相关产品推荐更多 >
万千商家帮你免费找货
0 人在求购买到急需产品
- 详细信息
- 文献和实验
- 技术资料
- 库存:
29
- 英文名:
Prostaglandin D3
- CAS号:
71902-47-1
- 供应商:
上海莼试
- 保存条件:
Store at -20°C
- 规格:
25μg 50μg 100μg
| 货号 | CS-01Y77088 | 规格 | 25μg 50μg 100μg |
| CAS号 | 71902-47-1 | 分子量 | 350.5 |
| 含量 | >98.00% | 别名 | N/A |
| 分子式 | C20H30O5 | 化学名 | N/A |
| 产地 | 国产 | 用途 | 仅供科研研究实验 |
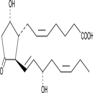
分子式:C20H30O5
分子量:350.5
溶解度:DMF: >100 mg/ml (from PGD2),DMSO: >50 mg/ml (from PGD2),Ethanol: >75 mg/ml (from PGD2),PBS pH 7.2: >5 mg/ml (from PGD2)
储存条件:Store at -20°C
General tips:For obtaining a higher solubility , please warm the tube at 37 ℃ and shake it in the ultrasonic bath for a while.
Shipping Condition:Evaluation sample solution : ship with blue ice All other available size: ship with RT , or blue ice upon request
Prostaglandin D3 (PGD3) is produced by the metabolism of EPA via the COX pathway. It is equipotent to PGD2 in decreasing systemic blood pressure in rats and in decreasing intraocular pressure in rabbits. However, it is 3-5 times more potent than PGD2 in the inhibition of ADP-induced human platelet aggregation.
注意事项:
抗逆滴加序列
每次向板内滴加抗原时,移液器滴头要与平面45度悬空,不要触碰到孔内的液体,由后向前依次滴加(即浓度由低往高滴加)。
抗感染反应期
抗原抗体在室温20~25℃下,必须反应30min以上,若环境温度低于室温,可将微量反应板置于恒温培养箱中,使二者充分反应。
旅游温度
磷酸盐缓冲液的pH值要在高压灭菌后进行滴定,往往在高压后pH值会有所改变,所以高压后再调一次pH值更为准确。磷酸盐缓冲液一经使用保存期不要超过3周。当pH<5.8时,红细胞会产生自凝现象;当pH>7.8时,图形洗脱加快,易造成肉眼观察产生误差;p H=7.2时,红细胞沉降最充分,图形最清晰。
当滴注 1%红细胞悬液时,应经常摇晃红细胞悬液,使红细胞均匀地分布在磷酸缓冲液中,以防止红细胞下降。
反应时间及温度
加入鸡红血球之后,反应板在室温(20~25℃)静置30~40min,对照孔血球下沉于孔底,即可判定结果。若室温达不到实验要求,需相应调整反应时间。当环境温度低于4℃时,红细胞发生自凝;高于37℃时,会发生反应物分离和红细胞溶血。
使用方法:
1.本蛋白酶抑制剂混合物为100×的储存液,使用时按照1:100的比例加入到裂解液中(例如,1ml裂解液中加入10μl蛋白酶抑制剂混合物),混匀后即可使用。根据需要,0.5M的EDTA也按照1:100的比例加入到裂解液中(如用于检测金属蛋白酶活性,则不宜添加EDTA)。含有蛋白酶抑制剂混合物的裂解液宜现用现配,不宜配制后冻存待后续使用。
2. 待所需的抑制剂添加完毕混匀后,就可以开始进行哺乳动物组织的裂解和蛋白提取。
公司正在出售的产品:
| Heptaminol | PDE10-IN-1 |
| Tris DBA | 白细胞免疫球蛋白样受亚家族B成员4(LILRB4)检测试剂盒 |
| MK-8245 | C型凝集素结构域家族4成员E(CLEC4E)试剂盒 ELISA |
| Mirodenafil dihydrochloride | 淋巴细胞抗原6复合物基因座A(Ly6a)ELISA Kit |
| AUTEN-99 | 假定蛋白LOC677168 ELISA检测试剂盒 |
| NHE3-IN-1 | 嗜酸性白血球相关之RNA水解酵素家族成员1(EAR1)检测试剂盒 |
| Nonivamide | 混合系列蛋白激酶样结构域(MLKL)试剂盒 ELISA |
| Mirogabalin besylate (DS 5565 besylate) | chlamydial protease-like activity factor, CPAF Elisa Kit |
| PNU 37883 hydrochloride | 组织相容性2-K1-K 区(H2-K1)ELISA Kit |
| 9-AC | 干扰素活化基因205(Ifi205)ELISA检测试剂盒 |
| Diphenyleneiodonium chloride | 髓样分化因子初次应答基因88(MYD88)试剂盒 ELISA |
| Rapastinel Trifluoroacetate (GLYX-13 Trifluoroacetate) | 假定蛋白LOC433328 检测试剂盒 |
| H-D-Met-OH | Prostaglandin D3假定蛋白LOC677340 ELISA Kit |
| IDO-IN-3 | ras同源物基因家族成员b(RHOB)ELISA检测试剂盒 |
| 类似RIKEN cDNA 3110050K21 基因 ELISA Kit | 类似RIKEN cDNA 2010109K09 基因 试剂盒 ELISA |
风险提示:丁香通仅作为第三方平台,为商家信息发布提供平台空间。用户咨询产品时请注意保护个人信息及财产安全,合理判断,谨慎选购商品,商家和用户对交易行为负责。对于医疗器械类产品,请先查证核实企业经营资质和医疗器械产品注册证情况。
文献和实验人25羟维生素D3(25(OH)D3)酶联免疫分析(ELISA)
人 25羟维生素D3(25(OH)D3) 酶联免疫 分析( ELISA ) 试剂 盒使用说明书 本试剂仅供研究使用 目的:本试剂盒用于测定人血清,血浆及相关液体样本中25羟维生素D3(25(OH)D3)含量。 实验原理 : 本试剂盒应用双抗体夹心法测定 标本 中 人25 羟维生素 D3 ( 25(OH)D3 ) 水平。用纯化的 人25 羟维生素 D3 ( 25(OH)D3 ) 抗体包被微孔板,制成固相抗体,往包
广泛存在于哺乳动物和人体的一组重要的活性物质。 1930年,尤勒( von Enler)发现,人、猴、羊的精液中存在一种使平滑肌兴奋和血压降低的物质,当时设想此物质可能是由前列腺所分泌,命名为前列腺素。但实际上,前列腺分泌物中所含前列腺活性物质不多,为误称。现证明,精液中前列腺素主要来自精囊,并证明前列腺素是内分泌中的一大类。 前列腺素的化学本质为具 20个碳原子的不饱和脂肪酸。构成 PG的基本骨架为前列烷酸,具一个环五烷核心和两条侧链。根据五元环或整个
vitamin D3 analogs, it is reasonable to target the screening methods on the steps mentioned above.
技术资料暂无技术资料 索取技术资料









