相关产品推荐更多 >
万千商家帮你免费找货
0 人在求购买到急需产品
- 详细信息
- 技术资料
- 库存:
47
- 英文名:
17-Hydroxy sprengerinin C
- CAS号:
1029017-75-1
- 保质期:
2年
- 供应商:
上海联祖
- 保存条件:
4℃冷藏、密封、避光
- 规格:
10mg/支
商品属性:
| 产品名称 | 英文名称 | 规格 | 货号 |
| 17-Hydroxy sprengerinin C1029017-75-1 | 17-Hydroxy sprengerinin C | 10mg/支 | LZ-BP2019 |
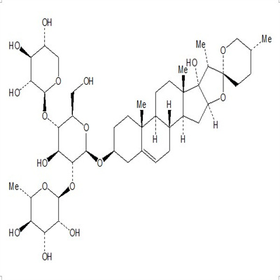
产品名称:17-Hydroxy sprengerinin C
英文名称:17-Hydroxy sprengerinin C
CAS NO:1029017-75-1
分子式:C44H70O17
分子量:871.02
分子结构:
规格:10mg/支
外观: 粉末
纯度:HPLC≥98%
分析方法: HPLC-DAD or/and HPLC-ELSD
鉴定方法: 质谱(Mass), 核磁(NMR)
贮存条件:4℃冷藏、密封、避光
有效期:2年
供货能力:大量现货
标准品的分类:
1.鉴别用对照品:用于药品鉴别项下的红外、薄层色谱等鉴别;
2.检测用对照品:用于药品检查项下有关物质、溶出度、含量均匀度的检测,一般对照品纯度不低于98.5%
3.含量测定用对照品:用于含量检测,纯度要求高,99%以上。
4.熔点标准品:化学性质稳定,熔点固定、熔程短的一类标准物质,用于熔点温度计的校正,如:偶氮苯(mp:69℃)、磺胺(mp:166℃)、糖精( mp:229℃ )、酚酞( mp:263℃ )
5.溶出度校正片:为特殊制备的某种药片,通常为水杨酸校正片,用于溶出度仪的校正。
细胞RyR受体蛋白表达流式细胞仪检测试剂盒 HLA-DP/DQ/DR (MHC II) Antibody (Clone#CR3/43)
钙钠交换体(NCX)蛋白表达ELISA定量检测试剂盒 Calumenin/CALU Antibody (Clone#27C98)
钙钠交换体(NCX)蛋白免疫共沉淀分析试剂盒 NCX1 Antibody
钙钠交换体(NCX)蛋白表达西方杂交分析试剂盒 P-Cadherin/CDH3 Antibody (Clone#3C9)
细胞钙钠交换体(NCX)蛋白表达荧光定量检测试剂盒 PAG1 Antibody (Clone#26P24)
细胞钙钠交换体(NCX)蛋白表达比色法定量检测试剂盒 H-Cadherin 13/CDH13 Antibody (Clone#OTI3H6)
石蜡切片组织钙钠交换体(NCX)蛋白表达NBT显色光学显微镜检测试剂盒 NUDT19 Antibody (Clone#29N64)
冰冻切片组织钙钠交换体(NCX)蛋白表达NBT显色光学显微镜检测试剂盒 COL10A1 Antibody
载玻片细胞钙钠交换体(NCX)蛋白表达NBT显色光学显微镜检测试剂盒 CALCOCO2 Antibody (Clone#OTI4H5)
石蜡切片组织钙钠交换体(NCX)蛋白表达荧光显微镜检测试剂盒 SAPK4/MAPK13 Antibody (Clone#OTI12C6)
冰冻切片组织钙钠交换体(NCX)蛋白表达荧光显微镜检测试剂盒 HSF2 Antibody (Clone#21H83)
载玻片细胞钙钠交换体(NCX)蛋白表达荧光显微镜检测试剂盒 Vitamin D binding protein/GC Antibody
细胞钙钠交换体(NCX)蛋白表达流式细胞仪检测试剂盒 FHL2 Antibody (Clone#19F25)
钙ATP酶SERCA蛋白表达ELISA定量检测试剂盒 RARB Antibody
绝对定量的标准品如何制作?
17-Hydroxy sprengerinin C1029017-75-1绝对定量是指在实时荧光定量 PCR 实验中,对已知量的样本进行连续稀释后扩增,生成标准曲线。然后通过与此曲线比较,定量未知样本,绝对定量可测定靶点的实际拷贝数。
包括以下三个步骤:
(1) 将标准品稀释成不同浓度,作为模板进行扩增;
(2) 以标准品拷贝数的对数值为横坐标,以测得的Ct值为纵坐标绘制标准曲线;
(3) 根据未知样品的Ct值,即可在标准曲线中获得样品的拷贝数。
风险提示:丁香通仅作为第三方平台,为商家信息发布提供平台空间。用户咨询产品时请注意保护个人信息及财产安全,合理判断,谨慎选购商品,商家和用户对交易行为负责。对于医疗器械类产品,请先查证核实企业经营资质和医疗器械产品注册证情况。
技术资料暂无技术资料 索取技术资料
17-Hydroxy sprengerinin C1029017-75-1
¥500 - 3800









