万千商家帮你免费找货
0 人在求购买到急需产品
- 详细信息
- 技术资料
- 现货状态:
有现货
- 产品用途:
mRNA疫苗LNP递送载体
- 曾用名:
1,2-二油醇-3-二甲基氨基-丙烷
- 供应商:
厦门赛诺邦格
- 库存:
大量
- 英文名:
1,2-Dioleyloxy-3-dimethylamino propane
厦门赛诺邦格生物科技股份有限公司致力于药物释放系统工作,总部位于中国厦门。赛诺邦格提供高质量PEG衍生物,具有产品结构新颖多样,取代基团丰富,端基取代率高等特点。聚乙二醇及其衍生物是目前为数不多的通过美国FDA认证的可用于生物医药产品的聚合物。官能化聚乙二醇在药物聚乙二醇化、生物医学技术、纳米技术、聚合物工程等领域具有广泛应用,其中在药物聚乙二醇化方面的应用尤为重要。
该产品受到第三方专利的保护,本公司不直接提供该产品,提供符合专利法的技术咨询及服务。如有需求可留言联系我司。
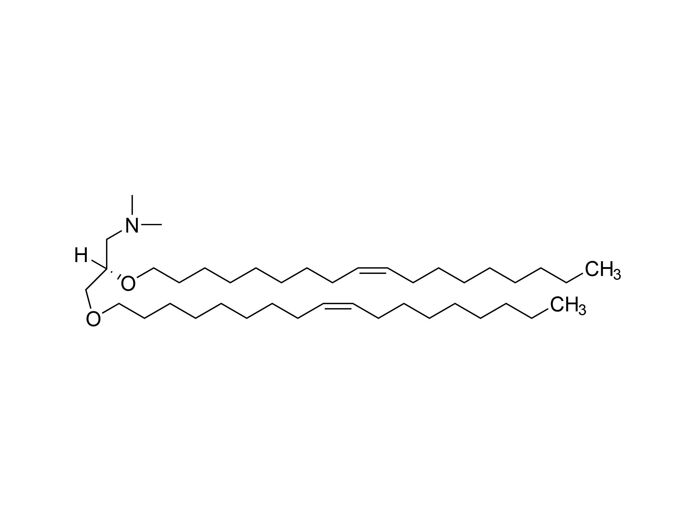
产品中文名称:1,2-二油醇-3-二甲基氨基-丙烷
产品英文名称:1,2-Dioleyloxy-3-dimethylamino propane
产品英文简称:DODMA
CAS:104162-47-2
产品用途:mRNA疫苗LNP递送载体
产品结构式:

风险提示:丁香通仅作为第三方平台,为商家信息发布提供平台空间。用户咨询产品时请注意保护个人信息及财产安全,合理判断,谨慎选购商品,商家和用户对交易行为负责。对于医疗器械类产品,请先查证核实企业经营资质和医疗器械产品注册证情况。
技术资料暂无技术资料 索取技术资料
DODMA
询价









