相关产品推荐更多 >
万千商家帮你免费找货
0 人在求购买到急需产品
- 详细信息
- 文献和实验
- 技术资料
- 保存条件:
-20°C储存
- 英文名:
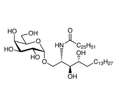
α-Galactosyl Ceramide
- 库存:
现货
- 供应商:
上海阿拉丁生化科技股份有限公司
- CAS号:
158021-47-7
- 规格:
G130715-1mg
英文名:α-Galactosyl Ceramide
纯度或规格:Moligand™, ≥95%
SPU:G130715
CAS:158021-47-7
存储温度:-20°C储存
运输条件:超低温运输
查看阿拉丁官网此产品相关对应页面:
风险提示:丁香通仅作为第三方平台,为商家信息发布提供平台空间。用户咨询产品时请注意保护个人信息及财产安全,合理判断,谨慎选购商品,商家和用户对交易行为负责。对于医疗器械类产品,请先查证核实企业经营资质和医疗器械产品注册证情况。
文献和实验) 133 合计 104 91 195 从表5-4可以计算如下数字: 灵敏度=α/(α+c)=55/104=53% 假阴性率=c/(α+c)=49/104=47%
Chemical Synthesis of Signaling Peptides Efficient structural characterization of signaling peptides by CD and NMR requires purified (≥95% purity) and soluble peptides. In our study, all the peptides were commercially synthesized and purified
-4=28 MS组间 =SS组间 /v组间 =141.107/3=47.057 MS组内 =SS组内 /v组内 =140.465/28=5.017 F=MS组间 /MS组内 =47.057/5.017=9.380 以v1 (即组间自由度)=3,v2 (即组内自由度)=28查附表19-2,F界值表,得F0.05(3,28) =2.95,F0.01(3,28) =4.57。本例算得的F=9.380>F0.01(3,28) ,P<0.01,按α
技术资料暂无技术资料 索取技术资料











