相关产品推荐更多 >
万千商家帮你免费找货
0 人在求购买到急需产品
- 详细信息
- 文献和实验
- 技术资料
- 库存:
100
- 英文名:
DiI
- 保质期:
2年
- 供应商:
优利科(上海)生命科学有限公司
- 保存条件:
-20℃避光保存
- 规格:
10 mg
DiI(细胞膜橙红色荧光探针)
产品规格:10 mg
应用范围:细胞膜染料
储存条件:-20℃避光保存,有效期见外包装。
推荐仪器:荧光显微镜
产品参数:
外观:可溶于乙醇、DMF、DMSO的深红色固体
Ex/Em (MeOH) = 549/565 nm
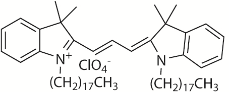
CAS号:41085-99-8
分子式:C59H97ClN2O4
分子量:933.9
分子结构图:

产品介绍
DiI即DiIC18(3),全称为1,1'-dioctadecyl-3,3,3',3'tetra- methylindocarbocyanine perchlorate,是最常用的细胞膜荧光探针之一,呈现橙红色荧光。DiI是一种亲脂性膜染料,进入细胞膜后可以侧向扩散逐渐染色整个细胞的细胞膜。DiI在进入细胞膜之前荧光非常弱,仅当进入到细胞膜后才可以被激发出很强的荧光。常与DiA一起用于细胞膜双色标记。
DiI作为示踪剂或长期示踪剂(long-term tracer),可以被广泛用于正向或逆向、活的或固定的神经等细胞或组织。DiI通常不会影响细胞的生存力(viability)。被DiI标记的神经细胞在体外培养的条件下可以存活长达4周,在体内可以长达一年。DiI在被固定的神经元细胞膜上的迁移速率为0.2-0.6 mm/day,在活的神经元细胞膜上的的迁移速率为6 mm/day。
DiI除了用于细胞膜荧光标记外,还可用于检测细胞的融合和粘附、发育或移植过程中细胞的迁移,通过FRAP(光脱色荧光恢复技术)检测脂在细胞膜上的扩散,检测细胞毒性和标记脂蛋白等。
DiI染色后可进行多聚/甲醛(不可使用甲醇等其他试剂)的固定,但不建议在染色后进行透化的过程。此外,在固定透化(室温下用0.1% TritonX-100 透化)后,也可以很好地进行质膜染色。
以每次使用100 μL染色工作液,染色工作液浓度10 μM计算,10 mg配置为工作液大概可以用10707次。


注意事项
1. 使用前请将产品瞬时离心至管底,再进行后续实验。
2. DiI染色固定的细胞或组织样品时,通常使用配制在PBS中的4%多聚/甲醛进行固定,使用其它不适当的固定液会导致荧光背景较高。
3. 荧光染料均存在淬灭问题,请尽量注意避光,以减缓荧光淬灭。
4. 为了您的安全和健康,请穿实验服并戴一次性手套操作。
5. 产品仅供科研。
风险提示:丁香通仅作为第三方平台,为商家信息发布提供平台空间。用户咨询产品时请注意保护个人信息及财产安全,合理判断,谨慎选购商品,商家和用户对交易行为负责。对于医疗器械类产品,请先查证核实企业经营资质和医疗器械产品注册证情况。
文献和实验,也可使流动性加大。 生物膜适宜的流动性是体现生物膜正常功能的必要条件,在一定范围内,膜流动性增加,有利于膜中酶分子的扩散和旋转运动,使酶活性增加。一些载体蛋白分子的运动性也取决于膜中脂类分子的流动性。研究发现肿瘤对化疗药物产生的耐药性主要与细胞膜P糖蛋白过度表达谷胱甘肽及其相关酶系活性改变有关,也有许多研究表明耐药细胞膜流动性较亲代敏感细胞明显增加。另有实验研究发现腹水癌细胞的恶性程度随着膜流动性的增加而增加,白血病及转移的肿瘤细胞的膜流动性远远高于非转移细胞。因此,对敏感及耐药的肿瘤细胞膜
。 DiI(细胞膜红色荧光探针) DiI即DiIC18(3),全称为1,1'-dioctadecyl-3,3,3',3'-tetramethylindocarbocyanine perchlorate,是最常用的细胞膜荧光探针之一,呈现橙红色荧光。DiI是一种亲脂性膜染料,进入细胞膜后可以侧向扩散逐渐使整个细胞的细胞膜被染色。 DiI在进入细胞膜之前荧光非常弱,仅当进入到细胞膜后才可以被激发出很强的荧光。DiI被激发后可以发出橙红色的荧光,DiI
主要分为两大类,第一类是 PKH67(绿色荧光)/PKH26(红色荧光),由于它们可以与外泌体的脂质双层膜稳定结合,所以染色效果较好,应用较广泛。 图1 PKH67 标记的外泌体与神经元之间相互作用 Acta Neuropathol Commun. 2018 Feb 15;6(1):10. 图2 PKH26 标记的外泌体与 MDA‐MB‐231 细胞共培养 Cancer Sci. 2019 Oct;110(10):3173-3182. 第二类是 Di 系列的亲脂性染料,包括DiI(橙色荧
技术资料







