相关产品推荐更多 >
万千商家帮你免费找货
0 人在求购买到急需产品
- 详细信息
- 询价记录
- 文献和实验
- 技术资料
- 库存:
999
- 英文名:
HA-PEG-N3
- 保质期:
一年
- 供应商:
深圳市魅罗科技有限公司
- 保存条件:
﹣20°保存
- 规格:
50mg
关键产品信息
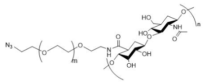
中文名称: 透明质酸-聚乙二醇-叠氮
简称 : HA-PEG-N3
品牌: 魅罗科技(MeloPEG)
结构
纯度:95%
HA分子量 :3k/5k/7k/10k/50k/100k/200k/300k/400k/500k/1000kk...,其他分子量咨询客服
注意事项
保持干燥
存储条件
-20℃以下冰冻、干燥
应用
HA-PEG-N3(透明质酸-聚乙二醇-叠氮)是一种功能化的生物材料,结合了透明质酸(HA)、聚乙二醇(PEG)和叠氮(N3)官能团的特性。这种材料通过在HA-PEG聚合物的基础上引入叠氮基团,增加了其在生物医学应用中的化学活性和功能化潜力。叠氮基团(N3)是一种活性的点击化学(click chemistry)反应部分,使得这种材料在生物医学研究和临床应用中具有广泛的应用前景。
以下是叠氮基团在HA-PEG-N3中的主要作用:
1. 促进快速、选择性的化学修饰
点击化学反应:叠氮基团可以进行叠氮-炔(Azide-alkyne)环加成反应,这是一种铜催化的点击化学反应,通常用于快速且选择性地连接分子。通过这种反应,可以将药物、探针、标记或其他功能分子高效地接枝到HA-PEG的骨架上。
2. 增强生物材料的功能化
多功能化:叠氮基团的存在使得HA-PEG-N3成为一个高度可定制的平台,能够根据特定的医疗和研究需要引入不同的生物活性分子,如生长因子、肽、抗体等,从而增强其在组织工程和药物递送中的应用性。
3. 提高药物递送系统的效率
靶向递送和控制释放:利用点击化学,可以精确控制药物分子的装载和释放。这种方法允许开发出能够响应体内特定环境变化(如pH、温度变化或酶的存在)的智能药物递送系统。
4. 支持组织工程应用
支架材料的定制:通过点击化学可以在HA-PEG-N3支架中引入细胞黏附位点或其他信号分子,优化支架的生物功能,支持细胞生长和组织形成。
5. 增强诊断工具的性能
生物传感和诊断:叠氮基团使HA-PEG-N3能够快速结合诊断标记物或传感器探针,用于开发高灵敏度的生物诊断平台,这些平台可以用于检测和监测各种生物标志物。
相关目录:
HA-PEG-Alkyne 透明质酸-聚乙二醇-炔基
HA-PEG-Biotin 透明质酸-聚乙二醇-生物素
HA-PEG-FA 透明质酸-聚乙二醇-叶酸
HA-PEG-PCL 透明质酸-聚乙二醇-聚已内酯
N3-PEG-NH2 叠氮-聚乙二醇-氨基
N3-PEG-COOH 叠氮-聚乙二醇-羧基
N3-PEG-SH 叠氮-聚乙二醇-巯基
风险提示:丁香通仅作为第三方平台,为商家信息发布提供平台空间。用户咨询产品时请注意保护个人信息及财产安全,合理判断,谨慎选购商品,商家和用户对交易行为负责。对于医疗器械类产品,请先查证核实企业经营资质和医疗器械产品注册证情况。
- 作者
- 内容
- 询问日期
文献和实验Studies of the Ubiquitin Proteasome System
6.1 ) and autoradiography (unit 6.3 ) Alternate Protocol 3: Inhibition of HECT Domain E3s by Alkylation of Active‐Site Cysteines Alkylating agents: 10 mM iodoacetamide (IAA) or 5 mM N‐ethylmaleamide (NEM) in Tris⋅Cl, pH
Attachment of Nitroxide Spin Labels to Nucleic Acids for EPR
CAP B: acetic anhydride (puriss. p.a. ACS >99%; Riedel‐de Haën), 10% in acetonitrile 3% dichloroacetic acid (puriss. 99%; Fluka) in absolute CH 2 Cl
Identification and Analysis of Multiprotein Complexes Through Chemical Crosslinking
Materials 600 mM N‐[(2‐pyridyldithio)ethyl]‐4‐azidosalicylamide (PEAS) stock solution: prepare by dissolving the solid compound (Invitrogen) in DMSO; store up to 2 years at −
技术资料暂无技术资料 索取技术资料









