相关产品推荐更多 >
万千商家帮你免费找货
0 人在求购买到急需产品
- 详细信息
- 文献和实验
- 技术资料
- 英文名:
(2R)-3′,5-dimethxyhesperidin
- CAS号:
28
- 保质期:
2年
- 供应商:
上海联祖
- 保存条件:
4℃冷藏、密封、避光
- 规格:
20mg/支
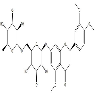
(2R)-3′,5-二甲基橙皮苷
| 产品中文名称 | (2R)-3′,5-二甲基橙皮苷 | 英文名 | (2R)-3′,5-dimethxyhesperidin |
| CAS登录号 | 货号 | LZ-BP1623 | |
| 分子式 | C30H38O15 | 纯度 | HPLC≥98% |
| 分子量 | 638.61 | 分析方法 | HPLC-DAD or/and HPLC-ELSD |
| 鉴定方法 | Mass, NMR | 规格 | 20mg/支 |
纯度:HPLC≥98%
分析方法: HPLC-DAD or/and HPLC-ELSD
鉴定方法: 质谱(Mass), 核磁(NMR)
贮存条件:4℃冷藏、密封、避光
有效期:2年
供货能力:大量现货
(一)来源:
依照有关规定,中国用于药品成品检验的标准品(对照品)来源有:一是中国药品生物制品检定所提供的标准品(对照品);二是其他国家的标准品(对照品);三是省级以上药品检验所标定,并经同级食 品药品监管局批准的标准品(对照品)。
(二)有效期和使用说明书:
中国药品生物制品检定所提供的标准品(对照品)大部分均无使用说明书和使用期限,大都沿用新的批号出现、旧的批号自动停止的管理方式。
(三)使用过程:
工作标准品(对照品)虽经有关部门认可,但要求有标化日期、复标日期、贮存条件、使用等相关文件规定,并做好相应记录。
(四)验证问题:
按标准品(对照品)管理要求,使用前应对其进行验证,确认无误后方可使用。
(五)开封问题:
对已开封的标准品(对照品)管理方面的问题应做严格的规定,不应同未开封的标准品(对照品)放在一起继续使用,包装上应做好相关标识,说明是否已开封过、何时开封的,内含量等相关信息。
2-(3-溴苯氧基)乙胺 :2-(3-Bromophenoxy)ethanamine 926211-83-8 (±)7(8)-EpDPA
1-(4-甲基苯基)-1-环己羧酸 :1-(p-Tolyl)cyclohexanecarboxylic acid 84682-27-9 1,2,3-Triundecanoyl Glycerol
4-苯基丁醇 :4-Phenylbutan-1-ol 3360-41-6 1,2,3-Trinonanoyl-rac-glycerol
1-(4-异丙氧基苯基)乙酮 :1-(4-Isopropoxyphenyl)ethanone 4074-51-5 1,2,3-Trielaidoyl-rac-glycerol
3-(2-嘧啶氧基)-苯甲醛 :3-(Pyrimidin-2-yloxy)benzaldehyde 263349-26-4 1-Amino-1-deoxy-D-fructose (hydrochloride)
2,2-二羟基-1-(间甲苯基)乙酮 :2,2-Dihydroxy-1-(m-tolyl)ethanone 118888-62-3 1,6-Anhydro-D-galactose
2-氟苄脒盐酸盐 :2-Fluorobenzimidamide hydrochloride 57075-81-7 1,4-dideoxy-1,4-imino-D-Arabinitol (hydrochloride)
2-甲基-4-邻甲苯基丁-3-炔-2-醇 :2-l-4-(o-tolyl)but-3-yn-2-ol 40888-14-0 1,2-Dilinoleoyl-sn-glycerol
N,2,2-三甲基丙-1-胺盐酸盐 :N,2,2-Trilpropan-1-amine hydrochloride 31820-19-6 1-Oleoyl-2-hydroxy-sn-glycero-3-PE
2-氨基-1-(4-羟基苯基)乙酮盐酸盐 :2-Amino-1-(4-hydroxyphenyl)ethanone hydrochloride 19745-72-3 15-deoxy-Δ-12,14-Prostaglandin J2
2-氯-N-环己基-乙酰胺 :2-Chloro-N-cyclohexylacetamide 23605-23-4 14S(15R)-EET
3-BOC氨基-5甲基己酸 :3-tert-Butoxycarbonylamino-5-lhexanoic acid 138165-75-0 13,14-dihydro-15-keto Prostaglandin F1α
2-氨基-2-去甲菠烷羧酸 :2-Aminobicyclo[2.2.1]heptane-2-carboxylic acid 20448-79-7 2,3-Indolobetulonic Acid
(S)-3-氨基-4-(4-三氟甲基苯基)丁酸 :(3S)-3-amino-4-[4-(trifluorol)phenyl]butanoic acid,hydrochloride 270065-79-7 2'-Deoxyadenosine-5'-triphosphate (sodium salt hydrate)
2,2-二羟基-1-(2-萘)乙酮 :2,2-Dihydroxy-1-(naphthalen-2-yl)ethanone 16208-21-2 20-hydroxy Prostaglandin E2
N-BOC-L-烯丙基甘氨酸甲酯 :(S)-l 2-((tert-butoxycarbonyl)amino)pent-4-enoate 89985-87-5 2-deoxy-2-fluoro-D-Glucose
(2R)-3′,5-二甲基橙皮苷对照品系指用于鉴别、检查、含量测定和校正检定仪器性能的标准物质.
标准品系指用于生物检定、抗生素或生物药品中含量或效价测定的标准物质,以效价单位(U)表示。
对照品系指用于生物制品理化等方面测定的特定物质,由 单位采用与制品 工艺相同的方法制备。对照品应尽可能与制品原液配方一致,稳定性较差的,可加不含对测定有干扰物质的适宜的稳定剂。对照品由国家药品检定机构审查认可,其标准应不低于制品的质量标准。
标准品:是指用于鉴别、检查、含量测定的标准物质,均由国务院药品监督管理部门指定的单位制备、标定和供应。标准品系指用于生物测定、抗生素或生化药品中含量或效价测定的标准物质,一国际标准品进行标定;对照品出另有规定外,按干燥进行计算后使用。
风险提示:丁香通仅作为第三方平台,为商家信息发布提供平台空间。用户咨询产品时请注意保护个人信息及财产安全,合理判断,谨慎选购商品,商家和用户对交易行为负责。对于医疗器械类产品,请先查证核实企业经营资质和医疗器械产品注册证情况。
文献和实验【GEO 应用】GEO2R 分析工具更新大解析!不会 R 也能做生信
GEO2R 是一个针对 GEO 数据库中表达谱芯片进行进一步差异分析的工具,利用这个工具我们可以比较 GEO 系列数据中的两组或更多组样品,获得差异性表达基因。 而差异基因在医学数据挖掘领域可以说是扮演者举足轻重的位置,无论是肿瘤还是非肿瘤领域的科研很多都是围绕差异基因展开分析。 最近,GEOR2 分析工具再次更新啦,随着这次更新,它给我们带来了很多新的功能,比如同时可以获得火山图、平均差图、 UMAP 图、韦恩图、表达密度图、P 值直方图、样本分位数图、平均方差趋势图。 与更新前相比
CD2/CD2R 分子 CD2 常用单克隆抗体或代号:9.6,Tll,Leu5;(LFA 2,SRBC-R) 主要表达细胞:T,Thy,NKsub T细胞 分子质量(kDa)和结构:gp50(IgSF) 功 能:CD58、CD48、CD59和CDl50的受体,参与T细胞活化,参与细胞黏附 CD2R 常用单克隆抗体或代号:T11.3,9。1 主要表达细胞:Ta,NK T细胞 分子质量(kDa)和结构:gp50(IgSF) 功 能:T
人可溶性白介素2R (sIL-2R/sCD25 ) 酶联免疫分析 试剂盒使用说明书 本试剂仅供研究使用 目的:本试剂盒用于测定人血清,血浆及相关液体样本中可溶性白介素2R (sIL-2R/sCD25 )的含量。 实验原理: 本试剂盒应用双抗体夹心法测定标本中人可溶性白介素 2R ( sIL-2R/sCD25 )水平。用纯化的人可溶性白介素 2R ( sIL-2R/sCD25 )抗体包被微孔板,制成固相抗体
技术资料暂无技术资料 索取技术资料










