相关产品推荐更多 >
万千商家帮你免费找货
0 人在求购买到急需产品
- 详细信息
- 技术资料
- 库存:
37
- 英文名:
Ginsenoside Re
- CAS号:
52286-59-6
- 保质期:
2年
- 供应商:
上海联祖
- 保存条件:
4℃冷藏、密封、避光
- 规格:
20mg/支
商品属性:
商品介绍:
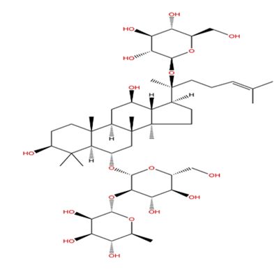
产品名称:人参皂苷Re
中文别名: 人参皂甙Re
英文名: Ginsenoside Re
英文别名: Panaxoside RE, Ginsenoside B2, Chikusetsusaponin IVc
CAS登录号: 52286-59-6
分子式:C48H82O18
分子量: 947.14
规格: 20mg/支
分子结构:
外观:白色晶体
纯度: ≥ 98%
用途:用于含量测定/鉴定/药理实验等。
提取来源: 五加科植物人参Panax ginseng C.A.Mey.的根
溶解性: 可溶于甲醇、DMSO、吡啶等溶剂,不溶于、氯仿和乙酸乙酯
熔点: 补充中
旋光度: 补充中
鉴别方法: NMR; MS
推荐测定方法: 用高效液相色谱法。以十八烷基硅烷键合硅胶为填料,流动相为-水(19 ∶81),检测波长为203 nm
中国药典测定方法: 用高效液相色谱法。以十八烷基硅烷键合硅胶为填料,ᴒᴒ
标准品的选择原则:
1.考虑标准品的稳定性
如:阿莫西林的对照品选阿莫西林三水合物(其稳定性优于阿莫西林及其一水合物)。
2.考虑盐基、酸根的不同
如:某些药物杂质对照品,有些做成盐酸盐,有些为游离碱,在选择和使用过程也要注意哪个适合自己。若用于测含量要考虑换算因子。
3.用作红外鉴别的对照品要考虑晶型的一致。(晶型不一致、红外很有可能不一致)
4.官方对照品往往用于定位或含量检测,往往不建议用作晶型鉴定、或红外标准图谱(官方对照品的制备工艺很大程度与生产工艺不一致,有可能是HPLC制备纯化得到的,晶型无法保证一致性,有少数产品官方也会提供产品对照光谱,国内也有红外光谱集)
公司正在出售的产品:
CEP170B Antibody Blocking Peptide Tektin 3(TEKT3)ELISA Kit
CCDC18 Antibody Blocking Peptide Tektin 1(TEKT1)ELISA Kit
C9orf3 Antibody Blocking Peptide Major Basic Protein(MBP)ELISA Kit
GEMIN8 Antibody Blocking Peptide Latrophilin 3(LPHN3)ELISA Kit
HCRT Antibody Blocking Peptide Latrophilin 2(LPHN2)ELISA Kit
SFRS4 Antibody Blocking Peptide Latrophilin 1(LPHN1)ELISA Kit
phospho-HDAC6 (Ser22) Antibody Blocking Peptide Cubilin(CUBN)ELISA Kit
SNX9 Antibody Blocking Peptide Netrin G2(NtnG2)ELISA Kit
phospho-Eph receptor A2+A3+A4 (Tyr588 + Tyr596) Antibody Blocking Peptide Netrin G1(NtnG1)ELISA Kit
CA3 Antibody Blocking Peptide Netrin 5(Ntn5)ELISA Kit
MORN1 Antibody Blocking Peptide Netrin 3(Ntn3)ELISA Kit
PACAP(6-38) Peptide Neurexin 3(NRXN3)ELISA Kit
ZBTB2 Antibody Blocking Peptide Neurexin 2(NRXN2)ELISA Kit
TBP Antibody Blocking Peptide Neurexin 1(NRXN1)ELISA Kit
Leptin Antibody Blocking Peptide Cyclin Dependent Kinase Inhibitor 3(CDKN3)ELISA Kit
标准品的分类:
人参皂苷Re52286-59-61.鉴别用对照品:用于药品鉴别项下的红外、薄层色谱等鉴别;
2.检测用对照品:用于药品检查项下有关物质、溶出度、含量均匀度的检测,一般对照品纯度不低于98.5%
3.含量测定用对照品:用于含量检测,纯度要求高,99%以上。
4.熔点标准品:化学性质稳定,熔点固定、熔程短的一类标准物质,用于熔点温度计的校正,如:偶氮苯(mp:69℃)、磺胺(mp:166℃)、糖精( mp:229℃ )、酚酞( mp:263℃ )
5.溶出度校正片:为特殊制备的某种药片,通常为水杨酸校正片,用于溶出度仪的校正。
| 产品名称 | 英文名称 | 规格 | 货号 |
| 人参皂苷Re52286-59-6 | Ginsenoside Re | 20mg/支 | LZ-BP2673 |
商品介绍:
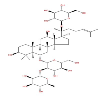
产品名称:人参皂苷Re
中文别名: 人参皂甙Re
英文名: Ginsenoside Re
英文别名: Panaxoside RE, Ginsenoside B2, Chikusetsusaponin IVc
CAS登录号: 52286-59-6
分子式:C48H82O18
分子量: 947.14
规格: 20mg/支
分子结构:
外观:白色晶体
纯度: ≥ 98%
用途:用于含量测定/鉴定/药理实验等。
提取来源: 五加科植物人参Panax ginseng C.A.Mey.的根
溶解性: 可溶于甲醇、DMSO、吡啶等溶剂,不溶于、氯仿和乙酸乙酯
熔点: 补充中
旋光度: 补充中
鉴别方法: NMR; MS
推荐测定方法: 用高效液相色谱法。以十八烷基硅烷键合硅胶为填料,流动相为-水(19 ∶81),检测波长为203 nm
中国药典测定方法: 用高效液相色谱法。以十八烷基硅烷键合硅胶为填料,ᴒᴒ
标准品的选择原则:
1.考虑标准品的稳定性
如:阿莫西林的对照品选阿莫西林三水合物(其稳定性优于阿莫西林及其一水合物)。
2.考虑盐基、酸根的不同
如:某些药物杂质对照品,有些做成盐酸盐,有些为游离碱,在选择和使用过程也要注意哪个适合自己。若用于测含量要考虑换算因子。
3.用作红外鉴别的对照品要考虑晶型的一致。(晶型不一致、红外很有可能不一致)
4.官方对照品往往用于定位或含量检测,往往不建议用作晶型鉴定、或红外标准图谱(官方对照品的制备工艺很大程度与生产工艺不一致,有可能是HPLC制备纯化得到的,晶型无法保证一致性,有少数产品官方也会提供产品对照光谱,国内也有红外光谱集)
CEP170B Antibody Blocking Peptide Tektin 3(TEKT3)ELISA Kit
CCDC18 Antibody Blocking Peptide Tektin 1(TEKT1)ELISA Kit
C9orf3 Antibody Blocking Peptide Major Basic Protein(MBP)ELISA Kit
GEMIN8 Antibody Blocking Peptide Latrophilin 3(LPHN3)ELISA Kit
HCRT Antibody Blocking Peptide Latrophilin 2(LPHN2)ELISA Kit
SFRS4 Antibody Blocking Peptide Latrophilin 1(LPHN1)ELISA Kit
phospho-HDAC6 (Ser22) Antibody Blocking Peptide Cubilin(CUBN)ELISA Kit
SNX9 Antibody Blocking Peptide Netrin G2(NtnG2)ELISA Kit
phospho-Eph receptor A2+A3+A4 (Tyr588 + Tyr596) Antibody Blocking Peptide Netrin G1(NtnG1)ELISA Kit
CA3 Antibody Blocking Peptide Netrin 5(Ntn5)ELISA Kit
MORN1 Antibody Blocking Peptide Netrin 3(Ntn3)ELISA Kit
PACAP(6-38) Peptide Neurexin 3(NRXN3)ELISA Kit
ZBTB2 Antibody Blocking Peptide Neurexin 2(NRXN2)ELISA Kit
TBP Antibody Blocking Peptide Neurexin 1(NRXN1)ELISA Kit
Leptin Antibody Blocking Peptide Cyclin Dependent Kinase Inhibitor 3(CDKN3)ELISA Kit
标准品的分类:
人参皂苷Re52286-59-61.鉴别用对照品:用于药品鉴别项下的红外、薄层色谱等鉴别;
2.检测用对照品:用于药品检查项下有关物质、溶出度、含量均匀度的检测,一般对照品纯度不低于98.5%
3.含量测定用对照品:用于含量检测,纯度要求高,99%以上。
4.熔点标准品:化学性质稳定,熔点固定、熔程短的一类标准物质,用于熔点温度计的校正,如:偶氮苯(mp:69℃)、磺胺(mp:166℃)、糖精( mp:229℃ )、酚酞( mp:263℃ )
5.溶出度校正片:为特殊制备的某种药片,通常为水杨酸校正片,用于溶出度仪的校正。
风险提示:丁香通仅作为第三方平台,为商家信息发布提供平台空间。用户咨询产品时请注意保护个人信息及财产安全,合理判断,谨慎选购商品,商家和用户对交易行为负责。对于医疗器械类产品,请先查证核实企业经营资质和医疗器械产品注册证情况。
技术资料暂无技术资料 索取技术资料
人参皂苷Re52286-59-6
¥500 - 3800









