相关产品推荐更多 >
万千商家帮你免费找货
0 人在求购买到急需产品
- 详细信息
- 文献和实验
- 技术资料
- 库存:
999
- 英文名:
HA-PLA
- 保质期:
一年
- 供应商:
深圳市魅罗科技有限公司
- 保存条件:
﹣20°保存
- 规格:
50mg
关键产品信息
中文名称:透明质酸-聚乳酸
简称 : HA-PLA
品牌: 魅罗科技(MeloPEG)
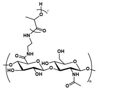
结构
纯度:95%
HA分子量 :3k/5k/7k/10k/50k/100k/200k/300k/400k/500k/1000kk...,其他分子量咨询客服
注意事项
保持干燥
存储条件
-20℃以下冰冻、干燥
应用
聚乳酸(PLA)是一种广泛使用的生物降解聚合物,具有出色的生物相容性和生物降解性,使其成为医疗应用中的热门材料。结合透明质酸(HA)和聚乳酸(PLA),形成的HA-PLA复合材料在药物递送系统中具有独特的功能和优势。
聚乳酸(PLA)的特点
生物降解性:PLA在生物体内能够通过水解过程自然降解成乳酸,随后乳酸可进一步代谢为水和二氧化碳。这种降解性质使其在需要临时支架或载体的医疗应用中非常有用。
生物相容性:PLA非常适合医疗用途,因为它几乎不引起免疫反应,且对人体组织友好。
机械性质:PLA具有良好的机械强度和加工灵活性,可以加工成各种形态,如纤维、膜、微粒等,适应不同的应用需求。
调节降解速率:通过改变PLA的分子量和聚合方式,可以控制其降解速率,从而适应不同的临床需求。
以下是HA-PLA的一些主要应用领域:
外科植入物
生物降解植入物:例如,用于骨科或软骨修复的螺钉和板材,这些材料可以在完成其支持功能后逐渐被生物体吸收,减少了需二次手术取出的需求。
伤口管理
伤口敷料:HA-PLA可以制成促进伤口愈合的敷料,利用HA的保湿和促进细胞迁移的特性以及PLA的结构性,支持伤口的自然愈合过程。
美容和整形
皮肤填充剂:利用HA的高保湿特性和PLA的结构支持特性,HA-PLA可以用作皮肤填充剂,用于改善皮肤的外观,如减少皱纹或修复皮肤缺陷。
眼科应用
眼科手术材料:HA-PLA由于其生物相容性和适当的机械性质,适合用作眼科手术中的支持材料,如用于角膜修复手术。
相关目录:
HA-PLA 透明质酸-聚乳酸
HA-PLGA 透明质酸-聚乳酸-羟基乙酸共聚物
HA-SS-PLGA 透明质酸-二硫键-聚乳酸-羟基乙酸共聚物
HA-PLL 透明质酸-聚赖氨酸
HA-PCL 透明质酸-聚已内酯
HA-SS-PLA 透明质酸-二硫键-聚乳酸
风险提示:丁香通仅作为第三方平台,为商家信息发布提供平台空间。用户咨询产品时请注意保护个人信息及财产安全,合理判断,谨慎选购商品,商家和用户对交易行为负责。对于医疗器械类产品,请先查证核实企业经营资质和医疗器械产品注册证情况。
文献和实验PLA技术全称为Proximity Ligation Assay,国内译为邻位连接或者邻近连接技术。PLA技术是一种特殊的免疫分析方法,可用于检测目标蛋白,蛋白相互作用等等。该方法通过一对标记有一段寡聚脱氧核苷酸(单链DNA)的单克隆或者多克隆抗体的探针,即PLA probe(探针),识别目的蛋白,当这两个探针识别同一个蛋白时,两个探针之间的距离靠近,产生了所谓的邻近效应(proximity)。此时,通过加入一段分别与连接在抗体上的DNA互补的连接寡聚脱氧核苷酸(connector
大鼠透明质酸 (HA) 酶联免疫分析( ELISA ) 试剂盒使用说明书 本试剂仅供研究使用 目的:本试剂盒用于测定大鼠血清,血浆及相关液体样本中 透明质酸(HA) 含量。 实验原理: 本试剂盒应用双抗体夹心法测定标本中 大鼠透明质酸 (HA) 水平。用纯化的 大鼠透明质酸 (HA) 抗体 包被微孔板,制成固相抗体,往包被单抗的微孔中加入 大鼠透明质酸 (HA) ,再与 HRP 标记
Cetyltrimethylammoniumbromide(CTAB)Pla
Procedure 1. Grind 2 to 5 g of frozen leaves to a very fine powder with a liquid
技术资料暂无技术资料 索取技术资料










