当滴注 1%红细胞悬液时,应经常摇晃红细胞悬液,使红细胞均匀地分布在磷酸缓冲液中,以防止红细胞下降。
反应时间及温度
加入鸡红血球之后,反应板在室温(20~25℃)静置30~40min,对照孔血球下沉于孔底,即可判定结果。若室温达不到实验要求,需相应调整反应时间。当环境温度低于4℃时,红细胞发生自凝;高于37℃时,会发生反应物分离和红细胞溶血。
公司正在出售的产品:
| CCB02 | 19,20-Epoxycytochalasin C |
| MCC950 sodium | HSP-27 热休克蛋白27ELISA检测试剂盒 |
| ALV2 | AGRP Agouti相关蛋白ELISA检测试剂盒 |
| Sisomicin | GAP-43 生长相关蛋白43ELISA检测试剂盒 |
| 17(R)-Protectin D1 | PF/PFP 穿孔素/成孔蛋白ELISA检测试剂盒 |
| Andropanolide | iNV 套膜蛋白ELISA检测试剂盒 |
| (E/Z)-GSK5182 | MCV 抗突变型瓜氨酸波形蛋白抗ELISA检测试剂盒 |
| N-Palmitoyl-L-glutamine | (RV)antibody ELISA Kit |
| Aureonitol | h-FABP 心型脂肪酸结合蛋白ELISA检测试剂盒 |
| Melittoside | CagA 细胞毒素相关蛋白AELISA检测试剂盒 |
| Resolvin D4 | RPA-70 复制蛋白AELISA检测试剂盒 |
| Maculosin | P 生长激素结合蛋白ELISA检测试剂盒 |
| TG6-129 | TMPH hydrochlorideASGPR 去唾液酸糖蛋白受ELISA检测试剂盒 |
| Trilobatin | UP 尿蛋白ELISA检测试剂盒 |
| AFP-L3 小扁豆素结合型甲胎蛋白/甲胎蛋白异质3ELISA检测试剂盒 | SFMC 可溶性血纤蛋白单复合物ELISA检测试剂盒 |
1.本蛋白酶抑制剂混合物为100×的储存液,使用时按照1:100的比例加入到裂解液中(例如,1ml裂解液中加入10μl蛋白酶抑制剂混合物),混匀后即可使用。根据需要,0.5M的EDTA也按照1:100的比例加入到裂解液中(如用于检测金属蛋白酶活性,则不宜添加EDTA)。含有蛋白酶抑制剂混合物的裂解液宜现用现配,不宜配制后冻存待后续使用。
2. 待所需的抑制剂添加完毕混匀后,就可以开始进行哺乳动物组织的裂解和蛋白提取。
风险提示:丁香通仅作为第三方平台,为商家信息发布提供平台空间。用户咨询产品时请注意保护个人信息及财产安全,合理判断,谨慎选购商品,商家和用户对交易行为负责。对于医疗器械类产品,请先查证核实企业经营资质和医疗器械产品注册证情况。
文献和实验Guanidine Hydrochloride Purification of Proteins From SDS
Pepstatin A (2.0 mg/ml)10 ml Leupeptin (1.0 mg/ml)10 ml Aprotinin (5.0 mg/ml)(Protease Inhibitor Cocktail Sigma #P8340)Denaturation Buffer6 M guanidine hydrochloride 57.3 g G-HCl20 mM Hepes 7.9 2 ml 1M Hepes pH 7.910 mM KCl 0.074 g KCl0.5 mM DTT 100 ml 0.5 M
Guanidine Hydrochloride Purification of Proteins From SDS PAGE
(Sigma #P7626) 10 ml Pepstatin A (2.0 mg/ml) 10 ml Leupeptin (1.0 mg/ml) 10 ml Aprotinin (5.0 mg/ml) (Protease Inhibitor Cocktail Sigma #P8340) Denaturation Buffer 6 M guanidine hydrochloride 57.3 g G-HCl 20 mM Hepes 7.9 2 ml 1M Hepes pH 7.9 10 mM
Packed column subcritical and/or supercritical fluid chromatography (p-sub or pSFC) has been used as a powerful chiral separation technique, whereby a mobile phase produces low viscosity, a high diffusion coefficient, and a solvating power. P
技术资料暂无技术资料 索取技术资料









