万千商家帮你免费找货
0 人在求购买到急需产品
- 详细信息
- 文献和实验
- 技术资料
- 库存:
51
- 英文名:
α-Bungarotoxin
- CAS号:
11032-79-4
- 供应商:
上海莼试
- 保存条件:
Desiccate at -20°C
- 规格:
1mg
1.本蛋白酶抑制剂混合物为100×的储存液,使用时按照1:100的比例加入到裂解液中(例如,1ml裂解液中加入10μl蛋白酶抑制剂混合物),混匀后即可使用。根据需要,0.5M的EDTA也按照1:100的比例加入到裂解液中(如用于检测金属蛋白酶活性,则不宜添加EDTA)。含有蛋白酶抑制剂混合物的裂解液宜现用现配,不宜配制后冻存待后续使用。
2. 待所需的抑制剂添加完毕混匀后,就可以开始进行哺乳动物组织的裂解和蛋白提取。
商品属性:
| 货号 | CS-01Y75413 | 规格 | 1mg |
| CAS号 | 11032-79-4 | 分子量 | 7984.14 |
| 含量 | >98.00% | 别名 | |
| 分子式 | C338H529N97O105S11 | 化学名 | (Z)-2-((1-hydroxy-9a,13,20,21a,25a,26a,30a-heptamethyl-18-oxo-2,3,4a,5,5a,6a,9,9a,10a,11,11a,12a,13,14,14a,15a,16,16a,18,20a, 21a,22,22a,23a,24,25,25a,26a,27,27a,28a,29,29a,30a-tetratriacontahydro-1H-pyrano[2'''''',3'''''':5''''',6''''']pyrano[2''''',3'''' |
| 产地 | 国产 | 用途 | 仅供科研研究实验 |
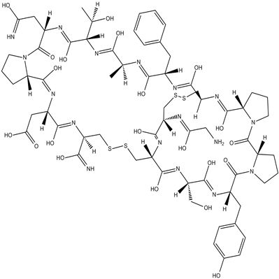
分子式:C338H529N97O105S11
分子量:7984.14
溶解度:Soluble in H2O
储存条件:Desiccate at -20°C
General tips:For obtaining a higher solubility , please warm the tube at 37 ℃ and shake it in the ultrasonic bath for a while.
Shipping Condition:Evaluation sample solution : ship with blue ice All other available size: ship with RT , or blue ice upon request
注意事项:
抗逆滴加序列
每次向板内滴加抗原时,移液器滴头要与平面45度悬空,不要触碰到孔内的液体,由后向前依次滴加(即浓度由低往高滴加)。
抗感染反应期
抗原抗体在室温20~25℃下,必须反应30min以上,若环境温度低于室温,可将微量反应板置于恒温培养箱中,使二者充分反应。
旅游温度
磷酸盐缓冲液的pH值要在高压灭菌后进行滴定,往往在高压后pH值会有所改变,所以高压后再调一次pH值更为准确。磷酸盐缓冲液一经使用保存期不要超过3周。当pH<5.8时,红细胞会产生自凝现象;当pH>7.8时,图形洗脱加快,易造成肉眼观察产生误差;p H=7.2时,红细胞沉降最充分,图形最清晰。
当滴注 1%红细胞悬液时,应经常摇晃红细胞悬液,使红细胞均匀地分布在磷酸缓冲液中,以防止红细胞下降。
反应时间及温度
加入鸡红血球之后,反应板在室温(20~25℃)静置30~40min,对照孔血球下沉于孔底,即可判定结果。若室温达不到实验要求,需相应调整反应时间。当环境温度低于4℃时,红细胞发生自凝;高于37℃时,会发生反应物分离和红细胞溶血。
公司正在出售的产品:
| Senkyunolide I | Cellocidin |
| Stachybotrysin B | 透明质酸结合蛋白(HABP)ELISA Kit |
| Sanguinarine chloride | 骨形成蛋白6(BMP-6)检测试剂盒 |
| doxine HCl | N-乙酰基-丝氨酰-天门冬酰-赖氨酰-脯氨酸(AcSDKP)ELISA检测试剂盒 |
| Tributyrin | 淋巴细胞因子试剂盒 ELISA |
| Oleuropein | 抗血小板抗IgG/M/A(PA-IgG/M/A)ELISA Kit |
| TD52 | Ⅰ型胶原N末端肽(NTX)检测试剂盒 |
| QNZ (EVP4593) | Mouse Lactate Dehydrogenase, LDH Elisa Kit |
| Z-VDVAD-FMK | 钙结合蛋白(CR)ELISA检测试剂盒 |
| Oleic Acid-d17 | 上腺素能a1A受(ADRA1A) 试剂盒 ELISA |
| Z-AEVD-FMK | 多巴胺D1受(D1R)检测试剂盒 |
| Methyl protodioscin | β-防御素(β-DF)ELISA Kit |
| Macitentan-d4 | α-Bungarotoxin雌激素受(ER) ELISA检测试剂盒 |
| Saroglitazar | 幽门螺旋IgG(Hp-IgG)试剂盒 ELISA |
| 戊糖素(Pentosidine)ELISA检测试剂盒 | 中性粒细胞明胶酶相关脂质运载蛋白(NGAL)检测试剂盒 |
风险提示:丁香通仅作为第三方平台,为商家信息发布提供平台空间。用户咨询产品时请注意保护个人信息及财产安全,合理判断,谨慎选购商品,商家和用户对交易行为负责。对于医疗器械类产品,请先查证核实企业经营资质和医疗器械产品注册证情况。
文献和实验银环蛇霉素 bungarotoxin 为产于东南亚的毒蛇 Bungarus multicinctus的蛇毒,含有数种神经毒素。其中α -银环蛇毒素(分子量 7983)因与突触后侧的烟碱性乙酰胆碱受体发生特异的结合。所以可切断神经肌肉接点的突触传递;而β -银环蛇毒素( A链分子量为 13500, B链分子量为 7000),由于可抑制神经末梢小体释放传递物质。所以影响突触传导。β -银环蛇毒素具有强烈的磷酸酶 A2 活性,但只有在有钙离子存在的条件下才显活性。此外还有 r-银环
α-酮戊二酸脱氢酶 α-ketoglutarate dehy-drogenase
三羧酸循环中的一种酶。是一种催化α -酮戊二酸琥珀酰 CoA反应的复合酶,需要 NAD和 CoA为辅基。 EC. 1. 2. 4、 2 α -酮戊二酸 CoA NAD 琥珀酰 CoA NADH H 此外,尚有 TPP、核酸、 FAD参予反应。整个反应机制与丙酮酸脱氢酶催化的反应极为相似。分子量约 250万。 主要为 3种单位酶组成:α -酮戊二酸酶(硫辛酰胺)( EC1. 2. 4. 2产生琥珀二氢核糖酸,分子
甾类(化合物)17α-羟化酶 steroid 17α-hy- droxylase,s eroid 17α-monooxygeoase
甾类(化合物)17α-羟化酶 steroid 17α-hy- droxylase,s eroid 17α-monooxygeoase 存在于睾丸、肾上腺的微粒体部分。是一种在甾类分子的17α位置上引入羟基的酶。EC1、14、99、9。需要有分子态氧和NADPH存在,与P-450有关。例如将黄体酮和孕(甾)烯醇酮各自成为17α-羟基黄体酮和17α-羟基孕烯醇酮。在鼠的肾上腺中不存在此酶。
技术资料暂无技术资料 索取技术资料








