相关产品推荐更多 >
万千商家帮你免费找货
0 人在求购买到急需产品
- 详细信息
- 文献和实验
- 技术资料
- 库存:
1
- 英文名:
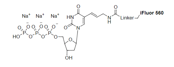
iFluor® 560-dUTP *1 mM in TE Buffer
- 保质期:
12个月
- 供应商:
西安百萤生物科技有限公司
- 保存条件:
在零下15度以下保存, 避免光照
- 规格:
25 nmoles
产品参数
Ex (nm) 560
Em (nm) 571
分子量 N/A
溶剂 Water
存储条件 在零下15度以下保存, 避免光照
产品概述
产品基本信息
英文名称:iFluor® 560-dUTP *1 mM in TE Buffer (pH 7.5)*
产品规格:25 nmoles
保质期:6个月
产品光谱图
产品物理化学光谱特性
分子量:1115.60
外观:液体
溶剂:水
激发波长(nm):560
发射波长(nm):571
产品介绍
iFluor 560-dUTP 是一种 iFluor 560 修饰的核苷酸,可用于各种分子生物学应用,例如 DNA 分子的标记和检测。它包含通过连接臂连接到脱氧尿苷三磷酸 (dUTP) 分子的 iFluor 560 染料。当在合成过程中掺入 DNA 时,iFluor 560-dUTP 可以使用荧光显微镜或其他基于荧光的测定法进行可视化。它常用于荧光原位杂交 (FISH)、微阵列分析和实时 PCR 等技术。
公司简介
西安百萤生物科技有限公司是一家专注从事生物、化学试剂及其试剂盒的高新技术企业;主要以荧光探针,分子探针,核酸/蛋白质标记、细胞检测等技术和产品为研发核心,产品广泛应用于基因合成、细胞检测、活体示踪,抗体标记、新药筛选等领域。
风险提示:丁香通仅作为第三方平台,为商家信息发布提供平台空间。用户咨询产品时请注意保护个人信息及财产安全,合理判断,谨慎选购商品,商家和用户对交易行为负责。对于医疗器械类产品,请先查证核实企业经营资质和医疗器械产品注册证情况。
文献和实验该产品被引用文献
溶解方案(溶剂以说明书为准)
| 0.1 mg | 0.5 mg | 1 mg | 5 mg | 10 mg | |
| 1 mM | 89.638 µL | 448.189 µL | 896.379 µL | 4.482 mL | 8.964 mL |
| 5 mM | 17.928 µL | 89.638 µL | 179.276 µL | 896.379 µL | 1.793 mL |
| 10 mM | 8.964 µL | 44.819 µL | 89.638 µL | 448.189 µL | 896.379 µL |
技术资料暂无技术资料 索取技术资料
文献支持
AAT Bioquest iFluor 560-dUTP *1 mM TE 缓冲液
询价











