相关产品推荐更多 >
万千商家帮你免费找货
0 人在求购买到急需产品
- 详细信息
- 文献和实验
- 技术资料
- 保存条件:
2-8°C储存;充氩
- 英文名:
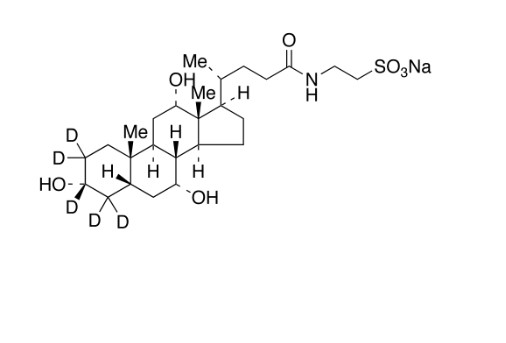
Taurocholic Acid-d5 Sodium Salt
- 库存:
现货
- 供应商:
上海阿拉丁生化科技股份有限公司
- CAS号:
81-24-3
- 规格:
T354001-1mg
英文名:Taurocholic Acid-d5 Sodium Salt
纯度或规格:Moligand™, ≥95 atom% D,≥95%
SPU:T354001
CAS:81-24-3
存储温度:2-8°C储存;充氩
运输条件:低温运输
查看阿拉丁官网此产品相关对应页面:
风险提示:丁香通仅作为第三方平台,为商家信息发布提供平台空间。用户咨询产品时请注意保护个人信息及财产安全,合理判断,谨慎选购商品,商家和用户对交易行为负责。对于医疗器械类产品,请先查证核实企业经营资质和医疗器械产品注册证情况。
文献和实验≥95 ≥90 0 20 ≥90 ≥85 1 48
Advantages Cat. No. Taq DNA Polymerase •Sequencing•Safeguarding sample•In vitro transcription TOPO® Cloning(5 minutes) Topoisomerase TOPO TA Cloning® Kit •≥95
培养 24 - 48 h,细胞汇合度达到 80% - 95% 左右时收取上清,该上清液即可用于提取外泌体。 使用外泌体专用无血清培养基: 待细胞汇合度~50%时,移去原有完全培养基,添加新培养基进行培养,新培养基由 50% 外泌体专用无血清培养基 + 50% 完全培养基组成; 待细胞生长汇合度约为70-80%时,移去培养基; 使用1×PBS溶液将细胞润洗2-3次; 加入外泌体专用无血清培养基继续培养24 - 48 h,待细胞汇合度到 80% - 95% 时收取细胞培养上清液,该上清液即可用于外泌
技术资料暂无技术资料 索取技术资料








![(R)-磷酸单-[2-氨基-2-(6-辛基-1H-苯并咪唑-2-基)-乙基]酯,787582-98-3,≥99%,阿拉丁](https://img1.dxycdn.com/p/s14/2025/1231/884/8022070035947536002.png!wh200)


