相关产品推荐更多 >
万千商家帮你免费找货
0 人在求购买到急需产品
- 详细信息
- 文献和实验
- 技术资料
- 保质期:
5年
- 供应商:
山东绿都
- 保存条件:
-20
- 规格:
1mg
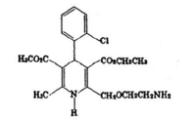
氨氯地平(amlodipine)化学名为6-甲基-2-(2-氨基乙氧基)甲基-4-(2-氯苯基)-1,4-二氢-3,5-吡啶二甲酸甲乙酯,黄色固体,分子式为C20H25ClN2O5,分子量为408.87600,密度为1.227 g/cm3,熔点为178-179ºC,沸点为527.2ºC at 760 mmHg。
鼠抗氨氯地平单克隆抗体 氨氯地平单抗 氨氯地平抗体说明书
【中文名称】鼠抗氨氯地平单克隆抗体
【英文名称】Mouse Anti Amlodipine Monoclonal Antibody
【货 号】LD-Ab302
【来 源】Balb/c 小鼠
【亚 型】IgG
【物理性状】液体,避免反复冻融
【ELISA 效价】 0.005M PBS 体系下1:200000 以上
【IC50 】 1ppb(µg/Kg)
【缓冲液】0.01M PBS PH7.4 不加防腐剂
【储存及有效期】-20℃以下,3 年,避免反复冻融
【相关产品】鼠抗氢氯噻嗪单克隆抗体;鼠抗西地那非单克隆抗体
氨氯地平偶联全抗原 氨氯地平偶联人工抗原 氨氯地平偶联蛋白抗原说明书
【中文名称】氨氯地平偶联全抗原
【英文名称】Amlodipine-Protein Conjugate
【货 号】LD-Ag301
【蛋白载体】牛血清白蛋白/卵清白蛋白/匙孔血蓝蛋白BSA/OVA/KLH
【物理性状】液体,避免反复冻融
【ELISA效价】 0.005M PBS 体系下1:30000以上
【免疫层析效价】 1:40以上,偶联比大于1:60
【蛋白浓度】5.0 mg/ml
【缓冲液】0.01M PBS PH7.4无防腐剂
【储存条件】-20℃以下
【有效期】2年,避免反复冻融
长期提供原核、真核蛋白表达构建服务
武经理 18266598399 同微信 ,0543-3202800
QQ :524402845
Email:lvdukeji@126.com
网址:http://www.landubio.com/
长期 提供抗原偶联、 HRP、生物素、糖基化、亲和素、FITC等偶联标记多肽、抗体、抗原、蛋白等服务
风险提示:丁香通仅作为第三方平台,为商家信息发布提供平台空间。用户咨询产品时请注意保护个人信息及财产安全,合理判断,谨慎选购商品,商家和用户对交易行为负责。对于医疗器械类产品,请先查证核实企业经营资质和医疗器械产品注册证情况。
文献和实验素还是卵白素均能与酶(过氧化物)结合并不影响酶的活性,这样就将亲和化学和免疫细胞化学结合起来而形成卵白素-生物素免疫染色技术。 一、卵白素和生物素用语免疫细胞化学标记技术只要有以下几种形式。 1.标记卵白素-生物素(Labeled avidinbiotin, LAB)技术,是将活化的生物素(即利用生物素的羧基加以化学修饰后的可制成各种基团的衍生物)和免疫球蛋白等共价偶联后,加入与荧光或过氧化物酶结合的卵白素,利用生物素和卵白素的亲和结合,显示生物素欧联的物质(即抗原)。 2.桥式卵白素---生物
【关键词】 雌二醇雌二醇(17β-Estradiol)是天然雌激素的重要成分,为防止儿童性早熟等问题,食品中尤其是畜禽产品的雌二醇检测不容忽视。胶体金免疫层析技术(GICA)在检测小分子有机物方面越来越受到重视。其基本原理是胶体金颗粒能够稳定吸附蛋白质,而蛋白质的生物活性无明显变化,所以它可以取代酶标记抗体〔1,2〕。本实验采用标记有雌二醇单克隆抗体的胶体金颗粒与相对应的固定在硝酸纤维膜上的雌二醇结合物相结合,固定有雌二醇结合物的检测线处就显现明显的颜色〔3,4〕。本法具有灵敏度高、特异性强
技术资料需要更多技术资料 索取更多技术资料
资料下载:
样本添加梯度图.jpg 附 (下载 0 次)
食品安全药物交叉率 ELISA.docx 附 (下载 0 次)
偶联全抗原效价测定.xls 附 (下载 1 次)
抗原欧联鉴定图.jpg 附 (下载 0 次)
请 [登录] 后再下载!









