万千商家帮你免费找货
0 人在求购买到急需产品
- 详细信息
- 文献和实验
- 技术资料
- 库存:
41
- 英文名:
Latanoprost (free acid)-d4
- CAS号:
1224443-47-3
- 供应商:
上海莼试
- 保存条件:
Store at -20°C
- 规格:
50 μg 100 μg 500 μg 1 mg
规格:50 μg 100 μg 500 μg 1 mg
CAS:1224443-47-3
别名:N/A
化学名:N/A
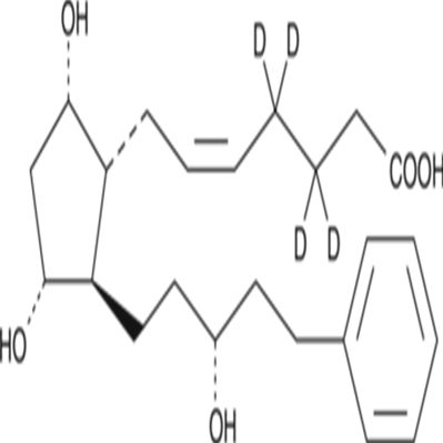
Latanoprost (free acid)-d4分子式:C23H30D4O5
分子量:394.5
溶解度:DMF: 50 mg/ml,DMSO: 50 mg/ml,Ethanol: 100 mg/ml,PBS (pH 7.2): .5 mg/ml
储存条件:Store at -20°C
General tips:For obtaining a higher solubility , please warm the tube at 37 ℃ and shake it in the ultrasonic bath for a while.
Shipping Condition: Evaluation sample solution : ship with blue ice All other available size: ship with RT , or blue ice upon request
本产品仅供科学实验研究使用! 不能用于临床或动物诊断!
| 产品名称 | Latanoprost (free acid)-d4 | 产品货号 | CS-01Y76847 |
| 规格 | 50 μg 100 μg 500 μg 1 mg | CAS号 | 1224443-47-3 |
| 含量 | >99.00% | 分子式 | C23H30D4O5 |
| 分子量 | 394.5 | 用途 | 仅供科研研究使用 |
Latanoprost (free acid)-d4 (Lat-FA-d4) contains four deuterium atoms at the 3, 3, 4, and 4 positions. It is intended for use as an internal standard for the quantification of Lat-FA by GC- or LC-mass spectrometry. Latanoprost is an F-series prostaglandin (PG) analog which has been approved for use as an ocular hypotensive drug.1 It is the isopropyl ester of a PGF2α analog containing an aromatic group (17-phenyl) in the ω-chain. As an isopropyl ester, latanoprost acts as a prodrug which is converted to Lat-FA by endogenous esterase enzymes. Lat-FA is a potent FP receptor agonist with an EC50 value of 3.6 nM for human FP receptors, which is twice the potency of PGF2α and more than 200 times more potent latanoprost.2 The efficacy of PG analog esters for the treatment of glaucoma correlates closely with the FP receptor binding affinity of the free acid.3 However, Lat-FA is more irritating and less effective than the prodrug latanoprost when applied directly to the eyes of human glaucoma patients.41.Stjernschantz, J., and Resul, B.Phenyl substituted prostaglandin analogs for glaucoma treatmentDrugs of the Future17691-704(1992) 2.Abramovitz, M., Adam, M., Boie, Y., et al.The utilization of recombinant prostanoid receptors to determine the affinities and selectivities of prostaglandins and related analogsBiochim. Biophys. Acta1483(2)285-293(2000) 3.Camras, C.B., Alm, A., Watson, P., et al.Latanoprost, a prostaglandin analog, for glaucoma therapy. Efficacy and safety after 1 year of treatment in 198 patientsOphthalmology1031916-1924(1996) 4.Sugamoto, K., Matsushita, Y.i., and Matsui, T.Facile and general method for preparation of (E)-4-hydroxy-2-alkenalsLipids32903-905(1997)
使用方法:
1. 常用筛选浓度
注意:用来筛选稳转株的工作浓度需要根据细胞类型,培养基,生长条件和细胞代谢率而变化,推荐使用浓度为50-1000μg/mL。对于第一次使用的实验体系建议通过建立杀灭曲线(kill curve),即剂量反应性曲线,来确定最佳筛选浓度。
一般而言,哺乳动物细胞50-500μg/mL;细菌/植物细胞20-200μg/mL;真菌300-1000μg/mL。
2. 杀灭曲线的建立
注意:为了筛选得到稳定表达目的蛋白的细胞株,需要确定能够杀死未转染宿主细胞的抗生素浓度,可通过建立杀灭曲线(剂量反应曲线)来实现,至少选择5个浓度。
1) 第一天:未转化的细胞按照20-25%的细胞密度铺在合适的培养板上,37℃,CO2培养过夜;注:对于需要更高密度来检测活力的细胞,可增加接种量。
2) 根据细胞类型,设定合适范围内的浓度梯度。以哺乳动物细胞为例,可设定50,100,250,500,750,1000μg/mL。先用去离子水或者PBS buffer按照1:10的比例将母液稀释到5 mg/ml,然后按照下表稀释到相应浓度的工作液。
3) 第二天:替换旧的培养基,换用新鲜配制的含有相应浓度药物的培养基。每个浓度做三个平行孔。
4) 接下来每3-4天更换新的含药物培养基。
5) 按照固定的周期(如每2天)进行活细胞计数来确定阻止未转染细胞生长的恰当浓度。选择在理想的天数(通常是7-10天)内能够杀死绝大多数细胞的浓度为稳定转染细胞筛选用的工作浓度。
3. 稳定转染细胞的筛选
1) 转染48h后,用含有适当浓度的潮霉素B筛选培养基来传代细胞(直接传代或者稀释后传代)。
注意:细胞处于活跃分裂状态时抗生素的杀伤。则当细胞过于稠密,其效率会降低。为了得到较好的筛选效果,最好将细胞稀释至丰度不超过25%
2) 每隔3-4天更换含有药物的筛选培养液。
3) 筛选7天后观察并评估细胞克隆(集落)的形成情况。集落的形成可能还需要一周或者更多的时间,这取决于宿主细胞类型,转染,以及筛选效果。
4) 挑取并转移5-10个抗性克隆于35mm细胞培养板,继续用含药物的筛选培养液维持培养7天。
5) 之后更换正常培养基培养即可。
蛋白酶抑制剂混合物实验步骤:
(1)实验开始前将RNA提取液于65℃水浴锅中预热,离心管中加入ME(巯基乙醇),(10mL加80ul,50mL中加入300ul)
(2)取约0.8g菌丝体(液体培养获得的菌丝用真空抽滤即可!固体培养就更好说了),在液氮中迅速磨成精细粉末,装入50mL离心管,按1g材料8mL的量加入预热的RNA提取液,颠倒混匀
(3)65℃水浴3-10 min,期间混匀2-3次
(4)加入等体积的酚(注意是酸酚pH4.5)::yi戊醇(25:24:1)抽提(10,000rpm,4℃,5 min)
(5)取上清,等体积的yi戊醇(24:1)抽提(10,000rpm,4℃,5 min)
(6)加入1/4V体积10M LiCl溶液,4℃放置6h以上(或过夜)
(7)10,000rpm,4℃离心20min
(8)弃上清,用500ul SSTE溶解沉淀
(9)酚::yi戊醇(25:24:1)抽提两次,:yi戊醇(24:1)抽提1次(10,000rpm,4℃,5min)
(10)加2V体积的无水乙醇,在-70℃冰箱沉淀30min以上
(11)12,000rpm,4℃离心20 min
(12)弃上清.沉淀用70%酒精漂洗一次,干燥
(13)加200ul的DEPC处理水溶解
(14)用非变性琼脂糖凝胶电泳和紫外分光光度计扫描检测RNA的质量(在抽提过程中,若蛋白质含量或其它的杂质还较多,可以增加抽提次数)
公司正在出售的产品:
| Tricyclazole | Batabulin |
| Delphinidin (chloride) | 基质金属蛋白酶3/基质裂解素1(MMP3/STR1)检测试剂盒 |
| CRT0066101 dihydrochloride | 基质金属蛋白酶25(MMP25)试剂盒ELISA |
| Irbesartan | 基质金属蛋白酶1酶原(Pro-MMP-1)检测试剂盒 |
| Pralatrexate | 基质金属蛋白酶2/明胶酶A(MMP-2/Gelatinase A)检测试剂盒elisa |
| Triglycidyl isocyanurate | 基质金属蛋白酶14(MMP-14)试剂盒ELISA |
| ZM 447439 | 基质金属蛋白酶12(MMP-12)ELISA检测试剂盒 |
| Hematein | Electron Transferring Flavoprotein Dehydrogenase(ETFDH)ELISA Kit |
| C6 Urea Ceramide | 基质金属蛋白酶9/明胶酶B(MMP-9/Gelatinase B)ELISA检测试剂盒 |
| Decitabine(NSC127716, 5AZA-CdR) | 基质细胞衍生因子1a(SDF1A)试剂盒ELISA |
| BCL6-IN-4 | 基质细胞衍生因子1β(SDF-1β/SDF1B)检测试剂盒 |
| MPI-0441138 | 激肽释放酶1(KLK 1)检测试剂盒elisa |
| Scopoletin (Gelseminic acid) | Latanoprost (free acid)-d4激肽释放酶10(KLK 10)试剂盒ELISA |
| A 33 | 激肽释放酶11(KLK 11)检测试剂盒 |
| 激肽释放酶7(KLK 7)检测试剂盒 | 激肽释放酶2(hK 2)ELISA检测试剂盒 |
风险提示:丁香通仅作为第三方平台,为商家信息发布提供平台空间。用户咨询产品时请注意保护个人信息及财产安全,合理判断,谨慎选购商品,商家和用户对交易行为负责。对于医疗器械类产品,请先查证核实企业经营资质和医疗器械产品注册证情况。
文献和实验β-咪唑丙烯酸。给予狗大量的组氨酸后可从尿中得到,还有细菌作用于组氨酸也能生成尿刊酸。在哺乳类的肝脏或细菌中作为从组氨酸到谷氨酸的代谢途径的中间体,在组氨酸酶的作用下进行分子内的无氧脱氨基而生成。通常尿刊酸在肝脏酶(尿刊酸酶)的作用下进一步分解转变成谷氨酸。
C24 H40 O5 3α, 7α, 12α三羟基 -5 β胆烷酸,是广泛分布于以人为首的脊椎动物中的最主要的胆汁酸。在胆汁中,以与甘氨酸或牛磺酸结合成甘胆酸( glycocholic acid)或牛磺胆酸的形态存在。
α -羟基丙酸。 L型(见图)为厌氧糖酵解的最终产物,是由乳酸脱氧酶的作用使丙酮酸还原而生成的。在激烈的肌肉运动时,乳酸在肌肉中积累,其一部分随血液流到肝脏,再合成为葡萄糖(糖的产生)。在乳酸菌的乳酸发酵和大肠杆菌、梭状芽胞杆菌属的混合有机酸发酵过程中也能大量形成乳酸,为酸乳酪( yoghurt)和咸菜的酸味的主要成分。这里因生物种类不同,有时可产生 L型、 D型和外消旋体。在动物和微生物中是作为碳源而被利用的物质之一。
技术资料暂无技术资料 索取技术资料









