相关产品推荐更多 >
万千商家帮你免费找货
0 人在求购买到急需产品
- 详细信息
- 文献和实验
- 技术资料
- 英文名:
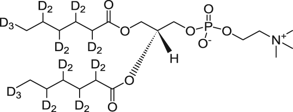
1,2-dihexanoyl-d22-sn-glycero-3-phosphocholine
- 库存:
期货
- 供应商:
上海阿拉丁生化科技股份有限公司
- CAS号:
328946-18-5
- 规格:
D130233-25mg/D130233-10mg/D130233-100mg
| 规格: | D130233-25mg | 产品价格: | ¥2977.9 |
|---|---|---|---|
| 规格: | D130233-10mg | 产品价格: | ¥1582.9 |
| 规格: | D130233-100mg | 产品价格: | ¥7912.9 |
英文名:1,2-dihexanoyl-d22-sn-glycero-3-phosphocholine
纯度或规格:0
SPU:D130233
CAS:328946-18-5
存储温度:-
运输条件:常规运输
查看阿拉丁官网此产品相关对应页面:
风险提示:丁香通仅作为第三方平台,为商家信息发布提供平台空间。用户咨询产品时请注意保护个人信息及财产安全,合理判断,谨慎选购商品,商家和用户对交易行为负责。对于医疗器械类产品,请先查证核实企业经营资质和医疗器械产品注册证情况。
文献和实验DSRIE 溴化二甲基-2-羟乙基-2,3-双十八烷氧基丙基铵 DMRIE 溴化二甲基-2-羟乙基-2,3-双十四烷氧基丙基铵 DOGS N-(2-精胺甲酰基)-N’, N’ -双十八烷基甘氨酰胺 DOSC 1,2-二油酰-3-琥珀酰-sn-甘油胆碱酯 DC-Chol
。其中磷脂酶A?2能使甘油磷脂分子中第2位酯键水解,产物为溶血磷脂及不饱和脂肪酸,此脂肪酸多为花生四烯酸,Ca2+为此酶的激活剂。此溶血磷脂是一类较强的表面活性物质,能使细胞膜破坏引起溶血或细胞坏死。再经溶血磷脂酶继续水解后,即失去溶解细胞膜的作用。 (二)鞘磷脂的代谢 主要结构为鞘氨醇,1分子鞘氨醇通常只连1分子脂肪酸,二者以酰胺链相连,而非酯键。再加上1分子含磷酸的基团或糖基,前者与鞘氨醇以酯键相连成鞘磷脂,后者以β糖苷键相连成鞘糖脂,含量最多的神经鞘磷脂即是以磷酸胆碱,脂肪
部分的β碳原子是手性碳原子,因而有D型和L型两种构型。自然界存在的是L型的。 自然界的磷脂酰胆碱是几种磷脂酰胆碱的混合物,主要是组分中的脂肪酸不同,经水解后得到甘油、脂肪酸、磷酸和胆碱。常见于磷脂酰胆碱中的脂肪酸有棕榈酸、硬脂酸、油酸、亚油酸、亚麻酸及花物四烯酸等。某些毒蛇的毒汁中含有一种磷脂酶,能使β位脂肪酰基水解脱落,生成溶血磷脂酰胆碱,从而破坏了细胞膜,引起溶血。 (二)磷脂酰乙醇胺(脑磷脂) 磷脂酰乙醇胺在脑组织中含量甚多
技术资料暂无技术资料 索取技术资料











