相关产品推荐更多 >
万千商家帮你免费找货
0 人在求购买到急需产品
- 详细信息
- 技术资料
- 保存条件:
-20°C
- 保质期:
12个月
- 英文名:
CF640R-cAMP 00037
- 库存:
99
- 供应商:
Biotium
- CAS号:
1
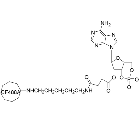
CF®488A-cAMP and CF®640R-cAMP are fluorescently labeled cAMP analogs that can be used to probe cAMP receptors. Single molecules of fluorescently labeled cAMP have been imaged as the probe binds to the receptor on the surface of Dictyostelium cells (1).
- Superior CF® dyes are bright, photostable, and water-soluble
- Available with green or far-red labels
- Soluble in H2O, DMF, or DMSO
Also see our Biotin-cAMP analogs.

Superior CF® Dyes
Biotium’s next-generation CF® dyes were designed to be highly water-soluble with advantages in brightness and photostability compared to Alexa Fluor®, DyLight®, and other fluorescent dyes. Learn more about CF® Dyes.
CF® Dye cAMP
| Product | Conjugation | Ex/Em | Size | SKU | Purchase |
|---|---|---|---|---|---|
| CF®488A cAMP | CF®488A | 490/515 nm | 100 ug | 00036 | Purchase 00036 |
| CF®640R cAMP | CF®640R | 642/662 nm | 100 ug | 00037 | Purchase 00037 |
CF is a registered trademark of Biotium, Inc. Alexa Fluor, Texas Red, and DyLight are registered trademarks of Thermo Fisher Scientific.
风险提示:丁香通仅作为第三方平台,为商家信息发布提供平台空间。用户咨询产品时请注意保护个人信息及财产安全,合理判断,谨慎选购商品,商家和用户对交易行为负责。对于医疗器械类产品,请先查证核实企业经营资质和医疗器械产品注册证情况。
CF640R-cAMP 00037
询价











