相关产品推荐更多 >
万千商家帮你免费找货
0 人在求购买到急需产品
- 详细信息
- 技术资料
- 保存条件:
4°C避光
- 英文名:
NEURO-DIO 60015
- 库存:
99
- 供应商:
Biotium
- CAS号:
1
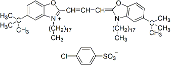
Biotium developed Neuro-DiO as a replacement for the green fluorescent DiO, which has been found to be difficult to use for neurons and cell suspension due to low solubility, tendency to form aggregates and slow lateral diffusion rate. Neuro-DiO and DiO have nearly identical absorption and emission spectra, but the former has better solubility in membranes and does not form nonfluorescent aggregates, which also tend to slow down the dye diffusion rate in membranes. We also offer Neuro-DiO in Vegetable Oil for microinjection studies, and in our CellBrite™ Green Cytoplasmic Membrane Dye, a ready-to-use dye solution for cell labeling.
- λEx/λEm = 484/501 nm
- Yellow-orange solid soluble at 1-2 mM (with heating) in DMF, DMSO, or ethanol
- Soluble at 1-2 mM in vegetable oil with heating and sonication
- Store at 4°C, protect from light
- C67H105ClN2O5S
- MW: 1086
风险提示:丁香通仅作为第三方平台,为商家信息发布提供平台空间。用户咨询产品时请注意保护个人信息及财产安全,合理判断,谨慎选购商品,商家和用户对交易行为负责。对于医疗器械类产品,请先查证核实企业经营资质和医疗器械产品注册证情况。












