相关产品推荐更多 >
万千商家帮你免费找货
0 人在求购买到急需产品
- 详细信息
- 文献和实验
- 技术资料
- 保存条件:
2-8°C储存
- 英文名:
Polyquaternium 1
- 库存:
现货
- 供应商:
上海阿拉丁生化科技股份有限公司
- CAS号:
75345-27-6
- 规格:
P343010-100mg
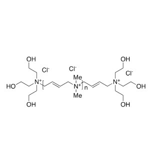
中文名:聚季铵盐1
英文名:Polyquaternium 1
纯度或规格:≥95%
SPU:P343010
CAS:75345-27-6
存储温度:2-8°C储存
运输条件:低温运输
查看阿拉丁官网此产品相关对应页面:
英文名:Polyquaternium 1
纯度或规格:≥95%
SPU:P343010
CAS:75345-27-6
存储温度:2-8°C储存
运输条件:低温运输
查看阿拉丁官网此产品相关对应页面:
风险提示:丁香通仅作为第三方平台,为商家信息发布提供平台空间。用户咨询产品时请注意保护个人信息及财产安全,合理判断,谨慎选购商品,商家和用户对交易行为负责。对于医疗器械类产品,请先查证核实企业经营资质和医疗器械产品注册证情况。
文献和实验相关实验
腰围(cm) 男: 女: 体重过低** 体重正常 18.5-23.9 — 增加 高 超重 24.0-27.9 增加 高 极高 肥胖 ≥28 高 极高 极高 *相关疾病指高血压,糖尿病,血脂异常和危险因素聚集; **体重过低可能预示有其它健康问题 (中国肥胖工作组,中华流行病学杂志2002年23期) 注:为了与国际数据可比,在进行BMI数据统计时,应计算BMI≥25及≥30的数据。为了全面评估,也可计算腰围男≥95cm及女≥90cm的数据。 2.1.2饮酒 按每周至少饮酒一次为饮酒计算
技术资料暂无技术资料 索取技术资料
聚季铵盐1,75345-27-6,≥95%,阿拉丁
¥1674.90






![4-[[[2-[(4-fluorophenyl)methyl]-5,7-dihydro-4H-thieno[2,3-c]pyran-3-carbonyl]amino]methyl]benzoic acid,Moligand™,阿拉丁](https://img1.dxycdn.com/p/s14/2024/0619/785/8670042233826733081.jpg!wh200)




