相关产品推荐更多 >
万千商家帮你免费找货
0 人在求购买到急需产品
- 详细信息
- 文献和实验
- 技术资料
- 库存:
100
- 英文名:
JC-1
- 保质期:
2年
- 供应商:
优利科(上海)生命科学有限公司
- 保存条件:
4℃避光保存
- 规格:
5mg
JC-1线粒体荧光探针
产品规格:5mg
应用范围:线粒体荧光探针
储存条件:4℃ 避光保存,有效期见外包装。
推荐仪器:荧光显微镜、流式细胞仪、荧光酶标仪
产品参数
外观:可溶于 DMSO 的红色固体
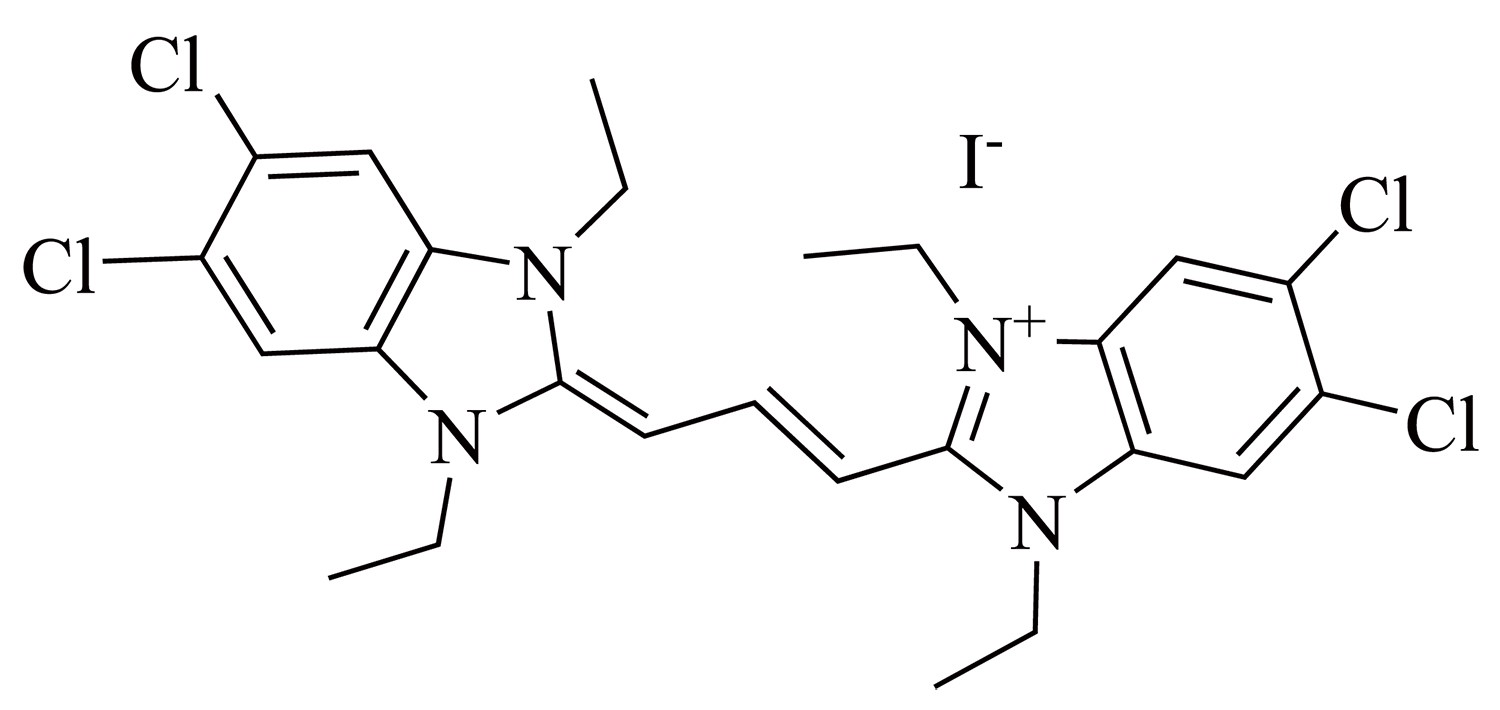
CAS 号:47729-63-5
分子式:C25H27Cl4IN4
分子量:652.2

产品介绍
JC-1 是一种广泛用于检测线粒体膜电位的理想荧光探针,可以用来检测细胞、组织或纯化的线粒体膜电位。在线粒体膜电位较低时,JC-1 不能聚集在线粒体的基质中,此时 JC-1 为单体(monomer),最大发射波长为 527 nm,可以产生绿色荧光;在线粒体膜电位较高时,JC-1 聚集在线粒体的基质中,形成聚合物(J-aggregates),最大发射波长为 590 nm,可以产生红色荧光。这样就可以非常方便地通过荧光颜色的转变来检测线粒体膜电位的变化。 线粒体膜电位的下降是细胞凋亡早期的一个标志性事件。通过 JC-1 从红色荧光到绿色荧光的转变可以很容易地检测到细胞膜电位的下降,同时也可以用 JC-1 从红色荧光到绿色荧光的转变作为细胞凋亡早期的一个检测指标。


注意事项
1. 为防止沉淀产生,不建议直接用 1× PBS 将储液稀释成工作液。
2. JC-1 如果一次使用量较小,需把每管适当进行分装,尽量避免反复冻融。
3. 荧光染料均存在淬灭问题,请尽量避光,以减缓荧光淬灭。
4. 为了您的安全和健康,请穿实验服并戴一次性手套操作。
5. 产品仅供科研。
风险提示:丁香通仅作为第三方平台,为商家信息发布提供平台空间。用户咨询产品时请注意保护个人信息及财产安全,合理判断,谨慎选购商品,商家和用户对交易行为负责。对于医疗器械类产品,请先查证核实企业经营资质和医疗器械产品注册证情况。
文献和实验线粒体荧光探针大全:TMRM,Mitotracker,JC-1
线粒体荧光探针信息大全 (Probes for Mitochondria)包括各种常用探针,如JC-1,JC-9,TMRM,TMRE等 Mitochondria are found in eukaryotic cells, where they make up as much as 10% of the cell volume. They are pleomorphic organelles with structural variations depending on cell type
线粒体荧光探针信息大全 (Probes for Mitochondria)包括各种常用探针,如JC-1,JC-9,TMRM,TMRE等 Mitochondria are found in eukaryotic cells, where they make up as much as 10% of the cell volume. They are pleomorphic organelles with structural
一、线粒体膜电位检测原理 线粒体膜电位下降是细胞凋亡早期的标志性事件,发生在细胞核凋亡特征(染色质浓缩、DNA断裂)出现之前,一旦线粒体膜电位崩溃,细胞凋亡便不可逆转。 JC-1是一种广泛用于检测线粒体膜电位∆Ψm的理想荧光探针,可以检测细胞、组织或纯化的线粒体膜电位。JC-1有单体和多聚体两种存在状态,两者发射光谱不同。在正常细胞内,线粒体膜电位较高,JC-1聚集在线粒体的基质中,形成聚合物,可产生红色荧光;凋亡早期,线粒体膜电位降低,JC-1不能聚集在线粒体基质中,此时JC-1为单体
技术资料







