相关产品推荐更多 >
万千商家帮你免费找货
0 人在求购买到急需产品
- 详细信息
- 文献和实验
- 技术资料
- 库存:
1000
- 英文名:
Chitosan-Cyanine3
- CAS号:
N/A
- 保质期:
一年
- 供应商:
深圳市魅罗科技有限公司
- 保存条件:
-20℃避光,干燥保存
- 规格:
100mg
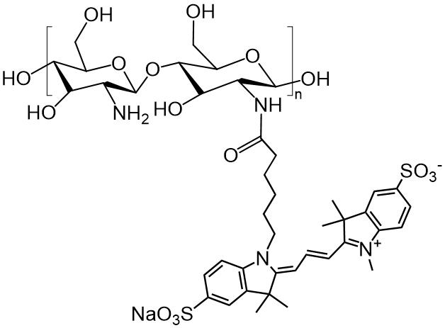
花青荧光染料Cyanine 3-壳聚糖 CS-Cy3荧光标记
产品信息
中文名称:橙红色青染料Cy3标记壳聚糖
中文简称:壳聚糖-CyanineCy3
英文名称:Chitosan-Cyanine3
英文简称:Chitosan-Cy3 Cy3-Chitosan CS-Cy3 Cy3-CS
分子量: 壳聚糖分子量根据要求定制
保存条件:-20°干燥避光
保存时间:一年
产品结构

注意事项
仅供科学研究,不能直接作用于人体。
产品简介
花青染料Cyanine常被应用于生物分子标记,荧光成像及其他荧光生物分析,壳聚糖(chitosan,CS)作为一种来源于海洋的高聚物,由于其结构上含有大量的羟基,乙酰氨基,氨基等,使得其具有成膜性、抗菌性、消炎、止血、止痛、止痒、祛疤、促进伤口愈合、抗氧化、吸附作用、吸湿保湿性等物化性能,生物性能,广泛应用于医药产品和民用产品。
相关产品
魅罗科技定制合同不同荧光探针标记的壳聚糖
Chitosan-FITC 荧光素标记壳聚糖
Chitosan-RB 罗丹明标记壳聚糖
Chitosan-Cy3 花jingCy3标记壳聚糖
Chitosan-Cy3.5 花jingCy3.5标记壳聚糖
Chitosan-Cy5 花jingCy5标记壳聚糖
Chitosan-Cy5.5 花jingCy5.5标记壳聚糖
Chitosan-Cy7 花jingCy7标记壳聚糖
Chitosan-Cy7.5 花jingCy7标记壳聚糖
定制合成不同功能化基团修饰的壳聚糖衍生物
Chitosan-NH2 氨基功能化壳聚糖
Chitosan-COOH 羧基功能化壳聚糖
Chitosan-SH 巯基功能化壳聚糖
Chitosan-N3 叠氮功能化壳聚糖
Chitosan-MAL 马来功能化壳聚糖
Chitosan-Alkyne 炔基功能化壳聚糖
Chitosan-Biotin 生物素功能化壳聚糖
Chitosan-FA 靶向叶酸修饰壳聚糖
Chitosan-DBCO 二苯基环辛炔修饰壳聚糖
Chitosan-cRGD 环肽RGD修饰壳聚糖
壳聚糖二嵌段衍生物
Chitosan-PLA 聚乳酸-壳聚糖嵌段共聚物
Chitosan-PCL 聚己内酯-壳聚糖嵌段共聚物
Chitosan-PLGA 聚乳酸-羟基乙酸共聚物-壳聚糖嵌段共聚物
Chitosan-PEI 聚乙烯亚胺-壳聚糖嵌段共聚物
Chitosan-HA 透明质酸-壳聚糖嵌段共聚物
Chitosan-PEG-DSPE 聚乙二醇磷脂修饰壳聚糖
风险提示:丁香通仅作为第三方平台,为商家信息发布提供平台空间。用户咨询产品时请注意保护个人信息及财产安全,合理判断,谨慎选购商品,商家和用户对交易行为负责。对于医疗器械类产品,请先查证核实企业经营资质和医疗器械产品注册证情况。
文献和实验荧光标记基团的激发和发射波长是广大科研工作者最关心的内容.下面就我们大家常用的多肽标记的各种荧光基团数据参数提供给大家.荧光染料激发波长,nm发射波长,nmFITC4945185-FAM494522TAMRA560582Rhodamine B555580Cy3550570Cy5649670从发射波长相近的角度考虑,上述荧光基团在用AlexFluor替换时,可参照下表Alexa Fluor dyeAlternatives common dyesAlexa Fluor 350Coumarin
量580,RB200不能直接和蛋白质结合,要先经五氯化磷反应,转化成硫酰氯,再与蛋白质的氨基结合。 (4)1-二甲基氨基-5-硫酰氯 (5)4-乙酰胺-4-异硫氰酸-2-硫酸芪(SITS) (6)得克萨斯红(Texas red) (7)藻红蛋白(PE) (8)花青(Cyanine,Cy2,Cy3,Cy5) 三、荧光素标记抗体的方法 (一)FITC标记抗体的方法 1.Marsshall法 (1)原理:当FITC在碱性溶液中与抗体反应时,主要是抗体分子上的赖氨酸å -氨基与FITC上硫碳
技术资料暂无技术资料 索取技术资料










