万千商家帮你免费找货
0 人在求购买到急需产品
- 详细信息
- 技术资料
- 保存条件:
RT
- 保质期:
2年
- 英文名:
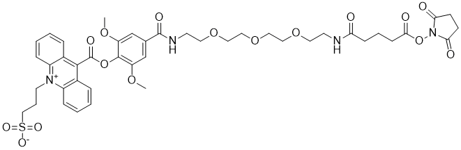
3-(9-((4-((17-((2,5-dioxopyrrolidin-1-yl)oxy)-13,17-dioxo-3,6,9-trioxa-12-azaheptadecyl)carbamoyl)-2,6-dimethoxyphenoxy)carbonyl)acridin-10-ium-10-yl)propane-1-sulfonate
- 供应商:
西宝生物400-021-8158
- 规格:
1g
中文名:口丫口定酯NSP-DMOAE-PEG-GT-NHS
英文名:3-(9-((4-((17-((2,5-dioxopyrrolidin-1-yl)oxy)-13,17-dioxo-3,6,9-trioxa-12-azaheptadecyl)carbamoyl)-2,6-dimethoxyphenoxy)carbonyl)acridin-10-ium-10-yl)propane-1-sulfonate
分子式:C43H50N4O16S
分子量:910.94
|口丫口定酯NSP-DMOAE-PEG-GT-NHS是一种高效的化学发光免疫分析标记物。

风险提示:丁香通仅作为第三方平台,为商家信息发布提供平台空间。用户咨询产品时请注意保护个人信息及财产安全,合理判断,谨慎选购商品,商家和用户对交易行为负责。对于医疗器械类产品,请先查证核实企业经营资质和医疗器械产品注册证情况。
技术资料暂无技术资料 索取技术资料
口丫口定酯NSP-DMOAE-PEG-GT-NHS
询价







