相关产品推荐更多 >
万千商家帮你免费找货
0 人在求购买到急需产品
- 详细信息
- 文献和实验
- 技术资料
- 库存:
21
- 英文名:
Fructo-oligosaccharide DP8 / GF7
- CAS号:
62512-21-4
- 供应商:
帛科
- 保存条件:
2-8°C,避光保存、低温下保存
- 规格:
5mg 10mg 20mg 50mg 100mg 500mg 1g
温馨提醒:我司提供一切产品仅供科研、实验室使用,不得用于注射、食用或其他用途
| 产品名称 |
蔗果八糖62512-21-4 |
英文名称 |
Fructo-oligosaccharide DP8 / GF7 |
| 货号 |
BK-DZ0064 |
CAS号 |
62512-21-4 |
| 分子式 |
C48H82O41 |
分子量 |
1315.14 |
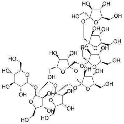
产品名称: 蔗果八糖
英文名:Fructo-oligosaccharide DP8 / GF7
英文别称: 1,1,1,1,1,1-kestooctaose
CAS号: 62512-21-4
分子式:C48H82O41
分子量:1315.14
检测方式:高效液相色谱法HPLC≥98%
规格:5mg 10mg 20mg 50mg 100mg 500mg 1g (可根据客户需求包装)
鉴定方法:液相(HPLC)质谱(Mass) 核磁(NMR)
作用与用途:本品用于含量测定、鉴别、药理实验、活性筛选等
密度: 1.90g/cm3
沸点: 1583.3±65.0oC at 760mmHg
性状:白色粉末
化合物类型:糖类
贮藏条件:2-8°C,避光保存、低温下保存
溶解性:可溶于甲醇、乙醇、DMSO等有机溶剂
用法:色谱条件:以yi腈:水=70:30 ELSD T=115℃ F=3L/min为流动相;温柱:30oC(仅供参考)
注意事项: 本品应在低温下保存,长时间在暴露在空气中,含量会有所降低

| 规格 | 纯度 | 价格 |
| 10mg | HPLC≥98% | 咨询 |
| 20mg | HPLC≥98% | 咨询 |
| 50mg | HPLC≥98% | 咨询 |
| 200mg | HPLC≥98% | 咨询 |
| 1g | HPLC≥98% | 咨询 |
| 10g | HPLC≥98% | 咨询 |

概念上,标准品是指用于生物检测或效价测定的标准物质,特性量值一般按效价单位来计。
对照品是指采用理化方法进行鉴别、检查和含量测定的标准物质,特性量值一般按纯度来计算。
两个都是标准物质,区别主要在于检测方法和特征量值单位不同。现在很多药品或化合物既有对照品,又有标准品,很容易混淆。
但是有一个简单直接的方法可以鉴别它们,那就是看实验的检测方法!举个栗子,如果是用微生物法测定头孢克洛效价时,那标准物质一定是它的标准品,而如果是用HPLC或UV法来测定时,则选用的是它的对照品;
在医药行业中,两者的混用可能伴随着比较大的风险,所以大家务必养成规范贴标签的习惯,按照规定,标准品的容器上至少标明名称、批号、有效期、首次开启日期、含量或效价以及储存条件这六个要素。
不同于试剂有纯度的要求,标准品只要含量是精准的,即使不那么纯,也能做标准物质。另外标准品是从原料药中提纯出来的,比原料药要贵。

| 茶碱 |
Saikosaponin A |
| 烯丙基磺suan钠 |
M13/pUC Reverse Sequencing Primer (-46), 24-mer |
| 1-甲基-1H-吡唑-4-甲醛 |
SP6 promoter Sequencing Primer, 18-mer |
| 对lvbenyi酰lv |
T7 promoter Sequencing Primer, 20-mer |
| 7-羟基-5-甲基-1,3,4-三氮吲哚利嗪 |
SP6 promoter Sequencing Primer, 24-mer |
| 4-yi炔基吡啶 |
T3 promoter Sequencing Primer, 17-mer |
| 3-yi炔基吡啶 |
T3 promoter Sequencing Primer, 24-mer |
| 3,5-二甲基异噁唑-4-羧suan |
Oligo(dT)18 Primer |
| 4-溴-3-lvben甲suan,97% |
M13/pUC Sequencing Primer (-46), 22-mer |
| N-甲基邻ben二胺盐suan盐 |
M13/pUC Sequencing Primer (-40), 17-mer |
| 3-氟-4-lvbenyi腈 |
M13/pUC Reverse Sequencing Primer (-26), 17-mer |
| 环丁基胺 |
M13/pUC Sequencing Primer (-20), 17-mer |
| 2-溴ben并噻唑 |
蔗果八糖62512-21-4RiboRuler™ Low Range R Ladder, ready-to-use |
| 二十二碳六烯suan |
RiboRuler™ Low Range R Ladder |
| 3-硝基茴香硫醚 |
RiboRuler™ High Range R Ladder, ready-to-use |
分析:
1、红外分光光度法用于鉴别和定量。
2、紫外分光光度法的定量方法。
3、用于仪器或视觉比较的比色定量方法。
4、一种色谱分离、鉴定和定量的方法。
5、其他液-液分离技术的定量分离方法(提取率受实验条件影响)。
6、用于非化学计量关系的定量方法,如滴定法和重量法。
7、特定旋转含量的测定。
8、需要知道组分的固定比例(如顺反结构)作为控制方法。
注意事项:
1、中药对照品的研究、开发、校准、储存和销售是一项耗时耗力的工作,因此应该有一个量表来衡量建立标准物质的必要性和可行性。
2、化学标准物质的建立以和部颁标准修订中提出的质量标准相关项目为依据。
3、为了减少建立化学标准物质所需的繁重工作,我们应该尽努力采用在不比较标准物质的情况下仍能达到预期结果的方法。
风险提示:丁香通仅作为第三方平台,为商家信息发布提供平台空间。用户咨询产品时请注意保护个人信息及财产安全,合理判断,谨慎选购商品,商家和用户对交易行为负责。对于医疗器械类产品,请先查证核实企业经营资质和医疗器械产品注册证情况。
文献和实验禾本科甘蔗属多年生草本。茎秆汁液是制糖的主要原料。生啖的称果蔗。近年已发展成为能源作物之一。制糖后的副产品用途广泛。 全世界食糖产量中,蔗糖约占60%。20世纪80年代初年产量约为6400万吨,种植总面积1300多万公顷。中国甘蔗种植面积约60万公顷,产糖量近 300万吨;台湾省种植面积约10万公顷,通常年产量约80万吨。 中国的栽培甘蔗和制糖技术,据日本鸟仓龙治《冲绳一千年史》记载,公元 754年由鉴真和尚东渡时传入日本。13世纪意大利《马可·波罗行记
,在台湾大约 14 ~ 18 个月,不过宿根的可以缩短,只需要 12 个月。生长期不足的甘蔗,不只产量低,而且糖度也较低。秋植甘蔗以八、九月,春植甘蔗以二、三月为种植适期,因为制糖开工期从十一月到隔年的四月,所以秋植蔗都有足够生长期,而春植蔗需要延后采收来配合。 间作:幼蔗生长缓慢,土地没有充分利用未免可惜,这时可以间作一期其它的短期作物,和蔗苗一起生长,赶在蔗苖长大之前收获完毕,以增加土地收益。但有个条件需要遵守,就是间作的作物不能对蔗作有太多不良的影响。适宜的作物有甘薯、落花生、豆类
原料配方 猕猴桃100千克 白砂糖70~80千克 制作方法 1.选料:以选用八至九成熟的果实为好。成熟度不够风味不好,而过于成熟又不易去皮。 2.去皮:将果实用清水洗净,去除泥沙杂物。去皮方法可用手工去皮,也可浸泡在10~20%的碱液中2~3分钟后,在清水中漂去残留皮渣和碱液。 3.烫漂:将果坯在沸水中烫漂5~10分钟,至果肉转黄、软化时,取出沥干水分。 4.糖渍:取相当于果肉重量70~80%的白砂糖,分成两份,其中40%供糖
技术资料暂无技术资料 索取技术资料










